Logo

American Heart Association

  125
  0


Final ID: Su3081

Impairments in Left Atrioventricular Coupling Underpins Reductions in Skeletal Muscle Mass and Function in Ageing Older Adults

Abstract Body (Do not enter title and authors here): Background: Age-related cardiovascular disease (CVD) may manifest with changes in left ventricular (LV) systolic or left atrial (LA) dysfunction. Alterations in functional performance between the LV and LA chambers characterized by LA-LV coupling may be a sensitive marker representative of impairments in global cardiac performance, compared to either chamber alone. The increasing relevance of skeletal muscle function towards cardiac health in ageing, motivated our current work that investigated associations between skeletal muscle function and LA-LV coupling.
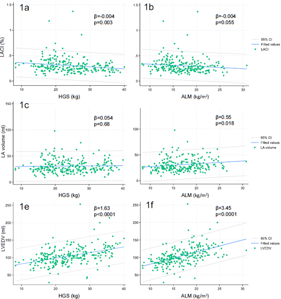
Aim: Using advanced cardiac magnetic resonance (CMR) that characterizes cardiac volumetric parameters and strain functions, we determined the association between handgrip strength (HGS) and appendicular lean mass (ALM) with left atrioventricular coupling index (LACI).
Methods: Community older adults without CVD underwent simultaneous assessment of HGS by hand dynamometer, height-square adjusted ALM by bio-impedance, and LA phasic function (namely reservoir, conduit, booster strain) as well as LA and LV volumetric parameters by CMR feature tracking. LACI is defined as the ratio of the ratio of LA to LV end-diastolic volumes. We performed linear regression and multivariable logistic regression to examine the relationship between HGS/ALM and LACI.
Results: Among 251 study participants (mean age: 71 ± 9.1 years, female 44.7%), 149 (59%) had impaired LACI. HGS was linearly associated with LACI (β=-0.004, p=0.003) and LVEDV (β=1.62, p<0.0001), and ALM was linearly associated with LA volume (β=0.55, p=0.018) and LVEDV (β=3.45, p<0.0001) (Figure.1). Participants with impaired LACI (> 25%) had lower HGS (mean=22.8 ± 7.1 kg vs 26.1 ± 6.4 kg, p= 0.0002), lower ALM (16.4 ± 4.2 kg/m2 vs 17.7 ± 3.8 kg/m2, p=0.014), higher LA volume (36.8 ± 15.2 ml vs 22.0 ± 5.5 ml, p < 0.0001) and lower LV end-diastolic volume (101.0 ± 24.2 ml vs 111.9 ± 27.3 ml, p = 0.0011). The association between impaired LA-LV coupling and lower HGS (β=-0.0647, 95%CI -0.0255, -0.1040, p=0.001) and lower ALM (β=-0.0776, 95%CI -0.0107, -0.1444, p=0.011) persisted after adjusting for age.
Conclusion: Reduced HGS and ALM among community-dwelling older adults was associated with impaired LA-LV coupling suggestive of underlying early-stage LA remodelling and impairments in left atrioventricular compliance. Detection of reduced HGS and ALM in community cohorts may prompt early identification of older adults at risk of dysfunctional cardiac aging.
  • Xie, Alex Yufei  ( National Heart Centre Singapore , Singapore , Singapore )
  • Koh, Angela  ( National Heart Centre Singapore , Singapore , Singapore )
  • Tan, Glades  ( National Heart Centre Singapore , Singapore , Singapore )
  • Leng, Shuang  ( National Heart Centre Singapore , Singapore , Singapore )
  • Zhao, Xiaodan  ( National Heart Centre Singapore , Singapore , Singapore )
  • Zhong, Liang  ( National Heart Centre Singapore , Singapore , Singapore )
  • Lim, Wee Shiong  ( Tan Tock Seng Hospital , Singapore , Singapore )
  • Lee, Gina  ( National Heart Centre Singapore , Singapore , Singapore )
  • Tan, Ru  ( National Heart Centre Singapore , Singapore , Singapore )
  • Gao, Fei  ( National Heart Centre Singapore , Singapore , Singapore )
  • Author Disclosures:
    Alex Yufei Xie: DO NOT have relevant financial relationships | Angela Koh: DO NOT have relevant financial relationships | Glades Tan: DO NOT have relevant financial relationships | Shuang Leng: DO NOT have relevant financial relationships | XIAODAN ZHAO: No Answer | Liang Zhong: No Answer | Wee Shiong Lim: DO NOT have relevant financial relationships | Gina Lee: DO NOT have relevant financial relationships | Ru Tan: DO NOT have relevant financial relationships | Fei Gao: DO NOT have relevant financial relationships
Meeting Info:

Scientific Sessions 2024

2024

Chicago, Illinois

Session Info:

Sex Differences in CVD 2

Sunday, 11/17/2024 , 03:15PM - 04:15PM

Abstract Poster Session

More abstracts on this topic:
Aldosterone Promotes Aortic Dissection through Lactate/Lactylation-mediated Phenotypic Switching of Vascular Smooth Muscle Cell

Li Nanfang, Zhu Qing

Artificial Intelligence-Derived Myosteatosis on Coronary Artery Calcium CT Scans Predicts Incident COPD: An AI-CVD Study within the Multi-Ethnic Study of Atherosclerosis (MESA)

Naghavi Morteza, Maron David, Vliegenthart Rozemarijn, Mcconnell Michael, Zulueta Javier, Williams Kim, Branch Andrea, Mechanick Jeffrey, Ma Ning, Yip Rowena, Fan Wenjun, Azimi Amir, Roy Sion, Budoff Matthew, Molloi Sabee, Kakadiaris Ioannis, Shah Prediman, Abela George, Narula Jagat, Benjamin Emelia, Levy Daniel, Mehran Roxana, Atlas Kyle, Kloner Robert, Zhang Chenyu, Reeves Anthony, Wasserthal Jakob, Wong Nathan, Henschke Claudia, Yankelevitz David

More abstracts from these authors:
Superior Ventricular Longitudinal Strain Is Linked To Metabolic Adaptations, Protective Ventricular Remodeling Among Older Women And Clinical Outcomes.

Wong Jie Jun, Ching Jianhong, Tan Ru, Zhong Liang, Koh Angela, Leng Shuang, Zhao Xiaodan, Tan Glades, Zhang Hongzhou, Kovalik Jean Paul, Gao Fei, Wee Hai Ning, Chua Kee Voon

Right Ventricular Function and Right Ventricular-Pulmonary Arterial Adaptations in Aging Older Adults

Senthamil Selvan Vikneshwaren, Koh Angela, Wong Jie Jun, Zhao Xiaodan, Leng Shuang, Tan Glades, Loh Johnathan, Gao Fei, Tan Ru, Zhong Liang

You have to be authorized to contact abstract author. Please, Login
Not Available