Logo

American Heart Association

  148
  0


Final ID: WMP75

Flow cytometry thrombus biomarkers for improved cardioembolic etiology prediction in patients with cryptogenic stroke: a sub-analysis of the ITACAT study

Abstract Body: Introduction. Confident cardioembolic (CE) etiology prediction in cryptogenic stroke may enable accurate patient selection for advanced diagnostic workup in these patients. Thrombus analysis by flow cytometry may serve as a complementary source of powerful biomarkers for this purpose.
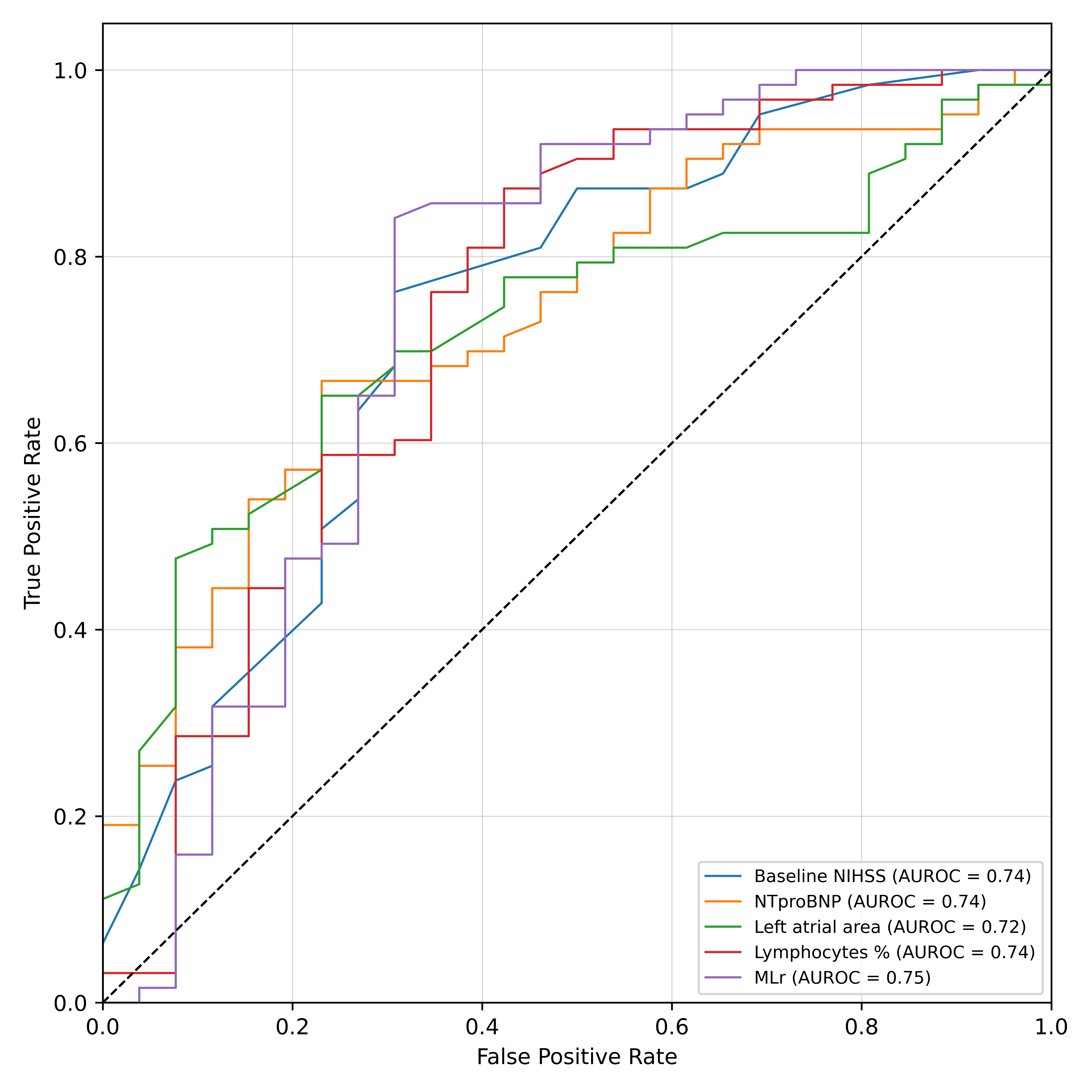
Methods. A retrospective analysis was performed to study the association of a combination of biomarkers with high-risk CE etiology in cryptogenic stroke. High-risk CE etiology was determined upon extensive diagnostic workup. A total of 51 descriptors from serologic analysis, stroke severity, diagnostic cardiac imaging and thrombus flow cytometry were collected for each patient per-protocol. A random forest model with extreme gradient boosting (XGBRF) was implemented for high-risk CE prediction. Recursive feature elimination (RFE) analysis based on feature importance and validation performance of the XGBRF model was conducted to identify the most important predictors of CE cause. Model results were extracted using 50-fold Monte Carlo cross-validation, reserving 20% of cases for validation on each fold. All experiments, were conducted in two branches: 1) including all descriptors, and 2) excluding flow cytometry biomarkers. The area under the receiver operating characteristic (AUROC) curve and F1-score were used for predictive performance assessment.
Results. A sample of 89 cases (63, 70.8% cases in the high-risk CE group) with cryptogenic stroke treated with thrombectomy were included. RFE analysis identified three predictors for optimal CE etiology prediction when excluding cytometric markers (left atrial area, baseline NIHSS and NTproBNP), and five predictors when including all predictors (same three + monocyte/lymphocyte ratio and lymphocyte %). Validation AUROC showed superior discrimination ability when including cytometric biomarkers (AUROC: 0.84, 95%CI 0.81-0.87; F1: 0.83, 95%CI 0.80-0.85) that when excluded (AUROC 0.80, 95%CI 0.77-0.83; F1: 0.73, 95%CI 0.71-0.76).
Conclusions. Thrombus biomarkers by flow cytometry may add predictive value in multi-variable models for CE etiology prediction in cryptogenic stroke. Early prediction of CE etiology in cryptogenic stroke may guide diagnostic studies after acute stroke.
  • Canals, Pere  ( VHIR , Barcelona , Spain )
  • Juega, Jesus  ( HOSPITAL VALL HEBRON - UNITAT ICTUS , Barcelona , Spain )
  • Ribo, Marc  ( Hospital Vall Hebron , Barcelona , Spain )
  • Melgarejo, Laura  ( VALL HEBRON HOSPITAL , Barcelona , Spain )
  • Palacio, Carlos  ( Universitat de Barcelona , Barcelona , Spain )
  • Rodriguez, Maite  ( Hospital Universitari Vall d'Hebron , Barcelona , Spain )
  • Rodriguez-luna, David  ( Neurovascular Unit. H Vall Hebron , Barcelona , Spain )
  • Meza Burgos, Claudia Patricia  ( Vall d'Hebron University Hospital , Barcelona , Spain )
  • Requena, Manuel  ( Vall dHebron Hospital , Barcelona , Spain )
  • Garcia-tornel Garcia-camba, Alvaro  ( Hospital Universitari Vall dHebron , Barcelona , Spain )
  • Rodriguez-villatoro, Noelia  ( STROKE UNIT VALL DHEBRON UNIVERSI , Barcelona , Spain )
  • Rubiera, Marta  ( HOSPITAL Vall de Hebron , Barcelona , Spain )
  • Boned, Sandra  ( VALL HEBRON HOSPITAL , Barcelona , Spain )
  • Muchada, Marian  ( Vall Hebron University Hospital , Barcelona , Spain )
  • Olive-gadea, Marta  ( Hospital Universitari Vall d'Hebron , Barcelona , Spain )
  • Lozano, Prudencio  ( VALL HEBRON HOSPITAL , Barcelona , Spain )
  • Coscojuela, Pilar  ( Vall Hebron University Hospital , Barcelona , Spain )
  • Li, Jiahui  ( Vall d'Hebron University Hospital , Barcelona , Spain )
  • Sanjuan, Estela  ( VALL HEBRON HOSPITAL , Barcelona , Spain )
  • Dorado, Laura  ( HOSPITAL GERMANS TRIAS I PUJOL , Badalona , Spain )
  • Hernandez-perez, Maria  ( HOSPITAL GERMANS TRIAS I PUJOL , Badalona , Spain )
  • Quesada, Helena  ( HOSPITAL UNIVERSITARI DE BELLVITGE , Barcelona , Spain )
  • Cardona, Pedro  ( BELLVITGE HOSPITAL , Barcelona , Spain )
  • De La Torre, Carolina  ( Hospital Universitari Vall d'Hebron , Barcelona , Spain )
  • Gallur, Laura  ( Vall d'Hebron Hospital , Barcelona , Spain )
  • Alvarez Sabin, Jose  ( Hospital Vall d'Hebron , Barcelona , Spain )
  • Molina, Carlos  ( HOSPITAL VALL D HEBRON , Barcelona , Spain )
  • Pagola, Jorge  ( Vall d Hebron Hospital , Barcelona , Spain )
  • Author Disclosures:
    Pere Canals: DO NOT have relevant financial relationships | Alvaro Garcia-Tornel Garcia-Camba: DO NOT have relevant financial relationships | Noelia Rodriguez-Villatoro: No Answer | Marta Rubiera: DO have relevant financial relationships ; Consultant:Bayer:Active (exists now) | sandra boned: DO NOT have relevant financial relationships | Marian Muchada: DO NOT have relevant financial relationships | Marta Olive-Gadea: DO NOT have relevant financial relationships | Prudencio Lozano: DO NOT have relevant financial relationships | Pilar Coscojuela: No Answer | Jiahui Li: No Answer | Estela Sanjuan: DO NOT have relevant financial relationships | Jesus Juega: DO NOT have relevant financial relationships | Laura Dorado: DO NOT have relevant financial relationships | Maria Hernandez-Perez: DO have relevant financial relationships ; Consultant:Aptatargets:Active (exists now) | Helena Quesada: No Answer | Pedro Cardona: DO NOT have relevant financial relationships | Carolina De la Torre: No Answer | Laura Gallur: DO NOT have relevant financial relationships | Jose Alvarez Sabin: DO NOT have relevant financial relationships | Carlos Molina: DO NOT have relevant financial relationships | Jorge Pagola: DO NOT have relevant financial relationships | Marc Ribo: DO NOT have relevant financial relationships | Laura Melgarejo: No Answer | Carlos Palacio: No Answer | Maite Rodriguez: No Answer | David Rodriguez-Luna: No Answer | Claudia Patricia Meza Burgos: DO NOT have relevant financial relationships | Manuel Requena: DO NOT have relevant financial relationships
Meeting Info:
Session Info:

In-Hospital Care; from the ICU to Discharge & Advanced Practice Providers and Therapists Moderated Poster Tour

Wednesday, 02/05/2025 , 06:00PM - 07:00PM

Moderated Poster Abstract Session

More abstracts on this topic:
Development of scoring system for predicting recurrent ischemic stroke in patients with atrial fibrillation

Kim Do Yeon, Yum Kyu Sun, Shin Dong Ick, Kim Dae Hyun, Cha Jae-kwan, Kim Dong-eog, Park Jong-moo, Kang Kyusik, Kim Jae, Lee Soo Joo, Lee Minwoo, Han Seokgil, Oh Mi-sun, Yu Kyung-ho, Lee Byung-chul, Park Hong-kyun, Cho Yong-jin, Hong Keun-sik, Kang Chul-hoo, Kim Joonggoo, Choi Jay Chol, Park Hyungjong, Guk Hyung Seok, Hong Jeong-ho, Sohn Sung-il, Park Tai, Lee Jeongyoon, Lee Kyungbok, Kim Wook-joo, Kwon Jee-hyun, Kwon Doo Hyuk, Lee Jun, Ryu Wi-sun, Jeong Han-gil, Lee Juneyoung, Bae Hee-joon, Lee Keon-joo, Kim Beom Joon, Han Moon-ku, Choi Kangho, Kim Joon-tae

A Delayed Diagnosis of Anti-HMG-CoA Reductase Immune-Mediated Necrotizing Myopathy

Jadhav Reshma, Shekar Arush, Westenhaver Zack, Skandhan Amith

More abstracts from these authors:
Graph neural networks for impossible transfemoral access pre-procedural prediction in stroke mechanical thrombectomy

Canals Pere, Garcia-tornel Garcia-camba Alvaro, Ribo Marc

Late Blood Pressure Elevation After Initially Normal Levels Predicts Early Neurological Deterioration In Acute Intracerebral Hemorrhage

Simonetti Renato, Molina Carlos, Rodriguez-luna David, Pancorbo Olalla, Rodriguez-villatoro Noelia, Rizzo Federica, Muchada Marian, Rodrigo-gisbert Marc, Olive-gadea Marta, Mayol Jordi, Garcia-tornel Garcia-camba Alvaro

You have to be authorized to contact abstract author. Please, Login
Not Available

Readers' Comments

We encourage you to enter the discussion by posting your comments and questions below.

Presenters will be notified of your post so that they can respond as appropriate.

This discussion platform is provided to foster engagement, and simulate conversation and knowledge sharing.

 

You have to be authorized to post a comment. Please, Login or Signup.


   Rate this abstract  (Maximum characters: 500)