Logo

American Heart Association

  58
  0


Final ID: WE412

Androgenic Profile and Cardiometabolic Health among Post-Menopausal Women: the Buffalo OsteoPerio Study

Abstract Body: Objective: Postmenopausal women have relatively higher testosterone than estradiol. We aim to use traditional and data-driven approaches to explore how such an androgenic hormone milieu of multiple correlated sex steroids may be associated with cardiometabolic health in postmenopausal women.

Methods: We measured serum testosterone, estradiol, sex hormone binding globulin (SHBG), and dehydroepiandrosterone sulfate (DHEA-S) among 599 postmenopausal women from the Buffalo OsteoPerio Study. Using a traditional approach, we created an androgenicity profile index (API) from biomarker z-scores (ztestosterone + zDHES-S − zestradiol − zSHBG). We used linear regression and quantile regression to assess associations of the API and its individual components with the calculated Framingham 10-year coronary heart diseases (CHD) risk score and homeostasis model assessment for insulin resistance (HOMA-IR), adjusting for potential confounding factors. Effect modification by age, exogenous menopausal hormonal use, and body fat was also assessed. To further assess the combined effects of androgenic hormone milieu on predicted CHD risk and HOMA-IR, we used Bayesian Kernel Machine Regression, an emerging data-driven, non-parametric Bayesian framework that estimates nonlinear, interactive mixture effect among multiple correlated biomarkers.

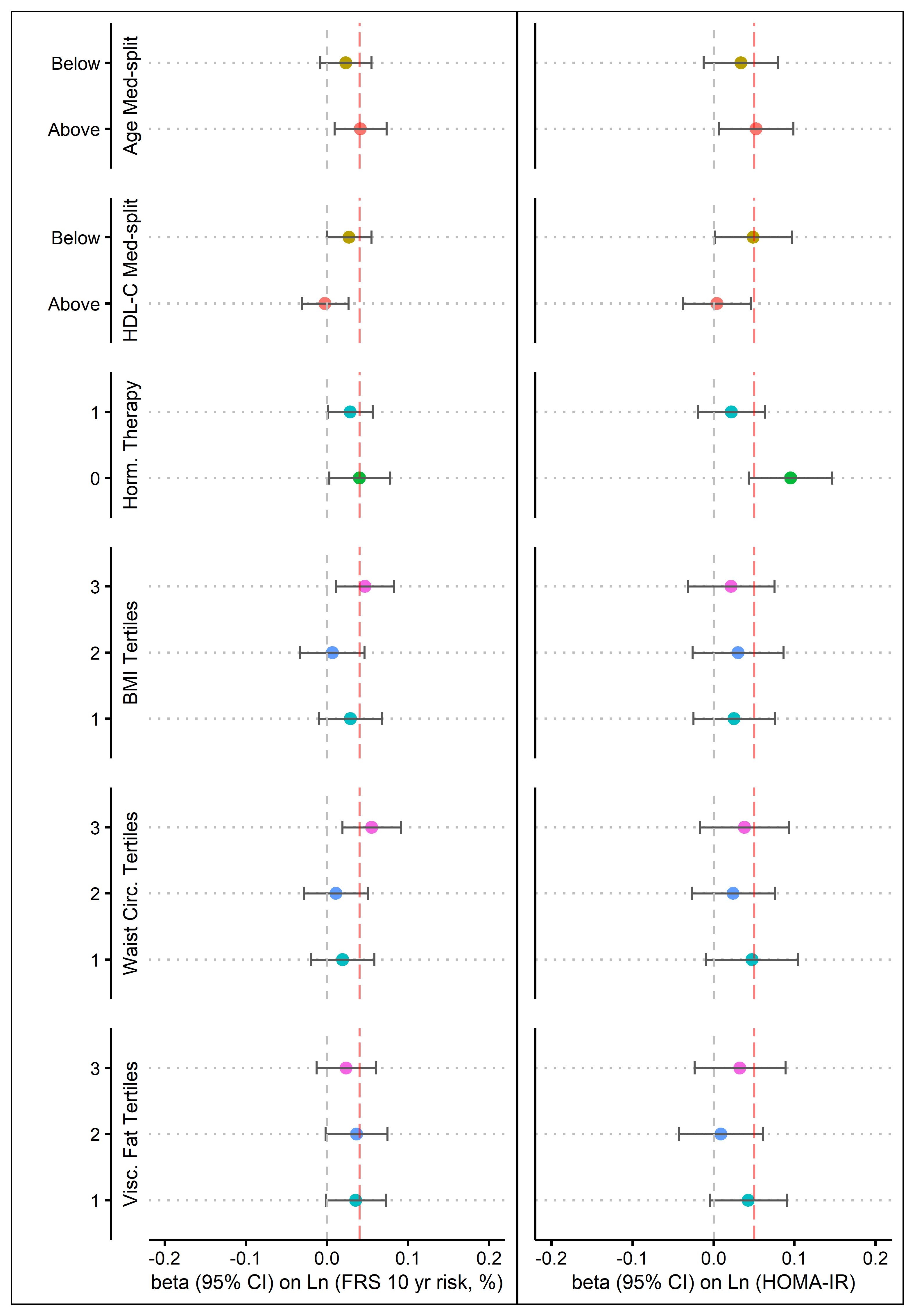
Results: Each unit increase in the API was significantly associated with a 4% (95% CI: 1% to 6%) higher predicted CHD risk and a 5% (95% CI: 1% to 8%) higher HOMA-IR. A similar association was observed for SHBG, but not for other API components. The biomarker mixture were also positively associated with predicted CHD risk and HOMA-IR (Figure 1). The significant associations of API with predicted CHD risk and HOMA-IR were more pronounced among those with lower high density lipoprotein cholesterol, poorer adiposity measures, and those without exogenous hormone therapy (Figure 2). From quantile regression, the association of the API with CHD risk was strongest in those with higher percentiles of CHD risk (i.e., > 90th percentile, Figure 3).

Conclusions: Traditional and data-driven approaches concorded that an androgenic hormone milieu were positively associated with CHD risk and HOMA-IR in postmenopausal women and more pronounced in those at higher risk for cardiometabolic conditions.
  • Niu, Zhongzheng  ( University at Buffalo - SUNY , Buffalo , New York , United States )
  • Wactawski-wende, Jean  ( University at Buffalo - SUNY , Buffalo , New York , United States )
  • Millen, Amy  ( University at Buffalo - SUNY , Buffalo , New York , United States )
  • Lamonte, Michael  ( University at Buffalo - SUNY , Buffalo , New York , United States )
  • Author Disclosures:
Meeting Info:

EPI-Lifestyle Scientific Sessions 2026

2026

Boston, Massachusetts

Session Info:

Poster Session 2

Wednesday, 03/18/2026 , 05:00PM - 07:00PM

Poster Session

More abstracts on this topic:
Activated CD8+HLA-DR+ T Cells as Immune Biomarkers of Metabolic Dysfunction and Cardiovascular Risk in Prediabetes

Alrashed Fatema, Alsaeed Halemah, Alturaiki Wael, Akhter Nadeem, Alosaimi Bandar, Almutairi Saeedah, Mubarak Ayman, Al-mulla Fahd, Ahmad Rasheed


A blood test based on RNA-seq and machine learning for the detection of steatotic liver disease: A Pilot Study on Cardiometabolic Health

Poggio Rosana, Berdiñas Ignacio, La Greca Alejandro, Luzzani Carlos, Miriuka Santiago, Rodriguez-granillo Gaston, De Lillo Florencia, Rubilar Bibiana, Hijazi Razan, Solari Claudia, Rodríguez Varela María Soledad, Mobbs Alan, Manchini Estefania

More abstracts from these authors:
Proton Pump Inhibitor Use and Incident Hypertension in Postmenopausal Women: Results from the Women’s Health Initiative.

Soliman Ahmed, Wactawski-wende Jean, Hovey Kathleen, Millen Amy, Eaton Charles, Gray Shelly, Lamonte Michael

Life’s Essential 8 and Risk of Type 2 Diabetes in Postmenopausal Women

Glenn Andrea, Aladdin Aladdin, Hale Lauren, Jung Su Yon, Spracklen Cassandra, Coday Mace, Vu Thanh-huyen, Hyde Eric, Liu Simin, Manson Joann, Tinker Lesley, Larson Joseph, Hsu Ellie, Beydoun Hind, Lamonte Michael, Martin Lisa, Wactawski-wende Jean, Rohan Thomas, Richey Phyllis

You have to be authorized to contact abstract author. Please, Login
Not Available