Logo

American Heart Association

  110
  0


Final ID: Su2189

Procedural Volume and Outcomes After Septal Reduction Therapies in Hypertrophic Obstructive Cardiomyopathy

Abstract Body (Do not enter title and authors here): Background
Septal myectomy (SM) and alcohol septal ablation (ASA) are preferred modalities for individuals with symptomatic obstructive hypertrophic cardiomyopathy (HCM). Apart from patient-level factors, operator and hospital volume play a role in determining clinical outcomes in patients undergoing septal reduction therapies. However, contemporary data on the influence of operator and hospital volume on clinical outcomes are lacking.
Methods
This retrospective study used nationwide data from the Vizient® from 2016-2022. The appropriate ICD-10 diagnosis/procedure codes were used to identify patients with HCM who underwent SM and ASA. Based on operator and hospital volumes, the cohort was stratified into low-, medium-, and high-volume based on tertiles of annualized procedures. The outcomes of interest were 30-day mortality and 90-day readmissions. Multivariable-adjusted logistic and Cox models were used to assess the association of outcomes with operator and hospital volumes.
Results
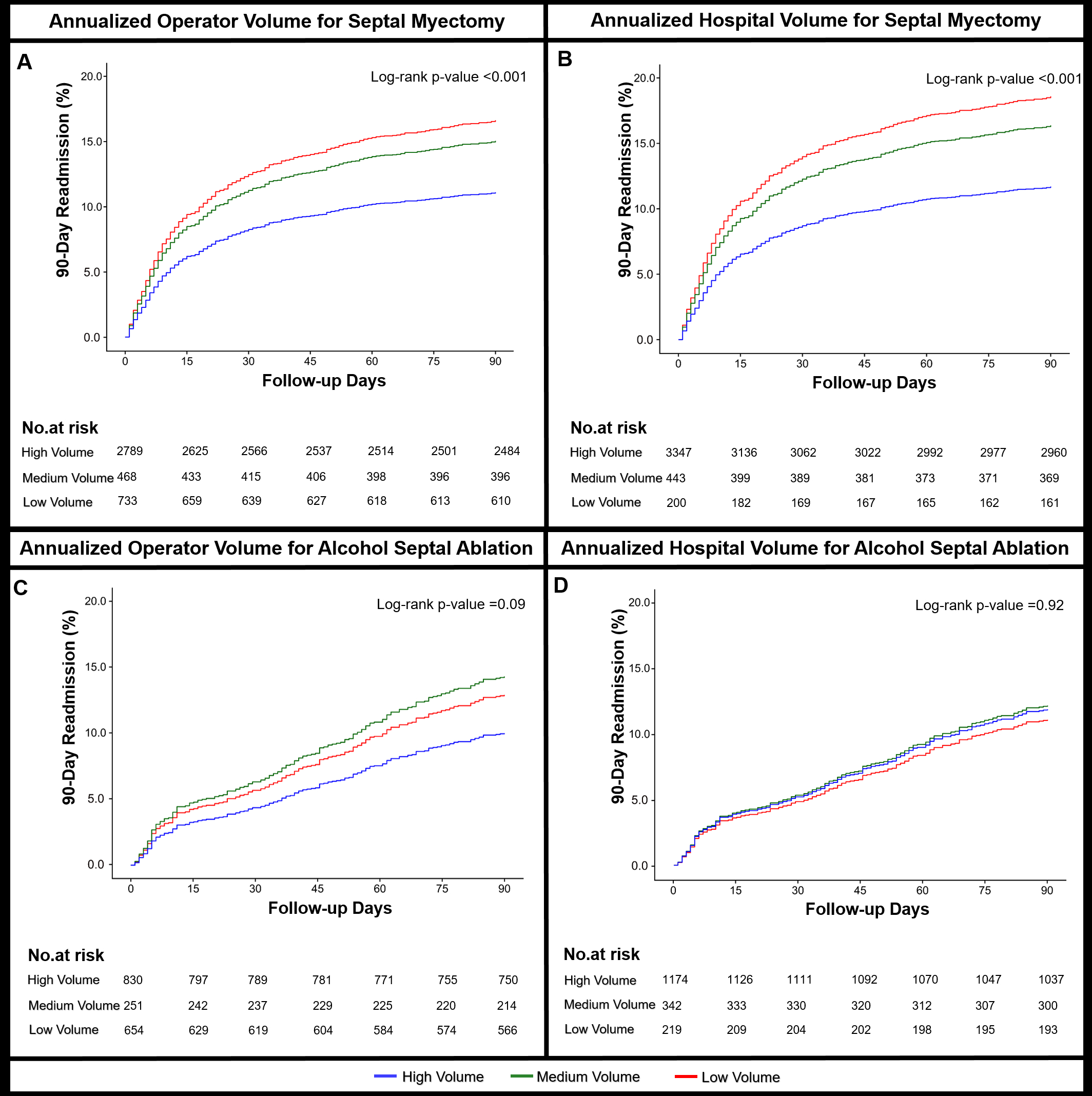
Among 5,725 HCM patients included in this study, 3,990(69.7%) and 1,735(31.3%) underwent SM and ASA, respectively. Among those who underwent SM, low-(ORadj:1.86;95%CI:1.11–3.15) and medium-(ORadj:1.93;95%CI:1.05–3.55) volume operators were associated with higher odds of mortality compared with high-volume operators.(Table) Similarly, medium-volume hospitals had higher odds of mortality post-SM compared with high-volume hospitals (ORadj:2.29;95%CI:1.32–3.99).(Table) Moreover, low-volume operators (HRadj:1.51;95%CI:1.22-1.88) and hospitals (HRadj:1.60;95%CI:1.14-2.23) were associated with greater risk for readmission compared with their high-volume counterparts for SM.(Figure) Among those who underwent ASA, low-(ORadj:2.99;95%CI:1.15-7.75) and medium-(ORadj:3.86;95%CI:1.30–11.46) operator volume was associated with higher odds for mortality compared with high-volume operators.(Table) Compared with high-volume operators, the risk of readmission was similar to low-volume operators (HRadj:1.31;95%CI:0.96-1.77).(Figure) However, hospital volume was not associated with mortality and readmission for ASA.
Conclusions
Low operator and hospital volumes for septal reduction therapies were associated with higher postoperative morbidity and mortality compared with their high-volume counterparts. The current study highlights the need to refer HCM patients requiring septal reduction therapies to high-volume centers with experienced operators who have expertise in performing these procedures.
  • Patel, Nirav  ( UNIVERSITY OF ALABAMA AT BIRMINGHAM , Birmiham , Alabama , United States )
  • Arora, Garima  ( University of Alabama at Birmingham , Birmingham , Alabama , United States )
  • Arora, Pankaj  ( UNIVERSITY OF ALABAMA AT BIRMINGHAM , Birmingham , Alabama , United States )
  • Shetty, Naman  ( UNIVERSITY OF ALABAMA AT BIRMINGHAM , Birmiham , Alabama , United States )
  • Gaonkar, Mokshad  ( UNIVERSITY OF ALABAMA AT BIRMINGHAM , Birmiham , Alabama , United States )
  • Shahid, Abdulla  ( UNIVERSITY OF ALABAMA AT BIRMINGHAM , Birmiham , Alabama , United States )
  • Divekar, Girija  ( UNIVERSITY OF ALABAMA AT BIRMINGHAM , Birmiham , Alabama , United States )
  • Pampana, Akhil  ( UNIVERSITY OF ALABAMA AT BIRMINGHAM , Birmiham , Alabama , United States )
  • Vekariya, Nehal  ( University of Alabama Birmingham , Birmingham , Alabama , United States )
  • Peng, Li  ( UNIV OF ALABAMA BIRMINGHAM , Birmingham , Alabama , United States )
  • Ahmed, Mustafa  ( UAB , Birmingham , Alabama , United States )
  • Author Disclosures:
    Nirav Patel: DO NOT have relevant financial relationships | Garima Arora: DO NOT have relevant financial relationships | Pankaj Arora: DO NOT have relevant financial relationships | Naman Shetty: DO NOT have relevant financial relationships | Mokshad Gaonkar: No Answer | Abdulla Shahid: DO NOT have relevant financial relationships | Girija Divekar: No Answer | Akhil Pampana: No Answer | Nehal Vekariya: DO NOT have relevant financial relationships | Li Peng: DO NOT have relevant financial relationships | Mustafa Ahmed: No Answer
Meeting Info:

Scientific Sessions 2024

2024

Chicago, Illinois

Session Info:

Emerging Interventions for Heart Failure

Sunday, 11/17/2024 , 03:15PM - 04:15PM

Abstract Poster Session

More abstracts on this topic:
A Hypertrophic Cardiomyopathy Polygenic Score Modifies Penetrance of Pathogenic Hypertrophic and Dilated Cardiomyopathy Variants in Opposite Directions

Abramowitz Sarah, Hoffman-andrews Lily, Depaolo John, Judy Renae, Owens Anjali, Damrauer Scott, Levin Michael

Acoramidis Effect on All-Cause Mortality in Patients with p.V142I (V122I) Variant ATTR-CM: Findings From the ATTRibute-CM Study

Alexander Kevin, Bhatt Kunal, Judge Daniel, Grodin Justin, Akinboboye Olakunle, Chen Chris, Tamby Jean-francois, Castano Adam, Fox Jonathan, Fontana Marianna, Gillmore Julian, Sarswat Nitasha, Grogan Martha, Solomon Scott, Davis Margot, Cuddy Sarah, Kittleson Michelle, Shah Keyur, Griffin Jan, Ruberg Frederick, Khouri Michel

More abstracts from these authors:
Association of Plasma Transthyretin Levels with Risk of Heart Failure in a Multi-Ancestry Population

Shahid Abdulla, Arora Pankaj, Pampana Akhil, Patel Nirav, Gaonkar Mokshad, Bal Harshvir, Nayak Amrita, Vekariya Nehal, Shetty Naman, Arora Garima

Risk of Mortality and Heart Failure with Myosin Inhibition Among Hypertrophic Cardiomyopathy Patients

Patel Nirav, Shetty Naman, Gaonkar Mokshad, Divekar Girija, Vekariya Nehal, Peng Li, Arora Garima, Arora Pankaj

You have to be authorized to contact abstract author. Please, Login
Not Available