Logo

American Heart Association

  154
  0


Final ID: LB49

Understanding the effectiveness of a health education program by controlling modifiable risk factors to reduce stroke recurrence in Bangladesh: A Randomized Controlled Trial

Abstract Body: Background: Health education holds potential as a preventive measure for stroke recurrence. However, the evidence remains inconclusive. This study aimed to assess the effectiveness of a health education program in reducing stroke recurrence and related adverse events.
Methods: A hospital-based randomized controlled trial was employed in a tertiary hospital in Bangladesh. First stroke patients after discharge from the hospital, age ≥ 18 years, and mRS 0-4 were enrolled. Stratified by age and type of stroke, 432 patients were randomly allocated into the intervention group (IG) and the control group (CG). The IG received (self) management health education including blood pressure, medication, diet, and exercise monitoring for 12 months, and the CG received the usual care. The outcomes were recurrence and all adverse events related to stroke after 12-month follow-up.
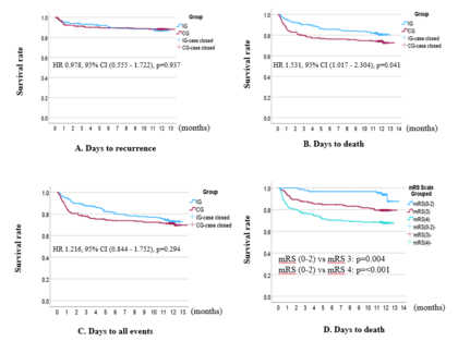
Results: The IG (n=166) and the CG (n=141) completed the 12-month follow-up. A total of 26 (6.0%) patients had recurrence within 28 days of the first attack, and 47 (10.8%) died within the 1st month. Stroke recurrence was observed in 14 patients (6.5%) in the IG and 8 (3.7%) in the CG after 28 days of the initial stroke (p=0.189). Stroke-related adverse events occurred in 116 patients (26.9%, IG: 25.0% and CG: 28.7%, p=0.294), including 95 deaths (22.0%) (18.1% in IG and 25.9% in CG, p=0.041). However, after adjusting for baseline stroke severity (mRS), neither overall events nor all-cause mortality showed significant differences (p=0.933 and p=0.341, respectively). The intervention in IG significantly improved the medication adherence of stroke patients at 6-month and 12-month intervals (p<0.001 and p=0.002, respectively).
Conclusions: Because of the high number of patients with severe mRS and the fact that many died or had recurrences in the first month, we were not able to prove the effectiveness of this health education. However, enhanced medication adherence brought by health education could reduce stroke-related adverse events if we follow long-term period. This study findings suggest the importance of improvement of acute care and health education programs to integrate into the health system for the management of stroke. Further research with large sample size can determine the influencing factors for the recurrence of stroke.
  • Afrin, Mahabuba  ( Hiroshima University , Hiroshima , Japan )
  • Huq, K. A. T. M. Ehsanul  ( Hiroshima University , Hiroshima , Japan )
  • Khan, Sharif Uddin  ( National institute of Neurosciences , Dhaka , Bangladesh )
  • Das, Subir  ( National institute of Neurosciences , Dhaka , Bangladesh )
  • Moriyama, Michiko  ( Hiroshima University , Hiroshima , Japan )
  • Author Disclosures:
    Mahabuba Afrin: DO NOT have relevant financial relationships | K. A. T. M. Ehsanul Huq: DO NOT have relevant financial relationships | Sharif Uddin Khan: No Answer | Subir Das: No Answer | Michiko Moriyama: No Answer
Meeting Info:
Session Info:

Risk Factors and Prevention Oral Abstracts I

Wednesday, 02/05/2025 , 07:30AM - 09:00AM

Oral Abstract Session

More abstracts on this topic:
A First-in-Class Humanized Antibody Fragment Targeting Platelet Glycoprotein Ibα: A Comprehensive Preclinical Study of CA1001 for the Treatment of Acute Ischemic Stroke

Xu Xiaohong, Preeti Preeti, Yu Ruoying, Shaykhalishahi Hamed, Zhang Cheng, Shen Chuanbin, Li Bei, Tang Naping, Chang Yan, Xiang Qian, Cui Yimin, Lei Xi, Ni Heyu, Zhu Guangheng, Liu Zhenze, Hu Xudong, Slavkovic Sladjana, Neves Miguel, Ma Wenjing, Xie Huifang

A Multifaceted Blood Pressure Intervention Improves Medication Adherence in Low Income Adults with Hypertension

Krousel-wood Marie, Mitchell Tammy, Gray Winfrey Lea, Williams Shondra, Wiltz Gary, Winfrey Keith, Chen Jing, He Jiang, Peacock Erin, Mills Katherine, Allouch Farah, Cyprian Alecia, Davis Gerrelda, Fuqua Sonja, S Gilliam Darie, Greer Angel

You have to be authorized to contact abstract author. Please, Login
Not Available

Readers' Comments

We encourage you to enter the discussion by posting your comments and questions below.

Presenters will be notified of your post so that they can respond as appropriate.

This discussion platform is provided to foster engagement, and simulate conversation and knowledge sharing.

 

You have to be authorized to post a comment. Please, Login or Signup.


   Rate this abstract  (Maximum characters: 500)