Logo

American Heart Association

  153
  0


Final ID: Su3088

Age- and Sex-Related Coronary Atherosclerosis by Artificial Intelligence Quantitative Coronary CT Angiography from the INVICTUS Registry

Abstract Body (Do not enter title and authors here): [Background]
Coronary plaque analysis using artificial intelligence quantitative coronary CT (AI-QCT) is a promising tool to identify coronary atherosclerosis. However, there is insufficient data on coronary atherosclerosis volume and morphology using AI-QCT in patients who are at high risk of atherosclerosis. The purpose of this study is to clarify the differences in the volume and phenotypes of coronary atherosclerosis by age and gender using AI-QCT.
[Methods]
The INVICTUS Registry is a multi-center registry enrolling patients who clinically underwent coronary CT angiography and invasive coronary angiography with invasive imaging modalities in Japan. Patients with a history of percutaneous coronary intervention or coronary artery bypass graft were excluded in this study. Using AI-QCT, the volume, and phenotypes (calcified, non-calcified, low-density non-calcified plaque [LD-NCP]) of coronary atherosclerosis were analyzed and assessed by age (<55, 55-64, 65-74, and 75 and older) and gender.
[Results]
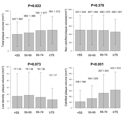
A total of 982 patients were enrolled in the study. The mean age was 70.3 ± 10.8 years, 71.9% were male. Approximately two-thirds of patients had hypertension (73.3%) and dyslipidemia (71.5%), and 36.7% had diabetes. Mean total plaque volume (PV), calcified PV, non-calcified PV, and low-density PV were 745.5±529.8 mm3, 248.3±302.0 mm3, 482.2±340.6 mm3, and 15.0±29.4 mm3, respectively. The results of plaque volume and phenotypes by age are shown in the figure. Compared to those under 55 years of age, total PV increased gradually and significantly by about 10% for every 10 years of age (p=0.022). Though no significant difference was observed in non-calcified PV between the age groups (p=0.379), calcified PV progressively and significantly increases approximately 70% for every 10 years of age (p<0.001). In contrast, the low-density plaque volume showed a trend toward a significant decrease with increasing age (p=0.073). These trends did not differ by gender.
[Conclusion]
In a large cohort of patients at high risk for atherosclerosis analyzed by AI-QCT, total coronary PV increased with age, primarily calcified PV. While no change in non-calcified PV between the age groups, LD-NCPV was likely to decrease with increasing age. These findings may contribute to the guidance for the prevention of coronary artery diseases based on coronary atherosclerosis phenotype by age and gender.
  • Okubo, Ryo  ( Toho University Faculty of Medicine , Tokyo , Japan )
  • Ichikawa, Keishi  ( Lundquist Institute at Harbor UCLA , Torrance , California , United States )
  • Abe, Mitsunori  ( Yotsuba Circulation Clinic , Ehime , Japan )
  • Kitagawa, Toshiro  ( HIROSHIMA UNIVERSITY , Hiroshima , Japan )
  • Ikenaga, Hiroki  ( HIROSHIMA UNIVERSITY , Hiroshima , Japan )
  • Osawa, Kazuhiro  ( Kawasaki Medical School General Medical Center , Okayama , Japan )
  • Saji, Mike  ( Toho University , Tokyo , Japan )
  • Iguchi, Nobuo  ( SAKAKIBARA HEART INSTITUTE , Tokyo , Japan )
  • Nakazawa, Gaku  ( Kindai University Faculty of Medicine , Osaka , Japan )
  • Takahashi, Kuniaki  ( Kindai University Faculty of Medicine , Osaka , Japan )
  • Ijichi, Takeshi  ( Tokai University School of Medicine , Kanagawa , Japan )
  • Matsuo, Hitoshi  ( Gifu Heart Center , Gifu City , Japan )
  • Mikamo, Hiroshi  ( Toho University Sakura Medical Center , Chiba , Japan )
  • Kurata, Akira  ( Shikoku Cancer Center , Ehime , Japan )
  • Moroi, Masao  ( Misato Central General Hospital , Misato-shi , Japan )
  • Iijima, Raisuke  ( Toho university, Ohashi hospital , Tokyo , Japan )
  • Crabtree, Tami  ( Cleerly, Inc. , Santa Rosa , California , United States )
  • Min, James  ( Cleerly, Inc. , Denver , New York , United States )
  • Earls, James  ( Cleerly, Inc. , Denver , New York , United States )
  • Nakanishi, Rine  ( Toho University Medical Center , Tokyo , Japan )
  • Sobue, Yoshihiro  ( Fujita Health University Bantane Hospital , Nagoya , Japan )
  • Kaneko, Umihiko  ( Sapporo sinkekkan hospital , Tokyo , Japan )
  • Sato, Hideyuki  ( Juntdndo university hospital , Tokyo , Japan )
  • Fujimoto, Shinichiro  ( Juntdndo university hospital , Tokyo , Japan )
  • Nozaki, Yui  ( Juntdndo university hospital , Tokyo , Japan )
  • Kajiya, Takashi  ( Tenyoukai Central Hospital , Kagoshima , Japan )
  • Miyoshi, Toru  ( OKAYAMA UNIVERSITY , Okayama , Japan )
  • Author Disclosures:
    Ryo Okubo: DO NOT have relevant financial relationships | Keishi Ichikawa: DO NOT have relevant financial relationships | Mitsunori Abe: No Answer | Toshiro Kitagawa: DO NOT have relevant financial relationships | Hiroki Ikenaga: DO NOT have relevant financial relationships | Kazuhiro Osawa: DO NOT have relevant financial relationships | Mike Saji: No Answer | Nobuo Iguchi: DO NOT have relevant financial relationships | Gaku Nakazawa: No Answer | Kuniaki Takahashi: DO NOT have relevant financial relationships | Takeshi Ijichi: DO have relevant financial relationships ; Speaker:Novartis:Past (completed) ; Speaker:Kyowa Kirin Co. Ltd.:Past (completed) ; Speaker:Mitsubishi Tanabe Pharma Corporation (MTPC):Past (completed) ; Speaker:Daiichi Sankyo Company Limited (Daiichi Sankyo):Past (completed) ; Speaker:Bristol-Myers Squibb Company (BMS):Past (completed) ; Speaker:Pfizer Inc.:Past (completed) ; Speaker:Abiomed Japan K.K.:Past (completed) ; Speaker:Takeda Pharmaceutical Company Limited:Past (completed) ; Speaker:Boehringer Ingelheim Japan:Past (completed) ; Speaker:Medtronic Japan:Past (completed) ; Speaker:Terumo:Past (completed) ; Speaker:Bayer:Past (completed) ; Speaker:Ono Pharmaceutical:Past (completed) ; Speaker:AstraZeneca:Past (completed) ; Speaker:Otsuka:Past (completed) | Hitoshi Matsuo: DO NOT have relevant financial relationships | Hiroshi Mikamo: No Answer | Akira Kurata: No Answer | Masao Moroi: DO NOT have relevant financial relationships | raisuke iijima: No Answer | Tami Crabtree: No Answer | James Min: DO have relevant financial relationships ; Employee:Cleerly, Inc.:Active (exists now) ; Advisor:Arineta:Active (exists now) ; Ownership Interest:Cleerly, Inc.:Active (exists now) | James Earls: No Answer | Rine Nakanishi: DO NOT have relevant financial relationships | Yoshihiro Sobue: DO NOT have relevant financial relationships | Umihiko Kaneko: No Answer | Hideyuki Sato: DO NOT have relevant financial relationships | Shinichiro Fujimoto: No Answer | Yui Nozaki: No Answer | Takashi Kajiya: No Answer | Toru Miyoshi: DO NOT have relevant financial relationships
Meeting Info:

Scientific Sessions 2024

2024

Chicago, Illinois

Session Info:

Sex Differences in CVD 2

Sunday, 11/17/2024 , 03:15PM - 04:15PM

Abstract Poster Session

More abstracts on this topic:
AI-enabled Nationwide Opportunistic Screening of Non-Contrast Chest CT: Association between Cardiac Calcium Score and All-cause Mortality/Cardiovascular Events in Taiwan

Pan Heng-yu, Lee Chih-kuo, Lee Wen Jeng, Hsieh Chi-jeng, Wang Tzung Dau

AI-driven Measurement of Myosteatosis in Coronary Artery Calcium Scans Predicts Atrial Fibrillation and Heart Failure. An AI-CVD Study within the Multi-Ethnic Study of Atherosclerosis (MESA)

Naghavi Morteza, Wong Nathan, Vliegenthart Rozemarijn, Mcconnell Michael, Maron David, Branch Andrea, Kloner Robert, Mechanick Jeffrey, Ma Ning, Yip Rowena, Fan Wenjun, Azimi Amir, Roy Sion, Nasir Khurram, Molloi Sabee, Fayad Zahi, Kakadiaris Ioannis, Abela George, Narula Jagat, Williams Kim, Shah Prediman, Benjamin Emelia, Atlas Kyle, Levy Daniel, Zhang Chenyu, Reeves Anthony, Atlas Thomas, Yankelevitz David, Mirjalili Seyed Reza, Henschke Claudia

More abstracts from these authors:
Panel Participant

Min James

Presenter

Min James

You have to be authorized to contact abstract author. Please, Login
Not Available