Logo

American Heart Association

  118
  0


Final ID: MDP1119

Association of non-invasive liver fibrosis scores with disease severity and long-term adverse outcomes in patients with pulmonary arterial hypertension

Abstract Body (Do not enter title and authors here): Abstract
Background: Mounting evidence indicates that non-invasive liver fibrosis scores (LFs) are associated with various cardiovascular diseases, but their role in pulmonary arterial hypertension (PAH) is not yet clear. This study aims to explore the relationship between LFs and PAH.
Methods: The study enrolled 1048 patients with PAH from January 2017 to January 2021, comprising individuals with idiopathic PAH and PAH related to congenital heart disease. Fibrosis-5 score (FIB-5), fibrosis-4 score (FIB-4), aspartate aminotransferase to alanine aminotransferase ratio (AAR), aspartate aminotransferase to platelet ratio index (APRI) and Forns score (FC) were used to evaluate the degree of liver fibrosis in patients with PAH. The association of ILs with European Society of Cardiology (ESC) risk stratification was evaluated using one-way ANOVA. The correlation between LFs and long-term adverse outcomes was determined using multivariate Cox regression models and restricted cubic splines. Subgroup analyses, predicated on age, sex, World Health Organization functional class and body mass index, were carried out to evaluated interaction effects.
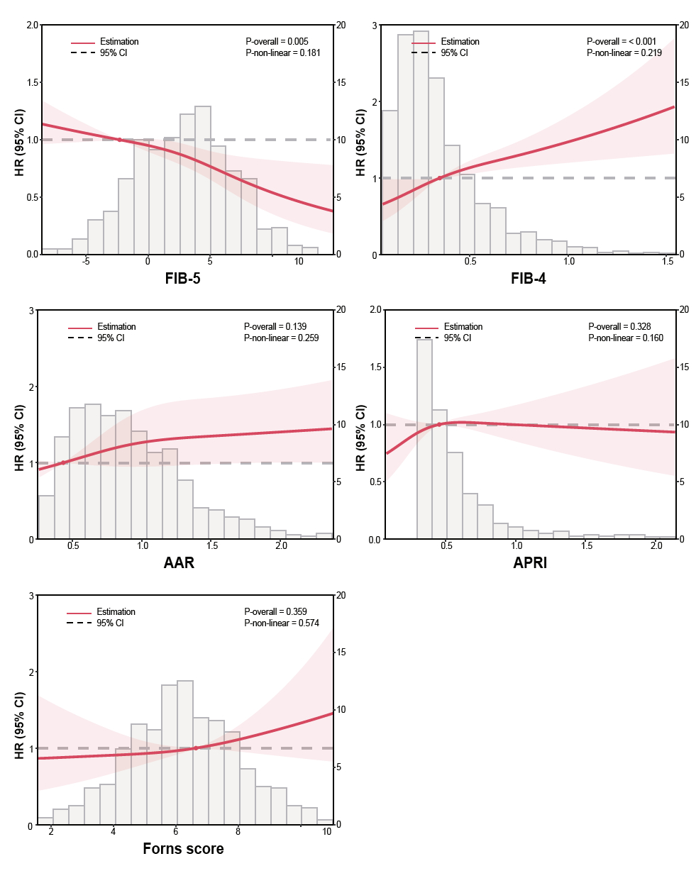
Results: During a mean of 40.8 months’ follow-up, 283 participants experienced all-cause death or worsening condition. With higher ESC risk stratification, PAH patients had significantly lower FIB-5 (4.563±4.118 vs. 3.475±10.693 vs. 2.444±5.454 vs. 0.924±4.10, P=0.003) and higher FC (5.661±1.762 vs. 5.983±1.897 vs. 6.506±1.919 vs. 7.230±1.900,P<0.001). After adjusting for confounding factors, multivariable Cox regression models indicated that FIB-5 (hazard ratio [HR] 0.968, 95% confidence interval [CI] 0.949-0.988, P = 0.005) and FIB-4 (HR 1.905, 95% CI 1.388-2.614, P<0.001) independently predicted adverse outcomes. The highest predictive performance was observed for FIB-5 compared to other LFSs. No significant interaction effect was observed in the subgroup analysis.
Conclusions: Liver fibrosis was associated with disease severity and long-term prognosis in patients with PAH. The markers FIB-5 and FIB-4 serve as independent predictors of clinical deterioration in patients with PAH.
  • Gao, Luyang  ( Fuwai Hospital , Beijing , China )
  • Luo, Qin  ( Fuwai Hospital , Beijing , China )
  • Liu, Zhihong  ( Fuwai Hospital , Beijing , China )
  • Zhang, Sicheng  ( Fuwai Hospital , Beijing , China )
  • Li, Xin  ( Fuwai Hospital , Beijing , China )
  • Li, Sicong  ( Fuwai Hospital , Beijing , China )
  • Zhao, Qing  ( Fuwai Hospital , Beijing , China )
  • Zhao, Zhihui  ( Fuwai Hospital , Beijing , China )
  • Duan, Anqi  ( Fuwai Hospital , Beijing , China )
  • Huang, Zhihua  ( Fuwai Hospital , Beijing , China )
  • Wang, Yijia  ( Fuwai Hospital , Beijing , China )
  • Author Disclosures:
    Luyang Gao: DO NOT have relevant financial relationships | Qin Luo: No Answer | Zhihong Liu: No Answer | sicheng zhang: DO NOT have relevant financial relationships | Xin Li: No Answer | Sicong Li: DO NOT have relevant financial relationships | qing zhao: No Answer | Zhihui Zhao: No Answer | Anqi Duan: DO NOT have relevant financial relationships | Zhihua Huang: No Answer | Yijia Wang: No Answer
Meeting Info:

Scientific Sessions 2024

2024

Chicago, Illinois

Session Info:

The Yin and Yang of Clinical Comorbidities and Gender in Pulmonary Hypertension

Sunday, 11/17/2024 , 03:15PM - 04:30PM

Moderated Digital Poster Session

More abstracts on this topic:
A Multicenter Study of Detection of Pulmonary Hypertension Based on Point-of-Care 12- Lead ECG Data

Dubrock Hilary, Wieczorek Mikolaj, Hackett Sarah, Alger Heather, Carlson Katherine, Klugherz Paul, Carter Rickey, Wagner Tyler, Johnson Patrick, Frantz Robert, Strom Jordan, Waks Jonathan, Agarwal Richa, Hemnes Anna, Steinberg Benjamin, Pandey Ambarish

A refined definition for low-risk pulmonary arterial hypertension patients including mortality and morbidity

Fauvel Charles, Liu Yongqi, Correa-jaque Priscilla, Everett Allen, Kanwar Manreet, Vanderpool Rebecca, Sahay Sandeep, Lin Shili, Benza Raymond

More abstracts from these authors:
The impact of the stress hyperglycemia ratio on adverse prognosis in patients with chronic thromboembolic pulmonary hypertension

Wang Yijia, Luo Qin, Liu Zhihong, Xin Li, Huang Zhihua, Duan Anqi, Zhang Sicheng, Gao Luyang, Li Sicong, Zhao Zhihui, Zhao Qing

Impact of diabetes mellitus on the severity and long-term outcomes of chronic thromboembolic pulmonary hypertension: a retrospective cohort study

Gao Luyang, Wang Yijia, Zhao Zhihui, Luo Qin, Liu Zhihong, Zhang Sicheng, Li Xin, Li Sicong, Zhao Qing, Yang Tao, Zeng Qixian, Huang Zhihua, Duan Anqi

You have to be authorized to contact abstract author. Please, Login
Not Available