Logo

American Heart Association

  23
  0


Final ID: TH866

Associations of Plasma Very Long-Chain Saturated Fatty Acids with Cardiovascular Disease Risk are Influenced by Lipid Interactions

Abstract Body: Introduction: Very long-chain saturated fatty acids (VLCSFA: C20:0, C22:0, C24:0) may influence cardiometabolic health differently from other, often detrimental, saturated fatty acids (SFA). Evidence remains inconclusive, partly because VLCSFA are metabolically derived from SFA, making it difficult to disentangle their individual effects due to potential confounding. Prior studies rarely accounted for correlations with other lipids or do not consider VLCSFA-specific lipid classes.
Hypothesis and Objectives: VLCSFA have distinct cardiovascular health effects compared to other SFA with which they are correlated, and this might mask the associations of VLCSFA with disease risk. We investigated prospective associations of circulating VLCSFA across multiple plasma lipid classes with the incidence of cardiovascular disease (CVD), accounting for confounding by correlated lipids.
Methods: We constructed a nested case-cohort study within the European Prospective Investigation into Cancer and Nutrition (EPIC)-Potsdam cohort with 1,704 participants (547 cases of CVD). Plasma concentrations of VLCSFA were measured in 12 lipid classes. A data-driven network including VLCSFA, precursors, and downstream metabolites was used to identify correlations and adjust for them in multivariable-adjusted Cox regression models between individual lipids and disease risk.
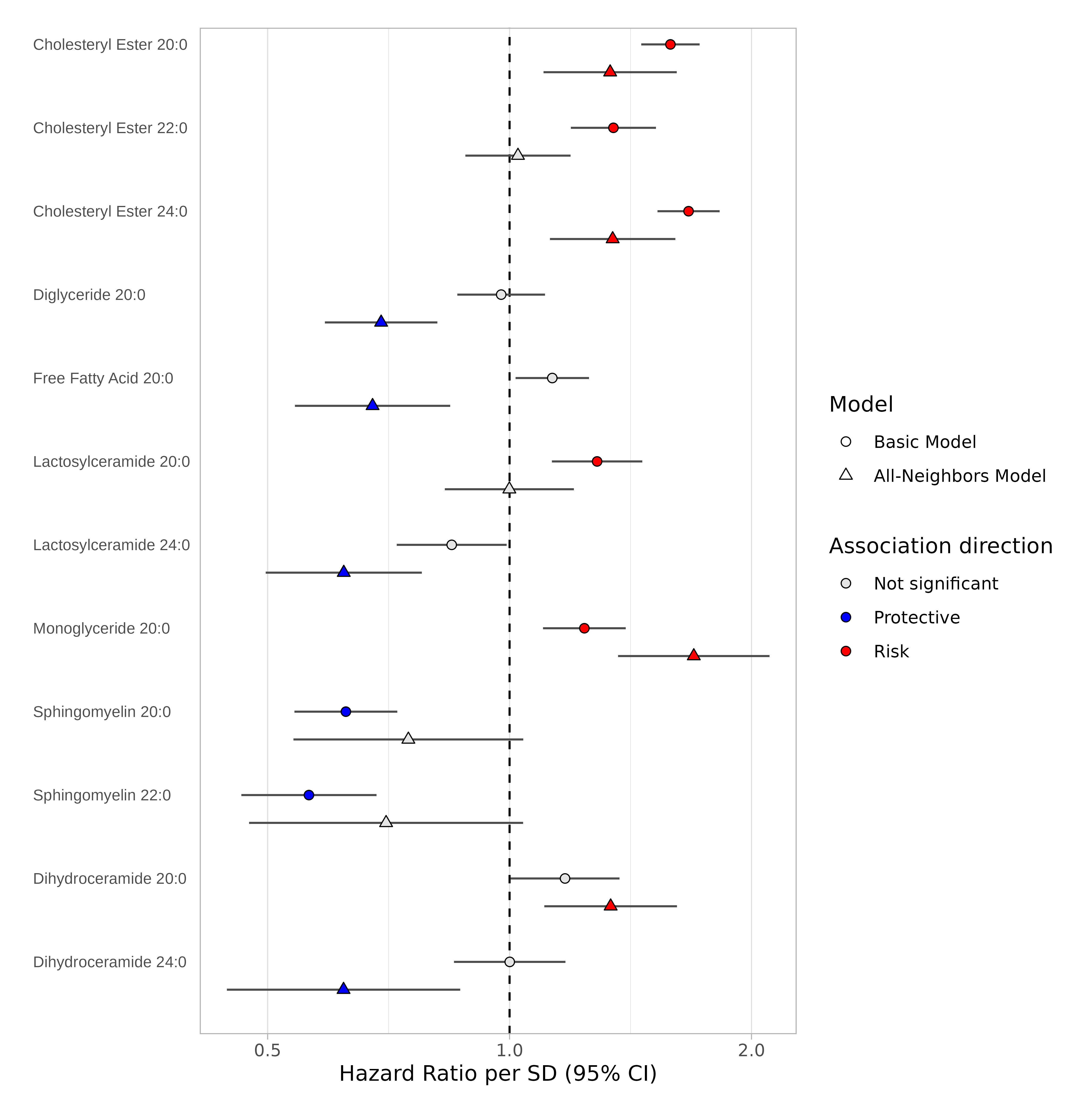
Results: C20:0 was distributed across more lipid classes than C22:0 and C24:0. Associations for C20:0 and C24:0 with CVD varied by class; however, these relationships were only observed adjusting for correlated lipids identified in the network. Free fatty acid C20:0 (hazard ratio [HR] per SD: 0.68, 95% CI: 0.50-0.91), diglyceride C20:0 (0.69, 0.57-0.84), dihydroceramide C24:0 (0.62, 0.39-0.98), and lactosylceramide C24:0 (0.62, 0.46-0.83) were inversely associated with CVD only after adjusting for direct lipid neighbors. However, dihydroceramide C20:0 (1.34, 1.05-1.70) showed a positive association. Monoglycerides and cholesteryl esters containing VLCSFA were associated to higher risk of CVD.
Conclusions: VLCSFA show different metabolic roles in CVD and highlight the importance of adjusting for confounding by correlated lipids to isolate their relationships. These findings challenge the traditional view that SFA exert uniform negative effects and suggest class-specific VLCSFA profiles may improve risk prediction of cardiometabolic diseases, guiding more precise prevention strategies.
  • Dominguez-lopez, Ines  ( German Institute of Human Nutrition , Nuthetal , Germany )
  • Eichelmann, Fabian  ( German Institute of Human Nutrition , Nuthetal , Germany )
  • Prada, Marcela  ( German Institute of Human Nutrition , Nuthetal , Germany )
  • Schulze, Matthias  ( German Institute of Human Nutrition , Nuthetal , Germany )
  • Author Disclosures:
Meeting Info:

EPI-Lifestyle Scientific Sessions 2026

2026

Boston, Massachusetts

Session Info:

Poster Session 3

Thursday, 03/19/2026 , 05:00PM - 07:00PM

Poster Session

More abstracts on this topic:
A machine learning approach to classifying ischemic stroke etiology using variables available in the Get-with-the-Guidelines Stroke Registry

Lee Ho-joon, Schwamm Lee, Turner Ashby, De Havenon Adam, Kamel Hooman, Brandt Cynthia, Zhao Hongyu, Krumholz Harlan, Sharma Richa

A Novel Approach to Manage Hypercholesterolemia: The Veterans Affairs Lipid Optimization Reimagined Quality Improvement (VALOR-QI) Program

Djousse Luc, Leesch Tharen, Pena David, Gaziano Michael, Ward Rachel, Wellman Helen, Yel Nedim, Santos Abigail, Delgrande Jen, Fink Abigail, Colson Kristin, Pan Eddie

More abstracts from these authors:
Clinical Obesity: Prevalence, Cardiometabolic Risk, and Response to Lifestyle Intervention

Schiborn Catarina, Hu Frank, Stefan Norbert, Schulze Matthias

Association of better adherence to the Dietary Approaches to Stop Hypertension with all-cause mortality and food groups driving this association: data from a large population-based study from Germany

Stuermer Paula, Leitzmann Michael, Doerr Marcus, Lehnert Kristin, Knueppel Sven, Wawro Nina, Weber Katharina, Lieb Wolfgang, Oevermoehle Cara, Strathmann Eike, Jaber Max, Schlesinger Sabrina, Noethlings Ute, Linseisen Jakob, Schulze Matthias, Pischon Tobias

You have to be authorized to contact abstract author. Please, Login
Not Available