Logo

American Heart Association

  127
  0


Final ID: Sa3178

Association between SGLT2 inhibitors and risk of Dementia and Parkinson’s Disease: A Meta-analysis of 12 Randomized Controlled Trials.

Abstract Body (Do not enter title and authors here):


Background
Sodium-glucose cotransporter 2 inhibitors (SGLT2i) have demonstrated to reduce the risk of hospitalizations from heart failure and cardiovascular mortality. However, SGLT2i therapy’s potential effects on the risks of dementia and Parkinson’s disease are not well established, with conflicting results based on observational studies.

Objective
We sought to evaluate the association between SGLT2i and the risk of dementia and Parkinson’s disease in patients with type 2 diabetes mellitus (T2DM), heart failure, or chronic kidney disease.

Methods
We performed a systematic literature search on PubMed, Scopus, and Clinicaltrial.gov for relevant randomized controlled trials (RCTs) from inception until March 2024 without any language restrictions. Odds ratios (OR) and 95% confidence intervals (CI) were pooled using a random-effect model.

Results
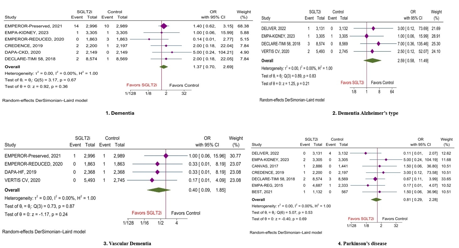
A total of 12 RCTs with 74, 442 patients (40784 in the SGLT2i group and 33658 in the control group) were included in the analysis. The mean age of patients in SGLT2i and control was 65.3 and 65.2 years respectively. The mean follow-up duration was 2.9 years. Pooled analysis showed that there is no significant association between SGLT2i and the risk of dementia (OR, 1.37 (95%CI: 0.70-2.69), P=0.36, I2=0%), dementia Alzheimer’s type (OR, 2.62 (95%CI: 0.47-14.49), P=0.27, I2=0), vascular dementia (OR, O.52 (95%CI: 0.09-2.98), P=0.46, I2=0%), and Parkinson’s disease (OR, 0.75 (95%CI: 0.25-2.25), P=0.61, I2=0%) was comparable between SGLT2i and control groups.

Conclusion
Our study suggest that there is no significant association between SGLT2i and the risk of dementia, its subtypes, and Parkinson’s disease. Further large-power randomized trials are needed to strengthen the understanding of neuropsychiatric beneficial effects of SGLT2i.
  • Jaiswal, Vikash  ( JCCR Cardiology Research , Jaunpur , India )
  • Mashkoor, Yusra  ( Dow University of Health Sciences , Karachi , Pakistan )
  • Jaiswal, Akash  ( AIIMS , New Delhi , India )
  • Raj, Nishchita  ( JCCR Cardiology Research , Jaunpur , India )
  • Rajak, Kripa  ( UPMC , Harrisburg , Pennsylvania , United States )
  • Fonarow, Gregg  ( UCLA MEDICAL CENTER , Los Angeles , California , United States )
  • Author Disclosures:
    Vikash Jaiswal: DO NOT have relevant financial relationships | Yusra Mashkoor: DO NOT have relevant financial relationships | Akash Jaiswal: No Answer | Nishchita Raj: No Answer | Kripa Rajak: DO NOT have relevant financial relationships | Gregg Fonarow: DO have relevant financial relationships ; Consultant:Abbott:Past (completed) ; Consultant:Johnson and Johnson:Past (completed) ; Consultant:Pfizer:Active (exists now) ; Consultant:Novartis:Active (exists now) ; Consultant:Medtronic:Active (exists now) ; Consultant:Merck:Active (exists now) ; Consultant:Eli Lilly:Past (completed) ; Consultant:Boehringer Ingelheim:Past (completed) ; Consultant:Cytokinetics:Active (exists now) ; Consultant:Bayer:Active (exists now) ; Consultant:Astra Zeneca:Past (completed) ; Consultant:Amgen:Past (completed)
Meeting Info:

Scientific Sessions 2024

2024

Chicago, Illinois

Session Info:

Patient-Centered Approaches to Enhanced Care Quality

Saturday, 11/16/2024 , 10:30AM - 11:30AM

Abstract Poster Session

More abstracts on this topic:
A Bridge from Sweet to Sour: A Case of Recurrent Myocardial Stunning in Diabetic Ketoacidosis

Satish Vikyath, Pargaonkar Sumant, Slipczuk Leandro, Schenone Aldo, Maliha Maisha, Chi Kuan Yu, Sunil Kumar Sriram, Borkowski Pawel, Vyas Rhea, Rodriguez Szaszdi David Jose Javier, Kharawala Amrin, Seo Jiyoung

Assessing Short-Term Prognostic Value of eGFR Formulas in Patient with Acute Heart Failure: Comparison of Chronic Kidney Disease Epidemiology Collaboration 2021, 2009 Formula, and Modification of Diet in Renal Disease in Asian Population – A Study from Vietnam

Tran Dieu Hien, Do Chau, Nguyen Thi Kim Chuc, Pham Ngoc Anh Vu, Phan Hoang Son, Phan Tri Cuong, Han Nguyen Le My, Nguyen Thi Huong Dung, Vo Le Y Nhi, Cao Doan Thi Bich Huyen, Tran Thanh Phong, Truyen Thien Tan Tri Tai, Tran Van Duong, Nguyen Ngoc Huyen, Pham Thanh Phong, Nguyen Minh Nghiem, Nguyen Van Khoa, Vo Phuc Dai, Le Hoang Phuc, Dinh Quang Minh Trí, Vu Loc, Kieu Doan Thi

More abstracts from these authors:
You have to be authorized to contact abstract author. Please, Login
Not Available