Logo

American Heart Association

  162
  0


Final ID: MDP834

Prognostic Implication Of Fibrosis-4 Index for Risk Of Mortality In Chronic Heart Failure Patients With And Without Type 2 Diabetes.

Abstract Body (Do not enter title and authors here):
Background and aim:
The Fibrosis-4 (FIB-4) score is recommended as a first-line screening tool to rule-out advanced liver fibrosis. It is highly recommended to screen for liver fibrosis in patients with Type 2 diabetes mellitus (T2DM) and elevated liver enzymes using the fibrosis-4 (FIB-4) score.However, this recommendation does not extend to patients with chronic heart failure (CHF) who do not have T2DM. We aimed to investigate the predictors of high risk for advanced liver fibrosis according to the FIB-4 score and its association with all-cause and cardiovascular mortality, as well as major adverse liver outcomes (MALO), in patients with CHF, both with and without T2DM.

Methods:
This was a nationwide registry-based cohort study. We included patients registered in the Danish Heart Failure Registry who had laboratory data available to calculate FIB-4 scores from April 2003 to December 2019. Patients were classified as low-risk (Fib-4 <1.3), indeterminate-risk (1.3 – 2.67), and high-risk of advanced liver fibrosis (≥2.67). The analysis was conducted using multiple logistic regression and Cox proportional hazards models.

Results:
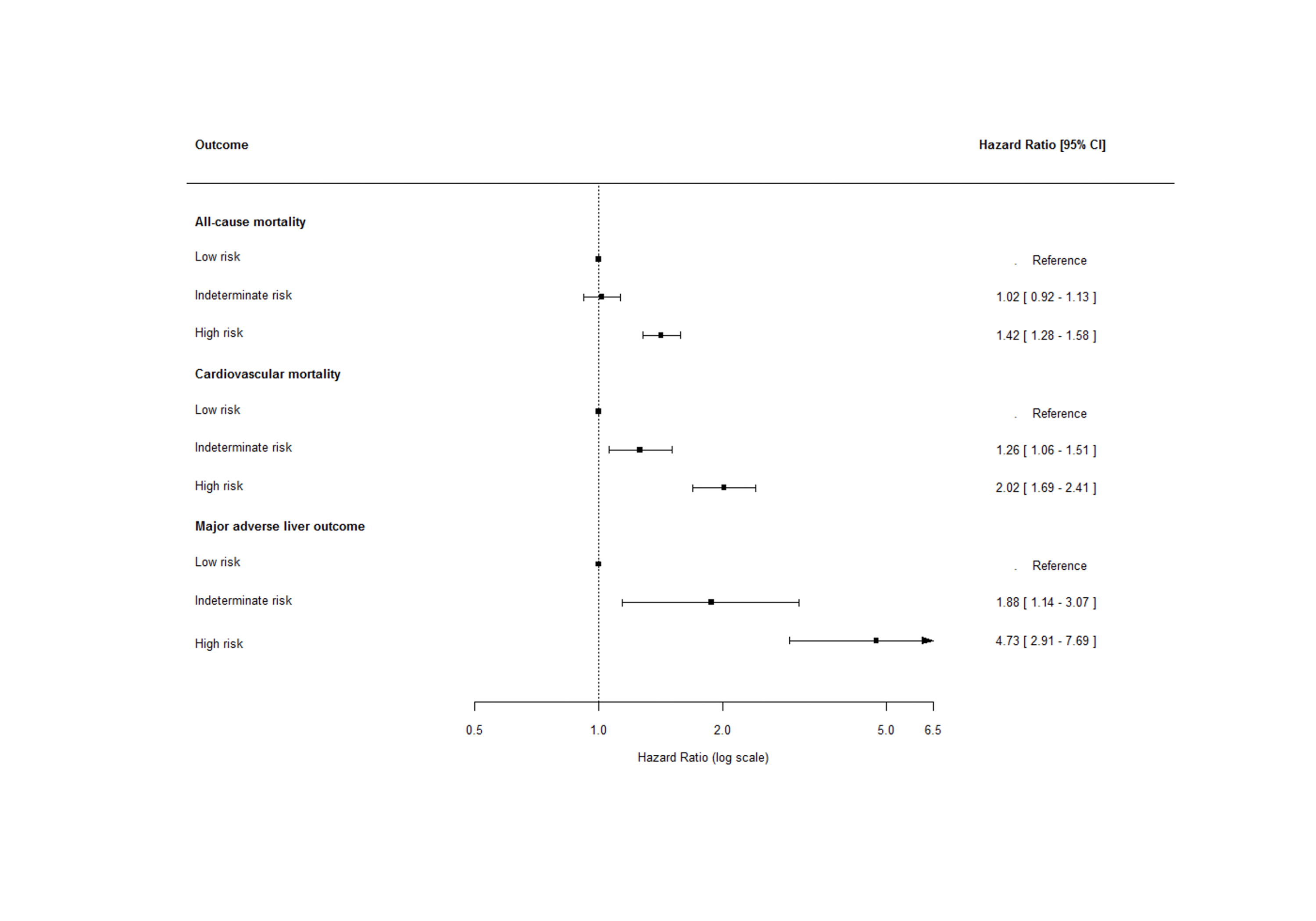
A total of 6079 patients with CHF were included in the study. High-risk of advanced liver fibrosis was highly prevalent, affecting 30% of the studied population. Predictors of high-risk of advanced liver fibrosis, included older age, male sex, severe chronic kidney disease, previous myocardial infarction, ischemic heart disease, and atrial fibrillation/flutter. Patients in the high-risk group exhibited a significantly elevated risk of all-cause mortality (HR: 1.30, 95% CI: 1.17-1.45), cardiovascular mortality (HR: 1.80, 95% CI: 1.49-2.17), as well as MALO (HR: 4.42, 95% CI: 2.70-7.23) when compared to those in the low-risk group. This was regardless of the presence of T2DM. Additionally, patients in the indeterminate-risk group showed an increased risk of cardiovascular mortality (HR: 1.22, 95% CI: 1.02-1.46) and MALO (HR: 1.86, 95% CI: 1.13-3.06) when compared to the low-risk group.

Conclusion:
In this nationwide cohort study, we found a high prevalence of high-risk of advanced liver fibrosis according to the FIB-4 score. Several clinical predictors of high-risk of liver fibrosis was identified. High-risk patients exhibited significantly higher all-cause and cardiovascular mortality, as well as major adverse liver outcomes (MALO), compared to low-risk patients, independent of T2DM status.
  • Mohamed, Abdullahi  ( Gentofte Hospital , Copenhagen , Denmark )
  • Christensen, Daniel  ( Gentofte Hospital , Copenhagen , Denmark )
  • Schou, Morten  ( HERLEV HOSPITAL , Herlev , Denmark )
  • Gislason, Gunnar  ( Herlev and Gentofte Hospital , Hellerup , Denmark )
  • Author Disclosures:
    Abdullahi Mohamed: DO NOT have relevant financial relationships | Daniel Christensen: DO have relevant financial relationships ; Research Funding (PI or named investigator):Lundbeck Foundation:Active (exists now) | Morten Schou: DO have relevant financial relationships ; Speaker:Novo:Active (exists now) ; Speaker:Novartis:Past (completed) ; Speaker:Bohringer:Past (completed) ; Speaker:Asta Zeneca:Past (completed) ; Speaker:Bayer:Past (completed) | Gunnar Gislason: No Answer
Meeting Info:

Scientific Sessions 2024

2024

Chicago, Illinois

Session Info:

BNP: Oh How Could it Be?

Sunday, 11/17/2024 , 09:30AM - 10:45AM

Moderated Digital Poster Session

More abstracts on this topic:
A Meta-Analysis Comparing Same-Day Discharge to Later-Day Discharge in Transcatheter Aortic Valve Replacement

Jain Hritvik, Passey Siddhant, Jain Jyoti, Goyal Aman, Wasir Amanpreet, Ahmed Mushood, Patel Nandan, Yadav Ashish, Shah Janhvi, Mehta Aryan

Association of histologic findings with long-term outcomes in symptomatic obstructive hypertrophic cardiomyopathy patients undergoing surgical myectomy

Jadam Shada, Popovic Zoran, Desai Milind, Gaballa Andrew, Alashi Alaa, Xu Bo, Thamilarasan Maran, Rodriguez E, Tan Carmela, Ospina Susan, Smedira Nicholas

More abstracts from these authors:
Increased Number of B-Lines on Lung Ultrasound Is Associated with Elevated Filling Pressures and Adverse Outcomes in Acute Heart Failure

Adam Laura Maria, Duus Lisa, Sengeloev Morten, Borchsenius Julie, Feldballe Bernhom Katrine, Dons Maria, Platz Elke, Wolsk Emil, Schou Morten, Biering-soerensen Tor, Davidovski Filip, Espersen Caroline, Khoraizat Ayat, Stanchev Anton, Durukan Emil, Skaarup Kristoffer, Rastoder Ema, Hikmat Al-rubai Ali

Sex-specific differences in acute heart failure: clinical presentation, imaging, and recovery trajectories

Khoraizat Ayat, Landler Nino, Sengeloev Morten, Borchsenius Julie, Duus Lisa, Lassen Mats, Christensen Jacob, Wolsk Emil, Schou Morten, Dons Maria, Biering-soerensen Tor, Davidovski Filip, Adam Laura Maria, Espersen Caroline, Stanchev Anton, Durukan Emil, Rastoder Ema, Al-rubai Ali, Bjerregaard Caroline

You have to be authorized to contact abstract author. Please, Login
Not Available