Logo

American Heart Association

  226
  0


Final ID: 07

Ambulatory Blood Pressure Variability, Progression of Kidney Disease, and Cardiovascular Outcomes in the Chronic Renal Insufficiency Cohort

Abstract Body: Background
Visit-to-visit blood pressure variability is strongly associated with adverse kidney and cardiovascular outcomes in a wide range of patient populations. Patients with chronic kidney disease (CKD) have abnormal circadian blood pressure patterns which may affect 24-hour ambulatory blood pressure variability (ABPV).
Methods
We used ambulatory blood pressure monitoring (ABPM) data from participants in the Chronic Renal Insufficiency Cohort (CRIC). Blood pressures were obtained every 30 minutes during day and night. We assessed 24-hour, daytime and nighttime systolic ABPV using average real time variability (ARV); the sum of the absolute differences between consecutive BP readings divided by the total number of readings minus one. Cox proportional hazards models were used to evaluate the association of ARV with the development of 50% reduction in eGFR or end stage kidney disease or adverse cardiovascular (CV) events (myocardial infarction, stroke, peripheral artery disease, new atrial fibrillation, and heart failure).
Results
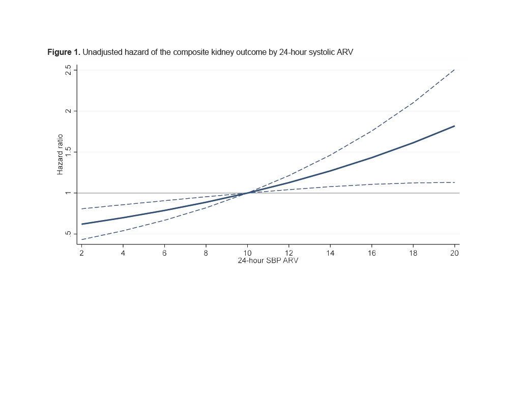
There were 1502 CRIC participants included in the analysis of whom 44% were female and mean age was 63 years (standard deviation 10). Anthropometric and clinical factors associated with higher tertile of ARV included older age, higher BMI, higher urine protein to creatinine ratio, lower estimated glomerular filtration rate, diabetes, hypertension, dyslipidemia and atherosclerotic heart disease. In unadjusted Cox proportional hazard models, 24-hour systolic ARV was associated with both adverse kidney (Hazard Ratio [HR] 1.16 95% confidence interval [CI] 1.06-1.27) and CV events (HR 1.35 95%CI 1.22-1.50). However, in adjusted models that included clinical and sociodemographic factors, there were no statistically significant associations of 24-hour systolic ARV with either adverse kidney (HR 1.02, 95%CI 0.91-1.14) or CV events (HR 0.93, 95%CI 0.84 -1.04). Similarly, daytime and nighttime ARV were not statistically significantly associated with kidney and CV events in adjusted analyses.
Conclusions
In a large cohort of patients with CKD, ABPV was not associated with adverse kidney and CV outcomes in adjusted models. Thus, in the context of the many cardiometabolic risk factors present in patients with CKD, ABPV is not an independent mechanism of adverse clinical outcomes in this high-risk population.
  • Byfield, Rushelle  ( Columbia University , New York , New York , United States )
  • Cohen, Debbie  ( UNIV OF PENNSYLVANIA , Philadelphia , Pennsylvania , United States )
  • Townsend, Raymond  ( PENNSYLVANIA SCHOOL MED UNIV , Philadelphia , Pennsylvania , United States )
  • Zhang, Rachel  ( UNIV OF PENNSYLVANIA , Philadelphia , Pennsylvania , United States )
  • Hossain, Alavi  ( UNIV OF PENNSYLVANIA , Philadelphia , Pennsylvania , United States )
  • Shimbo, Daichi  ( COLUMBIA UNIVERSITY , New York , New York , United States )
  • Cohen, Jordana  ( University of Pennsylvania , Philadelphia , Pennsylvania , United States )
  • Author Disclosures:
    Rushelle Byfield: DO NOT have relevant financial relationships | Debbie Cohen: DO have relevant financial relationships ; Research Funding (PI or named investigator):medtronic:Active (exists now) ; Research Funding (PI or named investigator):Mineralys:Active (exists now) ; Advisor:Kardigan:Active (exists now) ; Advisor:novartis:Active (exists now) ; Individual Stocks/Stock Options:recor:Active (exists now) | Raymond Townsend: DO have relevant financial relationships ; Consultant:Medtronic:Active (exists now) ; Research Funding (PI or named investigator):NIH:Active (exists now) ; Royalties/Patent Beneficiary:UpToDate:Active (exists now) ; Consultant:Orchestra Backbeat:Active (exists now) ; Consultant:Bard:Active (exists now) ; Consultant:Regeneron:Active (exists now) ; Consultant:AstraZeneca:Active (exists now) | Rachel Zhang: No Answer | Alavi Hossain: No Answer | Daichi Shimbo: DO NOT have relevant financial relationships | Jordana Cohen: DO NOT have relevant financial relationships
Meeting Info:
Session Info:

06.A Please Select your Method of Payment: Kidney Damage in Hypertension

Thursday, 09/05/2024 , 03:30PM - 05:30PM

Oral Abstract Session

More abstracts on this topic:
A First-In-Human Phase 1 Study of the Safety, Tolerability, and Pharmacodynamics of REGN7544, a Novel Natriuretic Peptide Receptor 1–Blocking Monoclonal Antibody

Ahmed Mohsin, Morton Lori, Olenchock Benjamin, Herman Gary, Wynne Chris, Marin Ethan, Tuckwell Katie, Xu Meng, Cheng Xiping, Redington Emily, Koyani Bharatkumar, Mateo Katrina, Thakur Mazhar, Devalaraja-narashimha Kishor

A Cardiac Ryanodine Receptor C-terminal Truncation Causes Calcium Release Deficiency Syndrome, but not Catecholaminergic Polymorphic Ventricular Tachycardia

Tian Shanshan, Ni Mingke, Wang Hui, Zhu Hai-lei, Wang Ruiwu, Estillore John Paul, Chen Wayne

More abstracts from these authors:
Relationship Between Medication Class and Ambulatory Blood Pressure Profile in the Chronic Renal Insufficiency Cohort

Pasricha Sachin Vidur, Cohen Debbie, Shulman Rachel, Byfield Rushelle, Cohen Jordana

Blood Pressure Phenotypes in an Interventional Study of Participants with Heart Failure with Preserved Ejection Fraction

Hossain Alavi, Greenip Audrey, Afable Jessica Loren, Maynard Hannah, Chirinos Julio, Townsend Raymond, Cohen Jordana

You have to be authorized to contact abstract author. Please, Login
Not Available