Logo

American Heart Association

  1481
  0


Final ID: 48

Cardiovascular Health Modifies Genetic Risk for the Hypertensive Disorders of Pregnancy

Abstract Body: Introduction:
Hypertensive disorders of pregnancy (HDP) are a leading cause of maternal/perinatal mortality. In recent work, a genetic risk score improved prediction of HDPs beyond standard clinical risk factors, but the extent to which cardiovascular health (CVH) modifies HDP genetic risk is unknown.
Hypothesis:
First-trimester CVH can offset genetic risk for HDPs.
Methods:
We examined genotyped participants of the Nulliparous Pregnancy Outcomes Study: Monitoring Mothers-To-Be (nuMoM2b). Individual HDP genetic risk was calculated using a validated polygenic score. A composite first-trimester CVH score was adapted from the Life’s Essential 8 model; cholesterol was incorporated in a subset (47%) with available first-trimester values. Genetic risk and CVH were each grouped as low (bottom quintile), intermediate (Q2-4), and high (top quintile). Logistic regression tested the joint association of CVH and genetic risk with HDP, adjusted for age and sociodemographic covariates.
Results:
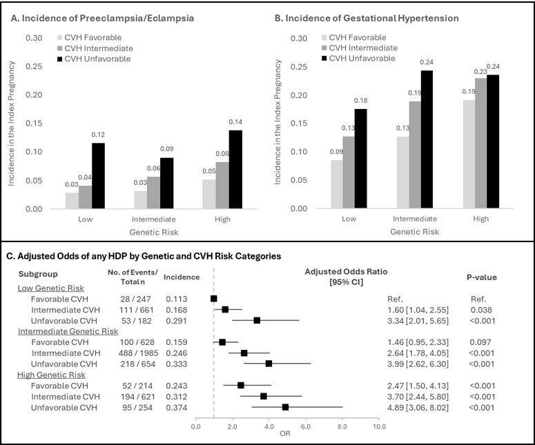
Among 5,446 participants (mean age 27.5 years), 1,339 (24.6%) developed HDP (344 [6.3%] preeclampsia, 995 [18.3%] gestational hypertension [GH]). Higher genetic risk and lower CVH were additively associated with risk of HDP (Figure 1A-B) with no significant interaction (P[interaction] >0.05). HDP incidence ranged from 11% (low genetic risk, favorable CVH) to 37% (high genetic risk, unfavorable CVH) (Figure 1C). Favorable vs. unfavorable CVH was associated with 35-62% lower risk of HDPs across genetic risk groups. Findings were broadly consistent when examining preeclampsia and GH separately and when incorporating cholesterol (i.e., using a complete Life’s Essential 8 score). Among CVH components, nonideal BMI, blood pressure, and diet conferred highest population attributable HDP risk (25%, 14%, and 12%, respectively).
Conclusion:
Higher genetic risk and lower first trimester CVH were additively associated with risk of developing HDP. Favorable CVH in early pregnancy may partially offset a higher genetic risk for HDP.
  • Mathew, Vineetha  ( Broad Institute of MIT and Harvard , Boston , Massachusetts , United States )
  • Patel, Aniruddh  ( Massachusetts General Hospital , Brookline , Massachusetts , United States )
  • Cho, So Mi  ( Broad Institute of MIT and Harvard , Boston , Massachusetts , United States )
  • Jowell, Amanda  ( Harvard Medical School , Brookline , Massachusetts , United States )
  • Pabon, Maria  ( Brigham and Women's Hospital , Boston , Massachusetts , United States )
  • Silver, Robert  ( University of Utah , Salt Lake City , Utah , United States )
  • Levine, Lisa  ( University of Pennsylvania , Philadelphia , Pennsylvania , United States )
  • Grobman, William  ( The Ohio State University Medical Center , Tulsa , Oklahoma , United States )
  • Catov, Janet  ( UNIVERSITY OF PITTSBURGH , Pittsburgh , Pennsylvania , United States )
  • Haas, David  ( Indiana University School of Medicine , Indianapolis , Indiana , United States )
  • Honigberg, Michael  ( Massachusetts General Hospital , Brookline , Massachusetts , United States )
  • Khan, Raiyan  ( Columbia University , New York , New York , United States )
  • Mcneil, Rebecca  ( RTI International , Durham , North Carolina , United States )
  • Yan, Qi  ( Columbia University , New York , New York , United States )
  • Pe Er, Itsik  ( Columbia University , New York , New York , United States )
  • Truong, Buu  ( Broad Institute of MIT and Harvard , Boston , Massachusetts , United States )
  • Natarajan, Pradeep  ( Massachusetts General Hospital , Brookline , Massachusetts , United States )
  • Yee, Lynn  ( Northwestern , Chicago , Illinois , United States )
  • Sharma, Garima  ( Inova Fairfax Medical Campus , Falls Church , Virginia , United States )
  • Author Disclosures:
    Vineetha Mathew: DO NOT have relevant financial relationships | Aniruddh Patel: No Answer | So Mi Cho: DO NOT have relevant financial relationships | Amanda Jowell: DO NOT have relevant financial relationships | Maria Pabon: DO NOT have relevant financial relationships | Robert Silver: No Answer | Lisa Levine: DO NOT have relevant financial relationships | William Grobman: No Answer | Janet Catov: DO NOT have relevant financial relationships | David Haas: No Answer | Michael Honigberg: DO have relevant financial relationships ; Research Funding (PI or named investigator):Genentech:Active (exists now) ; Advisor:Miga Health:Past (completed) ; Consultant:Comanche Biopharma:Past (completed) ; Research Funding (PI or named investigator):Novartis:Active (exists now) | Raiyan Khan: No Answer | Rebecca McNeil: No Answer | Qi Yan: No Answer | Itsik Pe er: No Answer | Buu Truong: No Answer | Pradeep Natarajan: DO have relevant financial relationships ; Researcher:Allelica:Past (completed) ; Ownership Interest:TenSixteen Bio:Active (exists now) ; Ownership Interest:Candela:Active (exists now) ; Consultant:BMS:Past (completed) ; Ownership Interest:MyOme:Active (exists now) ; Ownership Interest:Parameter Health:Active (exists now) ; Consultant:Foresite Capital:Active (exists now) ; Consultant:Foresite Labs:Active (exists now) ; Consultant:Tourmaline Bio:Active (exists now) ; Consultant:TenSixteen Bio:Past (completed) ; Consultant:Eli Lilly & Co:Past (completed) ; Consultant:Novo Nordisk:Past (completed) ; Consultant:Genentech:Past (completed) ; Consultant:Allelica:Past (completed) ; Researcher:Genentech:Active (exists now) | Lynn Yee: No Answer | Garima Sharma: No Answer
Meeting Info:
Session Info:

18.A TAC Oral Abstract Award Competition

Saturday, 09/07/2024 , 01:30PM - 03:00PM

Oral Abstract TAC Award

More abstracts on this topic:
Association between Polysocial Risk Score and Cardiovascular Health among Women of Reproductive Age in the American Heart Association’s Research Goes Red

Metlock Faith, Kwapong Yaa, Vaidya Dhananjay, Evans Crystal, Ouyang Pamela, Commodore-mensah Yvonne, Sharma Garima

Cardiovascular Safety of Fertility Therapy: A Systematic Review and Meta-Analysis

Pivato Carlo Andrea, Bragato Renato, Francone Marco, Zuccolo Luisa, Ieva Francesca, Di Angelantonio Emanuele, Stefanini Giulio, Inversetti Annalisa, Condorelli Gianluigi, Chieffo Alaide, Levi Setti Paolo, Latini Alessia Chiara, Busnelli Andrea, Messa Martina, Cristodoro Martina

More abstracts from these authors:
Racial Disparities in Low-Density Lipoprotein Cholesterol Control and Lipoprotein(a) Testing Among Young Adult Women with Severe Hyperlipidemia

Jowell Amanda, Cho So Mi, Faaborg-andersen Christian, Yu Zhi, Natarajan Pradeep, Honigberg Michael, Harrington Colleen

The Duration of Expectant Management During Hypertensive Disorders of Pregnancy and Blood Pressure 2-7 Years After Delivery

Shree Raj, Bairey Merz C Noel, Grobman William, Catov Janet, Pike Mindy, Simhan Hyagriv, Yee Lynn, Levine Lisa, Silver Robert, Hoffman Matthew, Greenland Philip, Saade George

You have to be authorized to contact abstract author. Please, Login
Not Available