Logo

American Heart Association

  146
  0


Final ID: Mo4172

Exercise Right Ventricular-Pulmonary Arterial Coupling predicts long-term Functional Outcome in Patients undergoing Surgery for Secondary Ischemic Mitral Regurgitation.

Abstract Body (Do not enter title and authors here): Background: The treatment of secondary ischemic mitral regurgitation is challenging and predictors of functional and clinical outcome are pivotal in order to define the best therapeutic strategy. In these patients there is growing evidence that assessing the right ventricular (RV)-pulmonary arterial (PA) coupling during exercise has additive diagnostic and prognostic value.
To date, no data are available as regard the exercise assessment of the RV- PA coupling in patients undergoing surgery for ischemic mitral regurgitation
Research Question: in patients with ischemic mitral regurgitation the evaluation of the exercise RV-PA coupling could play a crucial role for patients selection and prognosis
Aim: to test resting and exercise echocardiographic predictors of functional capacity and clinical outcome in patients referred to surgery
Methods: A 6-minute walking test and exercise stress echo performed at preoperative baseline, at 1 year and at median FU of 6 years (IQR: 3.70; range: 4.5– 8) on 50 patients (age: 67 ± 8 year; EF: 35 ± 5%), undergoing surgery by valve replacement or repair. Generalized linear mixed models were used to evaluate the predictive value of preoperative echocardiographic parameters on the longitudinal distribution of the 6-MWT.
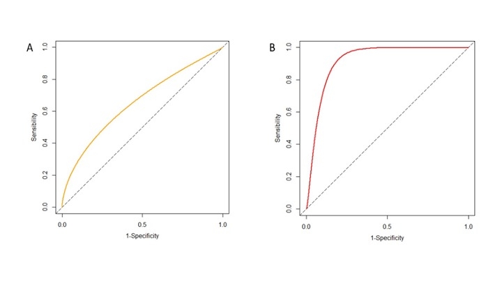
Results: Preoperative exercise tricuspid annular plane systolic excursion (TAPSE)/ pulmonary artery systolic pressure (PASP) ratio showed the strongest correlation with long-term six-minute walking test (r=0.81, p< 0.01) (Figure 1).The receiver operating characteristic analysis found that a preoperative exercise TAPSE/PASP < 0.34 predicted the lowest quartile of six-minute walking test at long-term (sensitivity: 79%; specificity: 100%) (Figure 2) and a composite clinical outcome of heart failure and death for any cause (PPV 91.3%, NPV 100%).
On multivariable analysis TAPSE (Estimates:4.05; SE:0.90; p < 0.01) and TAPSE/PASP ratio (Estimates:106.9; SE: 31.54, p <0.01) were significantly associated with better long-term six-minute walking test (Table 1)
Conclusions: A preoperative exercise TAPSE/PAPS < 0.34 predicts a poor six-minute walking test performance and an higher likelihood of clinical adverse events over time. In patients with secondary ischemic mitral regurgitation the exercise RV-PA coupling could add value in order to improve risk stratification. These findings need to be comfirmed by larger studies
  • Fino, Carlo  ( OSPEDALE PAPA GIOVANNI XXIII , Bergamo , Italy )
  • Bichi, Samuele  ( Ospedale Papa Giovanni XXIII , Bergamo , Italy )
  • Simon, Caterina  ( OSPEDALE PAPA GIOVANNI XXIII , Bergamo , Italy )
  • Sciatti, Edoardo  ( ASST Papa Giovanni XXIII , Bergamo , Italy )
  • Maccarana, Agnese  ( OSPEDALE PAPA GIOVANNI XXIII , Bergamo , Italy )
  • Marchetto, Giovanni  ( IRCCS San Gerardo dei Tintori , Monza Brianza , Italy )
  • Iacovoni, Attilio  ( OSPEDALE PAPA GIOVANNI XXIII , Bergamo , Italy )
  • Pibarot, Philippe  ( Quebec Heart and Lung Institute , Quebec , Quebec , Canada )
  • Bellavia, Diego  ( Mediterranean Institute for Transplantation and Advanced Specialized Therapies (ISMETT), Palermo , Palermo , Italy )
  • D'alonzo, Michele  ( Henri-Mondor University Hospital , Creteil, Paris , France )
  • Merlo, Maurizio  ( OSPEDALE PAPA GIOVANNI XXIII , Bergamo , Italy )
  • Bruno, Vito Domenico  ( University of Bristol , Bristol , United Kingdom )
  • Caputo, Massimo  ( University of Bristol , Bristol , United Kingdom )
  • Magne, Julien  ( CHU Limoges , Limoges , France )
  • Terzi, Amedeo  ( OSPEDALE PAPA GIOVANNI XXIII , Bergamo , Italy )
  • Senni, Michele  ( OSPEDALE PAPA GIOVANNI XXIII , Bergamo , Italy )
  • Author Disclosures:
    Carlo Fino: DO NOT have relevant financial relationships | Samuele Bichi: No Answer | Caterina Simon: No Answer | Edoardo Sciatti: DO NOT have relevant financial relationships | Agnese Maccarana: DO NOT have relevant financial relationships | Giovanni Marchetto: No Answer | attilio iacovoni: No Answer | Philippe Pibarot: DO have relevant financial relationships ; Research Funding (PI or named investigator):Edwards Lifesciences:Active (exists now) ; Research Funding (PI or named investigator):Cardiac Success:Active (exists now) ; Research Funding (PI or named investigator):Novartis:Active (exists now) ; Research Funding (PI or named investigator):Pi-Cardia:Active (exists now) ; Research Funding (PI or named investigator):Medtronic:Active (exists now) | DIEGO BELLAVIA: No Answer | Michele D'Alonzo: DO NOT have relevant financial relationships | Maurizio Merlo: DO NOT have relevant financial relationships | Vito Domenico Bruno: DO NOT have relevant financial relationships | Massimo Caputo: DO NOT have relevant financial relationships | Julien Magne: No Answer | amedeo terzi: DO NOT have relevant financial relationships | MICHELE SENNI: DO have relevant financial relationships ; Consultant:Novartis:Active (exists now) ; Consultant:Vifor:Active (exists now) ; Consultant:Cardurion :Active (exists now) ; Consultant:Novonordisk :Active (exists now) ; Consultant:Bayer:Active (exists now) ; Consultant:MSD:Active (exists now) ; Consultant:Merck :Active (exists now) ; Consultant:Boehringer :Active (exists now) ; Consultant:Astrazeneca :Active (exists now) ; Consultant:Abbott:Active (exists now)
Meeting Info:

Scientific Sessions 2024

2024

Chicago, Illinois

Session Info:

Advanced Approaches in Valvular Disease: From Biomechanics to Clinical Practice

Monday, 11/18/2024 , 10:30AM - 11:30AM

Abstract Poster Session

More abstracts on this topic:
Abnormal Oxygen Pulse Trajectory Differentiates Anatomic Complexity and Functional Classification in Adults with Congenital Heart Disease

Campbell Matthew, Lefebvre Margaret, Li Pengyang, Padgett Hannah, Tchoukina Inna, Canada Justin, Shah Sangeeta, Rouse Sierra, Reyes Oscar, Shin Yongdeok, Bakken Brad, Coe Alexa, Hallam Jessica, Kapa Meghana

Classic Physiology Revealed During Mitral Valve Transcatheter Edge-to-Edge Repair: A Case of Hypertrophic Obstructive Cardiomyopathy Resulting in Severe Mitral Regurgitation

Axline Michael, Axline David, Cudemus Gaston, Muller Laura, Verghese Dhiran, Sierra Juan, Dakkak Wael, Patel Sankalp, Cubeddu Robert

More abstracts from these authors:
You have to be authorized to contact abstract author. Please, Login
Not Available