Logo

American Heart Association

  130
  0


Final ID: 63

Medicare Advantage Appears to Promote Stroke Prevention and Functional Independence Measure Gains with Lower Utilization than Fee-for-Service Medicare

Abstract Body: Introduction: Stroke prevalence is highest in adults ages >65 years, the majority of whom are Medicare beneficiaries. Fee-for-Service (FFS) Medicare incentivizes utilization by paying for each service. Medicare Advantage (MA) uses capitated payments to reduce overutilization. It is unknown if MA beneficiaries with stroke receive more stroke prevention care as a strategy to lower utilization. We examine this question by reviewing studies comparing clinical measures, utilization, and outcomes in FFS and MA.

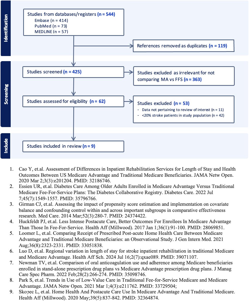
Methods: We performed an empirical integrative narrative review of the Pubmed, Embase, and OVID databases according to PRISMA guidelines to compare stroke care between MA and FFS. Cholesterol control, blood sugar management, tobacco cessation, and blood pressure management were chosen using the American Heart Association’s Life’s Crucial 9 for their Medicare coding availability. Anticoagulation for atrial fibrillation (AF), acute and post-acute care utilization, and outcomes were added. We included studies if >20% of the patient population had strokes and excluded studies prior to the Medicare Modernization Act (2003) to accurately assess MA.

Results: 9/544 studies met inclusion criteria (Figure 2). One found higher LDL levels (81.5 mg/dL vs 78.9 mg/dL) and statin prescription rates (Standardized Difference 32%) in MA than FFS (2). MA beneficiaries had slightly higher HgbA1C in one study. Two showed mixed rates of antihyperglycemic medications in MA. Tobacco cessation counseling was more likely in MA (aOR 1.05, 95% CI 1.02-1.09) (2). MA beneficiaries had slightly higher systolic blood pressure but no difference in blood pressure control. Oral anticoagulation use for AF was higher in MA than FFS (75.52% vs 69.96%), as was adherence (41.14% vs 33.70%) (7). Index hospitalization and post-acute care utilization, including hospital readmission, appeared lower in MA. We calculated higher Functional Independence Measure gains in MA (Figure 3). One study showed non-significant lower mortality in MA (4). Another showed lower mean mortality and 0.5% higher 90-day mortality in MA (9).

Conclusion: Published studies suggested that MA emphasizes preventative care for stroke patients, particularly for hyperlipidemia, smoking, and AF, without showing favorable selection in MA. Acute and post-acute care utilization was lower in MA. Improvements in functional outcomes were greater. Mortality data was mixed. Future cohort studies are needed to better understand these dynamics.
  • Bian, Emily  ( University of Virginia School of Medicine , Charlottesville , Virginia , United States )
  • Menon, Priyanka  ( Medical College of Georgia , Augusta , Georgia , United States )
  • Worrall, Bradford  ( University of Virginia , Charlottesville , Virginia , United States )
  • Crowe, Jonathan  ( University of Virginia , Charlottesville , Virginia , United States )
  • Author Disclosures:
    Emily Bian: DO NOT have relevant financial relationships | Priyanka Menon: DO NOT have relevant financial relationships | Bradford Worrall: DO NOT have relevant financial relationships | Jonathan Crowe: DO have relevant financial relationships ; Consultant:Emergency Call for Heart Attack and Stroke, LLC:Active (exists now)
Meeting Info:
Session Info:

Health Services, Quality Improvement, and Patient-Centered Outcomes Oral Abstracts II

Wednesday, 02/05/2025 , 04:45PM - 05:45PM

Oral Abstract Session

More abstracts on this topic:
CCL11 is a pivotal player in the brain-lung axis that mediates stroke outcomes in aged mice with intracerebral hemorrhage.

Ozaki Dan, Kitamura Yuki, Bautista-garrido Jesus, Sun Guanghua, Kim Gab Seok, Aronowski Jaroslaw, Jung Joo Eun

A Polygenic Score to Identify Risk of Incident Stroke and Benefit from Primary Prevention Statin Therapy

Mcclintick Daniel, Kamanu Frederick, Melloni Giorgio, Sabatine Marc, Ruff Christian, Ridker Paul, Chasman Daniel, Marston Nicholas

More abstracts from these authors:
Enhancing Ischemic Stroke Risk Prediction: Functional Genomic Insights in Black and White Participants from the Reasons for Geographic and Racial Differences in Stroke (REGARDS) Study

Armstrong Nicole, Limdi Nita, Keene Keith, Worrall Bradford, Tiwari Hemant, Irvin Ryan, Srinivasasainagendra Vinodh, Patki Amit, Aldridge Chad, Jones Alana, Broeckel Ulrich, Lange Ethan, Lange Leslie, Arora Pankaj

You have to be authorized to contact abstract author. Please, Login
Not Available

Readers' Comments

We encourage you to enter the discussion by posting your comments and questions below.

Presenters will be notified of your post so that they can respond as appropriate.

This discussion platform is provided to foster engagement, and simulate conversation and knowledge sharing.

 

You have to be authorized to post a comment. Please, Login or Signup.


   Rate this abstract  (Maximum characters: 500)