Logo

American Heart Association

  128
  0


Final ID: Mo4147

Right Ventricular Function and Right Ventricular-Pulmonary Arterial Adaptations in Aging Older Adults

Abstract Body (Do not enter title and authors here): BACKGROUND
Compared to our understanding of left ventricular (LV) dysfunction in cardiac aging, there is far less depiction of right heart function, especially right ventricular (RV) remodelling in response to pulmonary arterial (PA) changes with aging. Given the importance of cardio-respiratory function in declining aerobic capacity with age, identifying sensitive metrics of RV function would complete our understanding of RV and RV-PA conduit adaptations in aging.

METHODS
Community older adults without cardiovascular disease underwent prospective cardiac magnetic resonance (CMR) imaging that measured RV volumes (RV end-diastolic volume, EDV; end-systolic volume, ESV), RV function (RV ejection fraction, RVEF; RV global longitudinal strain, GLS) and RV-PA coupling (end-systolic elastance to arterial elastance, computed as ratio of LV stroke volume, SV to RVESV). A RV-PA coupling threshold of >1.5 (based on prior literature) implies effective RV adaptation Aerobic capacity (VO2) was calculated. Multivariable regression adjusted for significant covariates.

RESULTS
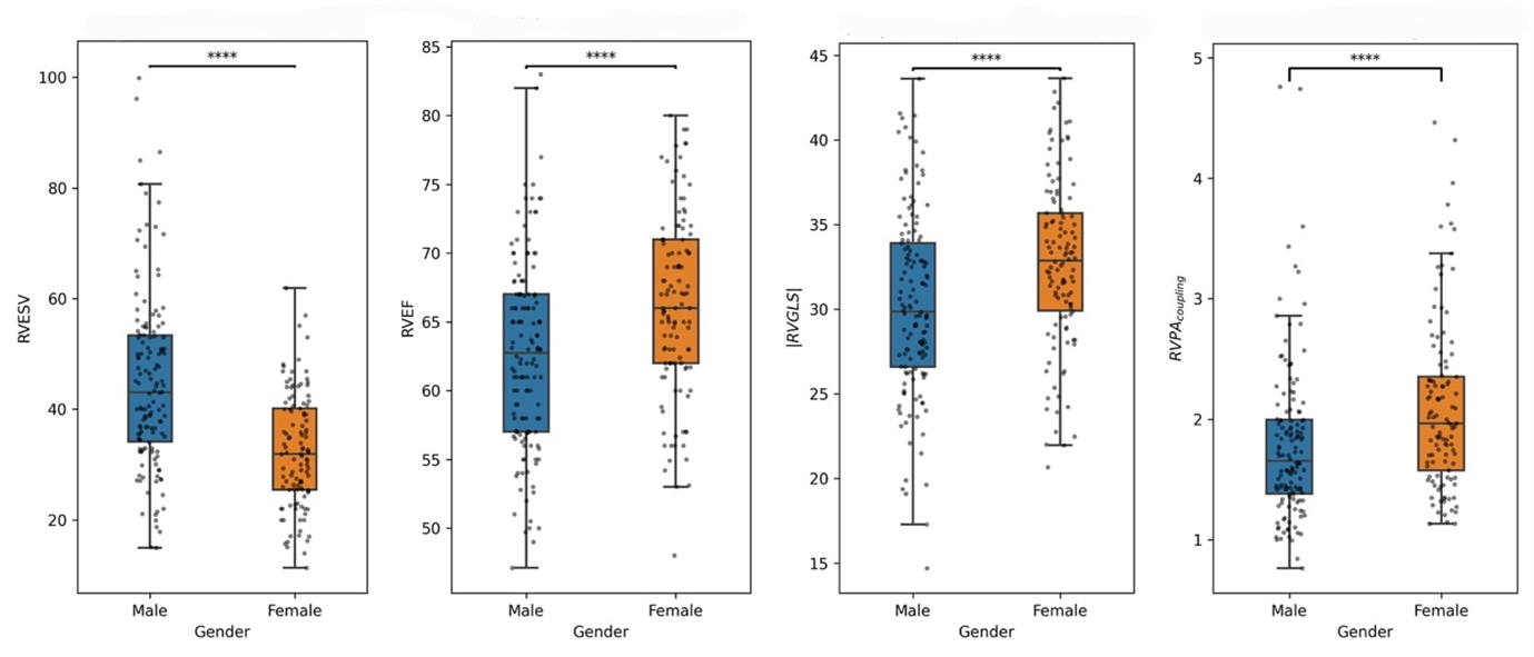
We studied 251 participants (54.5% female, 70.78±9.07 years) with normal LV and RV function (mean LVEF, 65.13±7.51 %, RVEF, 64.25±6.98 %). RV-PA threshold of <1.5 defined poorer RV structure and function with lower RVEF (56.6 ± 3.95 vs. 67.5 ± 5.25, p < 0.001), RVGLS (28.13± 4.55 vs. 32.8 ± 5.1, p = 0.0065) and higher RVEDV index (73.2 ± 15.15 vs. 63.34 ± 12.03, p < 0.001), compared to those with RVPA > 1.5. Predictors of better RVGLS were female sex (β=0.189, adj. p=0.019), independent of systolic and diastolic blood pressure while predictors of RVESV were female sex (β=-0.433, adj. p<0.00), age (β=-0.195, adj. p<0.001) and body mass index (β=0.264, adj. p<0.001). Overall, women had better RVEF and RVGLS but lower RVSV and VO2 (30.1±4,5 vs 37.7±5.1, ml/kg/min) compared to men (all p<0.001) (Table 1). Lower VO2 among women compared to men was accompanied by higher RV-PA (2.1±0.7 vs 1.8±0.7, p<0.001). Female sex (β=0.233, 95% CI [0.158, 0.506, adj. p<0.001) was independently associated with RV-PA coupling on multivariable analyses.

CONCLUSIONS
Novel CMR-derived right heart parameters defined RV function and RV adaptations as depicted by RV-PA interactions in older adults. Superior RV functions and RV-PA coupling in women may represent hemodynamic adaptations in women, despite lower aerobic capacities.
  • Senthamil Selvan, Vikneshwaren  ( National Heart Centre Singapore , Singapore , Singapore )
  • Koh, Angela  ( National Heart Centre Singapore , Singapore , Singapore )
  • Wong, Jie Jun  ( National Heart Centre Singapore , SINGAPORE , Singapore )
  • Zhao, Xiaodan  ( National Heart Centre Singapore , Singapore , Singapore )
  • Leng, Shuang  ( National Heart Centre Singapore , Singapore , Singapore )
  • Tan, Glades  ( National Heart Centre Singapore , Singapore , Singapore )
  • Loh, Johnathan  ( National Heart Centre Singapore , Singapore , Singapore )
  • Gao, Fei  ( National Heart Centre Singapore , Singapore , Singapore )
  • Tan, Ru  ( National Heart Centre Singapore , Singapore , Singapore )
  • Zhong, Liang  ( National Heart Centre Singapore , Singapore , Singapore )
  • Author Disclosures:
    Vikneshwaren Senthamil Selvan: DO NOT have relevant financial relationships | Angela Koh: DO NOT have relevant financial relationships | JIE JUN WONG: DO NOT have relevant financial relationships | XIAODAN ZHAO: No Answer | Shuang Leng: DO NOT have relevant financial relationships | Glades Tan: DO NOT have relevant financial relationships | Johnathan Loh: DO NOT have relevant financial relationships | Fei Gao: DO NOT have relevant financial relationships | Ru Tan: DO NOT have relevant financial relationships | Liang Zhong: No Answer
Meeting Info:

Scientific Sessions 2024

2024

Chicago, Illinois

Session Info:

Chasing the Clot: Managing Pulmonary Embolic Disease

Monday, 11/18/2024 , 01:30PM - 02:30PM

Abstract Poster Session

More abstracts on this topic:
Age at Pulmonary Valve Replacement is not Associated with Reverse Right Ventricular Remodeling in Patients with Tetralogy of Fallot

Schreier Matthew, Vaikunth Sumeet, Moore Rebecca, Kim Yuli, Fogel Mark, Fuller Stephanie, Mercer-rosa Laura

Associations between 24-hour Blood Pressure Variability Measures and Orthostatic Blood Pressure Changes

Patil Dhrumil, Cluett Jennifer, Mukamal Kenneth, Coresh Joe, Selvin Elizabeth, Wagenknecht Lynne, Hughes Timothy, Windham B Gwen, Mosley Thomas, Lutsey Pamela, Ring Kimberly, Xue Catherine, Lipsitz Lewis, Ma Yuan, Valint Arielle, Juraschek Stephen, Khan Md Marufuzzaman, Col Hannah, Larbi Fredrick, Zhang Wenxin, Zhang Mingyu, Turkson-ocran Ruth-alma, Ngo Long

More abstracts from these authors:
Superior Ventricular Longitudinal Strain Is Linked To Metabolic Adaptations, Protective Ventricular Remodeling Among Older Women And Clinical Outcomes.

Wong Jie Jun, Ching Jianhong, Tan Ru, Zhong Liang, Koh Angela, Leng Shuang, Zhao Xiaodan, Tan Glades, Zhang Hongzhou, Kovalik Jean Paul, Gao Fei, Wee Hai Ning, Chua Kee Voon

Impairments in Left Atrioventricular Coupling Underpins Reductions in Skeletal Muscle Mass and Function in Ageing Older Adults

Xie Alex Yufei, Koh Angela, Tan Glades, Leng Shuang, Zhao Xiaodan, Zhong Liang, Lim Wee Shiong, Lee Gina, Tan Ru, Gao Fei

You have to be authorized to contact abstract author. Please, Login
Not Available