Logo

American Heart Association

  146
  0


Final ID: MDP1225

Diabetic ketoacidosis and hyperglycemic hyperosmolar state outcomes in diabetes patients hospitalized with ST-elevation myocardial infarction

Abstract Body (Do not enter title and authors here): Background: Diabetic ketoacidosis (DKA) and hyperglycemic hyperosmolar state (HHS) are acute life-threatening hyperglycemia conditions.

Aims: We aimed to assess their impact on type 2 diabetes patients admitted for ST-elevation myocardial infarction (STEMI).

Methods: Data was extracted from the National Readmission Database (2016-2019). The primary endpoint was in-hospital mortality. Secondary endpoints included in-hospital arrhythmias, cardiogenic shock, and 30-day readmission and mortality.

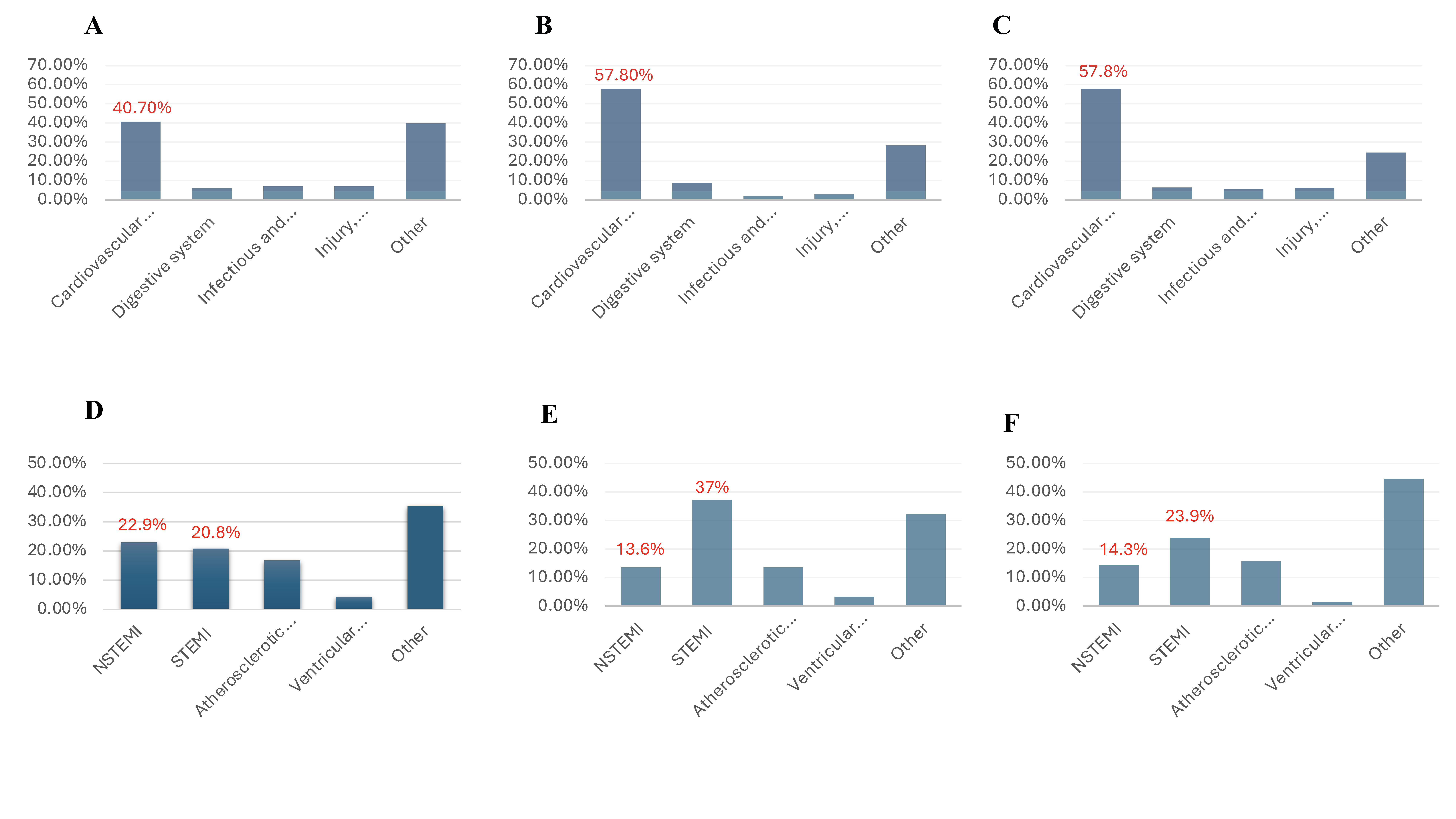
Results: A total of 112,829 patients hospitalized for STEMI with a concomitant diagnosis of type 2 diabetes were hospitalized between 2016 and 2019, of whom 112,799 were included in our analysis after the exclusion of patients with missing data (Figure 1). Of those patients, 330 had a diagnosis of DKA, and 292 had a diagnosis of HHS. After 30 days from the initial hospitalization, 118 (35.7%) out of the initial DKA group, 102 (34.9%) out of the initial HHS group, and 26,523 (23.6%) of STEMI patients with diabetes were readmitted. The presence of DKA increased the odds of in-hospital mortality and cardiogenic shock by almost 2-fold (aOR = 2.30 [1.70-3.12], 2.055 [1.602-2.637], respectively) and renal failure by almost 5-fold (aOR = 5.175 [4.090-6.546]) (Table 1). HHS was also associated with higher odds of mortality, acute renal failure, and cardiogenic shock. Within 30 days of initial admission, DKA and HHS increased the risk of readmission (aOR= 1.815 [1.449-2.75], 1.751 [1.376 - 2.228], respectively), but not mortality. Cardiovascular disease was the most common etiology of readmission in all patients (Figure 2). The prevalence of non-STEMI was the highest in DKA patients (22.9%), and the prevalence of STEMI was the highest in the HHS group (37.9%).

Conclusion: The presence of diabetic ketoacidosis or hyperglycemic hyperosmolar states is associated with higher odds of mortality, renal failure, cardiogenic shock, and 30-day readmission in STEMI patients with type 2 diabetes.
  • Almutairi, Turki  ( Weill Cornell Medicine-Qatar , Doha , Qatar )
  • Dargham, Soha  ( Weill Cornell Medicine-Qatar , Doha , Qatar )
  • Jayyousi, Amin  ( Weill Cornell Medicine-Qatar , Doha , Qatar )
  • Al Suwaidi, Jassim  ( Hamad Medical Corporation , Doha , Qatar )
  • Abi Khalil, Charbel  ( Weill Cornell Medicine-Qatar , Doha , Qatar )
  • Author Disclosures:
    Turki Almutairi: DO NOT have relevant financial relationships | Soha Dargham: No Answer | Amin Jayyousi: No Answer | Jassim Al Suwaidi: No Answer | Charbel Abi Khalil: DO NOT have relevant financial relationships
Meeting Info:

Scientific Sessions 2024

2024

Chicago, Illinois

Session Info:

Trends and Determinants in Outcomes in ACS

Sunday, 11/17/2024 , 03:15PM - 04:20PM

Moderated Digital Poster Session

More abstracts on this topic:
37,500 man-years of clinical expertise validate the cardio-metabolic benefits of empagliflozin-linagliptin in type 2 diabetes: findings from the amplified consensus

Nair Tiny, Jabbar P, Ray Saumitra, Hazra Prakash, Gupta Sushil, Joshi Ameya, Shaikh Shehla, B Jayagopal, Pandit Kaushik, Sharma D, Seshadri Krishna, S Sridhar

An individual patient data meta-analysis of complete versus culprit-lesion only revascularization for acute myocardial infarction involving >8,800 individuals: The Complete Revascularization Trialists’ Collaboration

Mehta Shamir, Banning Amerjeet, Ramasundarahettige Chinthanie, Nguyen Helen, Wood David, Engstrom Thomas, Tiong Denise, Böhm Felix, James Stefan, Biscaglia Simone, Campo Gianluca, Smits Pieter, Giacoppo Daniele, Mccann Gerry

More abstracts from these authors:
Methylation changes in monocytes of type 2 diabetes patients with cardiovascular disease are associated with apoptosis and inflammation pathways.

Bradic Martina, Halabi Najeeb, Shi Yuxin, Thomas Binitha, Abi Nahed Julien, Jayyousi Amin, Al Suwaidi Jassim, Mezey Jason, Abi Khalil Charbel

You have to be authorized to contact abstract author. Please, Login
Not Available