Logo

American Heart Association

  115
  0


Final ID: MDP392

Mediterranean-Style Diet and Adverse Pregnancy Outcomes by Race and Overweight or Obesity Status in the Boston Birth Cohort

Abstract Body (Do not enter title and authors here): Introduction: Mediterranean-style diet (MSD) is associated with a lower risk of cardiovascular and metabolic diseases. However, the association of MSD during pregnancy with adverse pregnancy outcomes (APOs) among different racial and ethnic groups and overweight or obesity (OWO) status remains unclear.
Question: We examined if MSD during pregnancy is protective for developing any APO and individual APOs in a large cohort of racially and ethnically diverse, urban, low-income women.
Methods: Among 8,511 patients in the Boston Birth Cohort (mean age 28.2±6.5 yrs), 47% were non-Hispanic Blacks and 28% were Hispanics. Among 4,343 (51%) with pre-pregnancy OWO status, 25% Black and 12% Hispanic women developed any APO (Figure 1). Individual Mediterranean-style diet score (MDS) was based on maternal diet intake during pregnancy via food frequency questionnaire interviews at 24-72 hours postpartum.
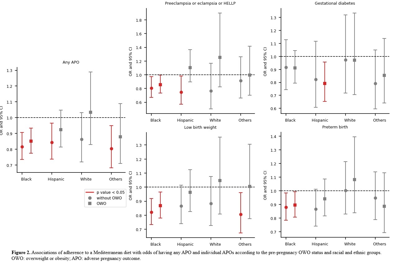
Results: Increase in the MDS by one standard deviation was inversely associated with any APO (aOR, 0.86 [95% CI, 0.82–0.90]), preeclampsia or eclampsia or HELLP (aOR, 0.89 [95% CI, 0.82–0.97]), gestational diabetes (aOR, 0.88 [95% CI, 0.81–0.95]), preterm birth (aOR, 0.90 [95% CI, 0.86–0.95]), and low birth weight (aOR, 0.87 [95% CI, 0.83–0.92]) (Table 1). In the subgroup analysis, higher adherence to MSD was associated with lower odds of developing, preeclampsia or eclampsia or HELLP, low birth weight, and preterm birth in Black women with or without OWO. The benefit of MDS was also observed for gestational diabetes in Hispanic women with OWO (Figure 2).
Conclusion: Greater adherence to MSD during pregnancy is associated with a lower risk of composite APOs, with benefits varying across types of APOs, racial/ethnic groups, and OWO status.
  • Tran, Linh  ( Johns Hopkins University , Baltimore , Maryland , United States )
  • Hong, Xiumei  ( The Johns Hopkins University , Baltimore , Maryland , United States )
  • Boyer, Theresa  ( The Johns Hopkins University , Baltimore , Maryland , United States )
  • Wang, Xiaobin  ( The Johns Hopkins University , Baltimore , Maryland , United States )
  • Minhas, Anum  ( The Johns Hopkins University , Baltimore , Maryland , United States )
  • Author Disclosures:
    Linh Tran: DO NOT have relevant financial relationships | Xiumei Hong: DO NOT have relevant financial relationships | Theresa Boyer: DO NOT have relevant financial relationships | Xiaobin Wang: DO NOT have relevant financial relationships | Anum Minhas: DO NOT have relevant financial relationships
Meeting Info:

Scientific Sessions 2024

2024

Chicago, Illinois

Session Info:

Adverse Pregnancy Outcomes

Saturday, 11/16/2024 , 11:10AM - 12:35PM

Moderated Digital Poster Session

More abstracts on this topic:
Association between Polysocial Risk Score and Cardiovascular Health among Women of Reproductive Age in the American Heart Association’s Research Goes Red

Metlock Faith, Kwapong Yaa, Vaidya Dhananjay, Evans Crystal, Ouyang Pamela, Commodore-mensah Yvonne, Sharma Garima

A Novel H2 Relaxin B-Chain-Only Peptide Variant B7-33 Improves The Pathophysiology Of Placental Ischemia In The Reduced Uterine Perfusion Pressure Rat Model Of Preeclampsia

Pantho Ahmed F, Hossain Mohammed, Uddin Mohammad, Amaral Lorena, Campbell Nathan, Afroze Syeda, Vora Niraj, Kuehl Thomas, Lindheim Steven, Lamarca Babbette, Bathgate Ross

More abstracts from these authors:
A Heart-pounding Case of Cardiomyopathy in Pregnancy

Tran Linh, Everitt Ian, Vaught Arthur, Barth Andreas, Minhas Anum

Maternal Nativity and Adverse Pregnancy Outcomes Stratified by Maternal Race/Ethnicity: Insights from the National Vital Statistics System

Mehta Adhya, Satti Danish Iltaf, Boyer Theresa, Yanek Lisa, Kwapong Yaa, Bhansali Rebekah, Hays Allison, Minhas Anum

You have to be authorized to contact abstract author. Please, Login
Not Available