Logo

American Heart Association

  117
  0


Final ID: Sa4181

Clinical implications of combined midodrine and pulmonary vasodilator therapy in Portopulmonary Hypertension

Abstract Body (Do not enter title and authors here): Introduction: Portopulmonary hypertension (POPH) and associated pulmonary vascular resistance (PVR) elevation is seen in the context of underlying portal hypertension and liver disease. In the systemic circulation, liver cirrhosis can cause inappropriate splanchnic and systemic vasodilation with decreased systemic vascular resistance (SVR). Midodrine is used to maintain blood pressure in the setting of low SVR. Pulmonary vasodilators have systemic vasodilatory effects; the implications of combined midodrine and pulmonary vasodilator use in POPH are unanswered questions.

Hypothesis: We hypothesized that SVR would decrease over time in patients with POPH started on pulmonary vasodilators, and that use of midodrine (as a surrogate for depressed SVR), may be associated with increased risk of mortality in patients with POPH starting pulmonary vasodilator therapy.

Methods: Patients from the 3 Mayo Clinic sites (Rochester, MN; Jacksonville, FL; Scottsdale, AZ) diagnosed with POPH from 1988-2020 were included in the database. Patients met hemodynamic criteria for POPH via right heart catheterization (RHC). Hemodynamics were obtained from echocardiography and RHC at initial and subsequent visits. The hazard ratio for risk of death was estimated using Cox proportional hazards method. SVR was calculated using mean arterial pressure and cardiac output.

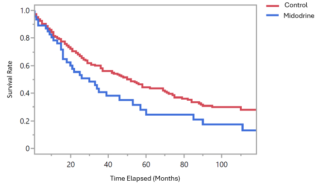
Results: Analysis included 147 POPH patients, 34 (23%) on midodrine and 113 (77%) not requiring midodrine. There were 116 patients with longitudinal SVR data. The mean initial SVR was 1224 Dyne sec cm-5 and decreased 251 Dyne sec cm-5 [95% CI -337 to -165 251 Dyne sec cm-5, p<0.0001] with no difference between midodrine groups (p=0.57). Patients in the midodrine POPH group had an increased risk of mortality compared to those without midodrine use (HR 1.51, 95% CI: 1.02-2.21, p=0.0371).

Conclusions: Patients with POPH starting pulmonary vasodilator have a reduction in SVR related to vasodilator therapy. Midodrine use with pulmonary vasodilator therapy is associated with increased mortality in the POPH population. Further study of the safety of combined midodrine and pulmonary vasodilator use in POPH is needed along with exploration of more selective pulmonary vasodilators.
  • Bergeron, Nicholas  ( Mayo Clinic , Rochester , Minnesota , United States )
  • Vargas, Hugo  ( Mayo Clinic , Rochester , Minnesota , United States )
  • Watt, Kymberly  ( Mayo Clinic , Rochester , Minnesota , United States )
  • Reddy, Yogesh  ( Mayo Clinic , Rochester , Minnesota , United States )
  • Cajigas, Hector  ( Mayo Clinic , Rochester , Minnesota , United States )
  • Burger, Charles  ( Mayo Clinic , Jacksonville , Florida , United States )
  • Cartin-ceba, Rodrigo  ( Mayo Clinic , Rochester , Minnesota , United States )
  • Dubrock, Hilary  ( Mayo Clinic , Rochester , Minnesota , United States )
  • Keaveny, Andrew  ( Mayo Clinic , Rochester , Minnesota , United States )
  • Krowka, Michael  ( Mayo Clinic , Rochester , Minnesota , United States )
  • Swanson, Karen  ( Mayo Clinic , Rochester , Minnesota , United States )
  • Author Disclosures:
    Nicholas Bergeron: DO NOT have relevant financial relationships | Hugo Vargas: No Answer | Kymberly Watt: No Answer | Yogesh Reddy: DO NOT have relevant financial relationships | Hector Cajigas: DO NOT have relevant financial relationships | Charles Burger: DO NOT have relevant financial relationships | Rodrigo Cartin-Ceba: No Answer | Hilary DuBrock: DO have relevant financial relationships ; Advisor:Janssen:Active (exists now) ; Research Funding (PI or named investigator):Bayer:Active (exists now) ; Advisor:Merck:Expected (by end of conference) | Andrew Keaveny: No Answer | Michael Krowka: No Answer | karen swanson: No Answer
Meeting Info:

Scientific Sessions 2024

2024

Chicago, Illinois

Session Info:

Looking Ahead: New Targets and Therapeutics for Pulmonary Hypertension

Saturday, 11/16/2024 , 02:00PM - 03:00PM

Abstract Poster Session

More abstracts on this topic:
A soluble guanylate cyclase stimulator improves survival in a rat model of heart failure with reduced ejection fraction and chronic kidney disease induced by aorto-caval fistula and 5/6 nephrectomy

Kala Petr, Miklovic Matus, Molnar Matej, Mikula Jan, Skaroupkova Petra, Gawrys Olga, Ostadal Petr, Melenovsky Vojtech, Cervenka Ludek

Macrolides for KCNJ5–mutated Aldosterone-Producing Adenoma (MAPA): a Study for Personalized Management of Primary Aldosteronism

Rossi Gian Paolo, Seccia Teresa, Caroccia Brasilina, Bressan Alessandro, Rossitto Giacomo, Byiringiro Clement, Ceolotto Giulio, Briones Ana

You have to be authorized to contact abstract author. Please, Login
Not Available