Logo

American Heart Association

  178
  0


Final ID: P-382

The protective role of elevated oral microbial levels in adult hypertension: NHANES 2009-2012

Abstract Body: Background and objectiveAccumulating evidence has linked periodontal disease with hypertension, yet the relationship between the diversity of oral microbiota and blood pressure remains unclear. Our objective was to investigate the association between characteristics of oral microbiome diversity and hypertension in the general population.
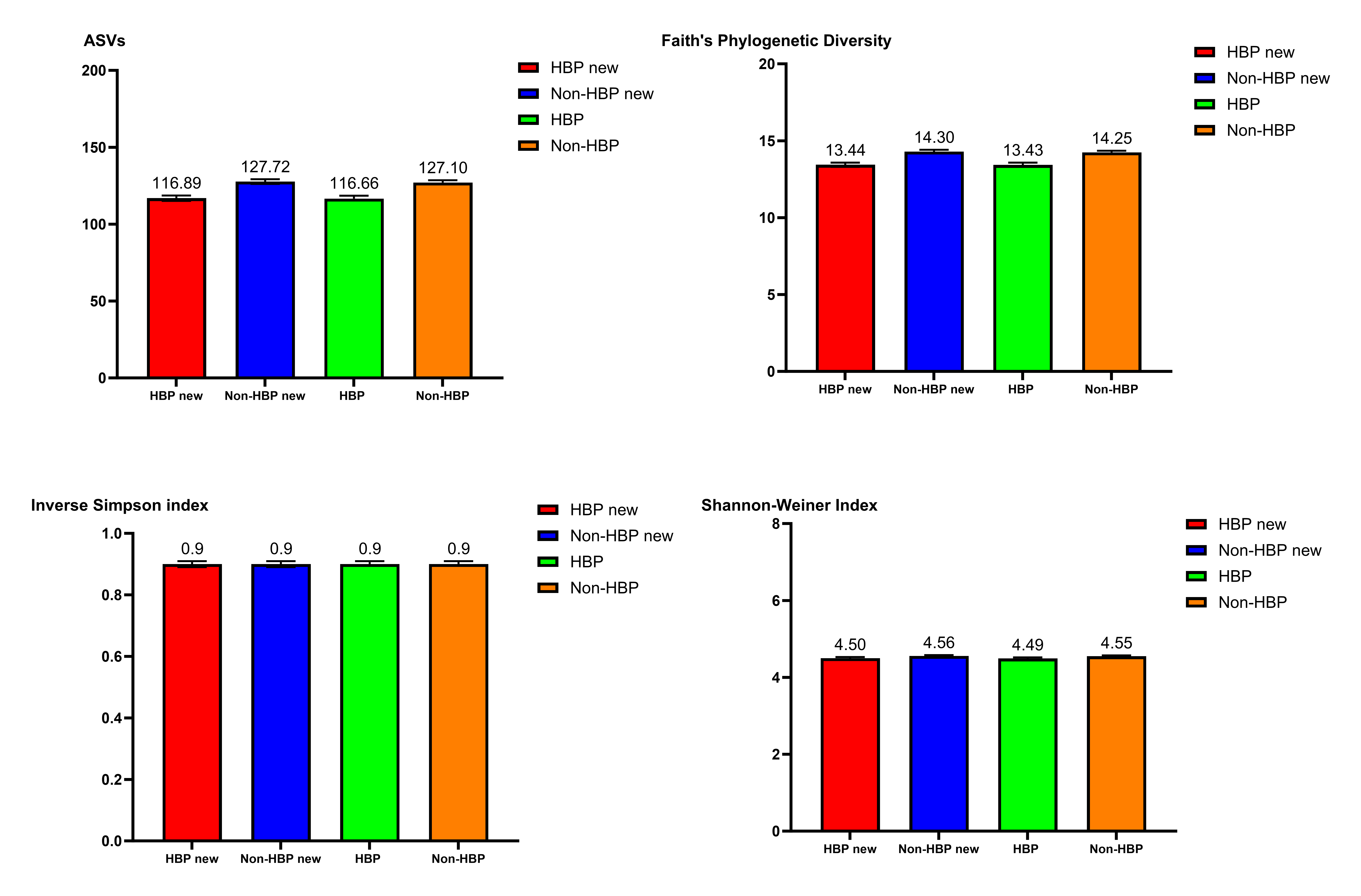
MethodsThe data were extracted from the 2009-2012 National Health and Nutrition Examination Survey (NHANES), where we included participants aged 20 years or older who had indicators of hypertension. Participants with conditions such as pregnancy, periodontal disease, cardiovascular diseases (CVD), chronic obstructive pulmonary disease (COPD), diabetes, and cancer were excluded from the analysis. Oral microbiome α-diversity in adults was analyzed through oral rinse samples, encompassing measures such as observed amplicon sequence variants (ASVs), Faith’s Phylogenetic Diversity, the Shannon-Wiener Index, and the Simpson Index. Differences in oral microbiome α-diversity among various hypertension groups were described using weighted mean values. The association between oral microbiome α-diversity and hypertension was analyzed using multivariable logistic regression models.
ResultsBetween 2009 and 2012, among 3,228 participants (weighted mean [SE] age, 36.54 [0.64] years; 1,408 males [weighted 43.62%]), there were 601 cases of hypertension (increasing to 771 when adopting the new diagnostic criteria for hypertension). Significant differences were observed in the levels of oral microbiota α-diversity among different hypertension groups. Multivariate logistic regression analyses revealed an independent association between levels of oral microbiome α-diversity and the risk of hypertension, after controlling for confounding factors. For each one-standard deviation (SD) increase in ASVs and Faith's Phylogenetic Diversity, the adjusted odds ratios (aORs) were 0.85 (95% confidence interval [CI]: 0.75-0.95) and 0.85 (95% CI: 0.75-0.95), respectively. This association persisted across varying diagnostic criteria for hypertension.
ConclusionsOur findings indicate diverse oral microbiomes among hypertension groups, where greater α-diversity inversely correlates with hypertension risk, independent of diagnostic criteria. This implicates oral microbiota dysbiosis, potentially from environmental factors, as an additional hypertension risk factor, emphasizing the oral microbiome's potential in hypertension development.
  • Wu, Di  ( Jiamusi University , Jiamusi City , China )
  • Bing, Shuang  ( Jiamusi University , Jiamusi City , China )
  • Qiu, Hongbin  ( Jiamusi University , Jiamusi City , China )
  • Zhang, Yiying  ( Jiamusi University , Jiamusi City , China )
  • Wang, Shanjie  ( Harbin Medical University , Harbin , China )
  • Author Disclosures:
    Di Wu: No Answer | Shuang Bing: No Answer | Hongbin Qiu: No Answer | Yiying Zhang: DO NOT have relevant financial relationships | Shanjie Wang: DO NOT have relevant financial relationships
Meeting Info:
Session Info:

Poster Session 2

Friday, 09/06/2024 , 09:00AM - 10:30AM

Poster Session

More abstracts on this topic:
Rationale and Design of A Pragmatic Clinical Trial of the WE BEAT Well-Being Education Program in Adolescent Congenital Heart Disease: A Pediatric Heart Network (PHN) Study

Cousino Melissa, De Ferranti Sarah, Fung Amy, Graham Eric, Kelly Sarah, Kochilas Lazaros, Lorenzi Quigley Lauren, May Lindsay, Miller Julie, Ybarra Marion, Russell Mark, Schumacher Kurt, Richmond Marc, Miyamoto Shelley, Teng Jessica, Zak Victor, Batazzi Adriana, Bezold Louis, Bucholz Emily, Burns Kristin, Crister Paul

A closed-loop system based on piezoelectric thin-film sensors and photothermal nanomaterials enables precise renal denervation for the treatment of hypertension

Liu Chengzhe, Zhou Liping, Yu Lilei

More abstracts from these authors:
Changes in Sarcopenia Status and Risk of Incident Cardiovascular Disease

Bing Shuang, Chen Zhanchao, Wu Di, Zhang Yiying, Wang Shanjie

You have to be authorized to contact abstract author. Please, Login
Not Available