Logo

American Heart Association

  36
  0


Final ID: TH970

Physical Activity Levels and Cardiovascular Health Profiles among First-year Medical Students: A Cross-Sectional study

Abstract Body: Background: Cardiovascular disease (CVD) is the leading cause of death globally, and risk factors often manifest during adolescence and young adulthood. Medical students undergo significant lifestyle changes that can elevate their cardiometabolic risk. Therefore, we conducted an evaluation to determine the associations between physical activity (PA), cardiovascular health profile among first-year medical students.
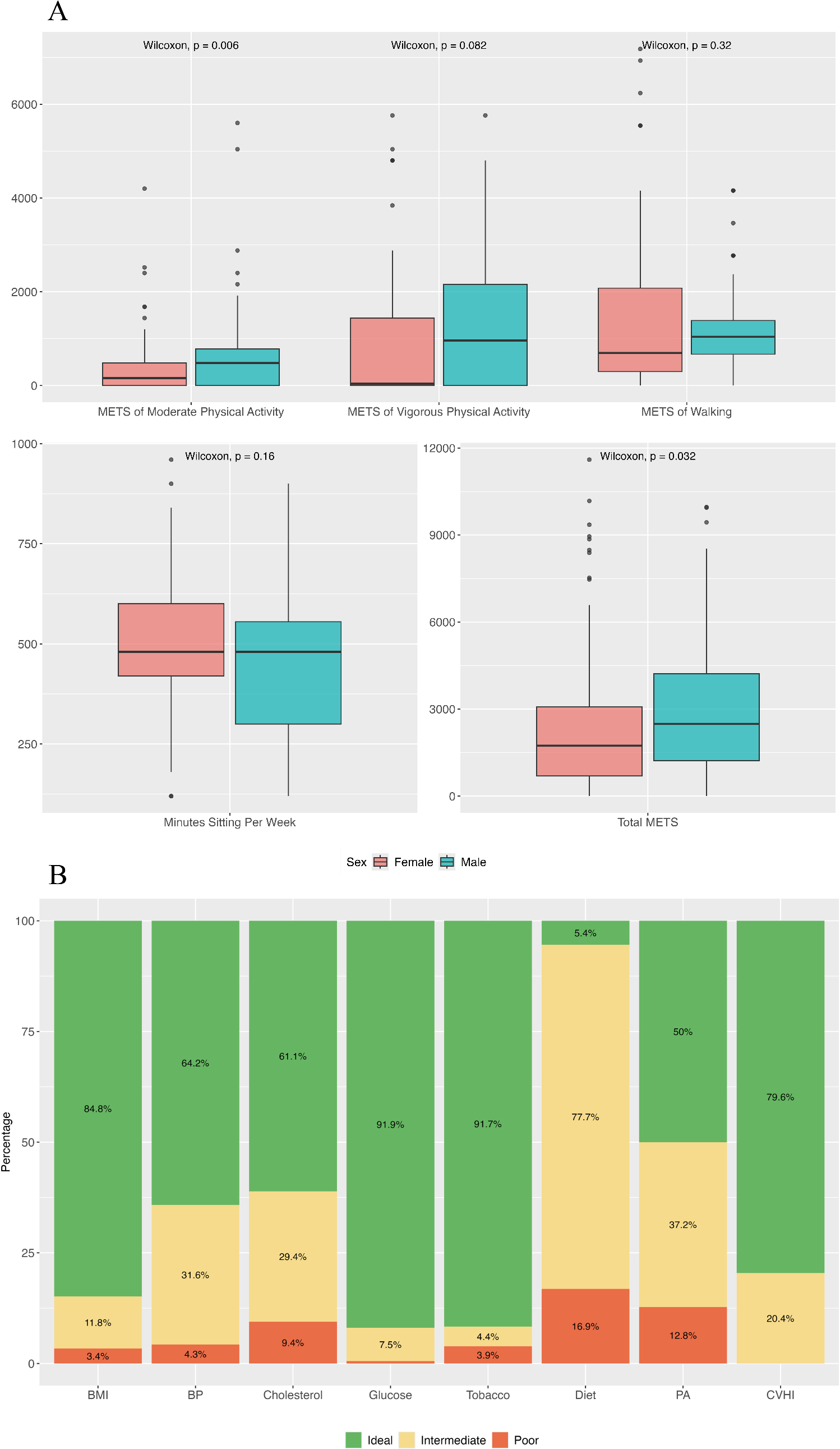
Methods: We performed a cross-sectional study at a Colombian medical school (2019–2020). PA was evaluated with the International Physical Activity Questionnaire, cardiovascular health with the AHA’s Life’s Simple 7 (LS7), and CVD risk through Waist-to-Height Ratio (WHtR). Predictors of intermediate LS7 and high WHtR-based CVD risk were identified using robust Poisson regression models.
Results: We included 188 participants (61.2% female; median age 18 years). Most achieved ideal LS7 scores (79.6%), yet 43.3% of those with complete WHtR data (n=178) were categorized as high CVD risk. Intermediate or poor L7S outcomes were especially frequent for diet (94.6%), PA (50.0%), cholesterol (38.8%), and blood pressure (35.9%). Male students reported greater moderate PA and energy expenditure. In multivariable models, higher WHtR (PR 1.78, 95% CI 1.39–2.27) and resting heart rate (PR 1.36, 95% CI 1.01–1.83) predicted intermediate LS7. Protective factors included vigorous PA (PR 0.56, 95% CI 0.33–0.96), moderate PA (PR 0.78, 95% CI 0.65–0.94), and avoiding sugar-sweetened beverages (PR 0.38, 95% CI 0.19–0.74). Current smoking more than doubled the prevalence of high WHtR-CVD risk (PR 2.18, 95% CI 1.22–3.91), whereas vigorous PA reduced it (PR 0.75, 95% CI 0.56–0.99).
Conclusions: This study shows that cardiovascular vulnerability is already detectable in young medical students. The findings support WHtR as a practical screening marker and emphasize the importance of incorporating structured physical activity and lifestyle education into medical curricula to strengthen long-term cardiovascular health and counseling.
  • Cespedes, Jaime  ( Fundación Cardioinfantil - Instituto de Cardiologia , Bogota , Bogota , Colombia )
  • Sanchez-sanchez, Elizabeth  ( Fundación Cardioinfantil - Instituto de Cardiologia , Bogota , Bogota , Colombia )
  • Tovar, Gustavo  ( Universidad del Rosario , Bogota , Colombia )
  • Ladino-marin, Erika  ( Universidad del Rosario , Bogota , Colombia )
  • Briceno, German  ( Fundación Cardioinfantil - Instituto de Cardiologia , Bogota , Bogota , Colombia )
  • Camacho Carvajal, Tatiana  ( Universidad del Rosario , Bogota , Colombia )
  • Guerrero, Sara  ( Universidad del Rosario , Bogota , Colombia )
  • Tordecilla, Alejandra  ( Universidad del Rosario , Bogota , Colombia )
  • Trompetero Gonzalez, Andrea-catalina  ( Universidad del Rosario , Bogota , Colombia )
  • Ramos-caballero, Diana  ( Universidad del Rosario , Bogota , Colombia )
  • Author Disclosures:
Meeting Info:

EPI-Lifestyle Scientific Sessions 2026

2026

Boston, Massachusetts

Session Info:

Poster Session 3

Thursday, 03/19/2026 , 05:00PM - 07:00PM

Poster Session

More abstracts on this topic:
A Blood(y) Pressure Crisis: Diffuse Alveolar Hemorrhage as a Rare Manifestation of Severely Uncontrolled Hypertension

Nandyal Shreyas, Amdetsion Gedion Yilma, Varma Revati, Kohli Saksham, Hammo Hasan

Virtual Reality Curriculum Improves Pediatric Cardiology Fellow Understanding of Hypoplastic Left Heart Syndrome Palliation: A Multi-Center Study of the Michigan Anatomic Congenital Heart in 3D (MACH-3)

Pritz Benjamin, Dove Matthew, Hahn Eunice, Handler Stephanie, Lasalle Elizabeth, Mille Felina, Parra David, Patel Sonali, Pierick Alyson, Romans Ryan, Salavitabar Arash, Mccormick Amanda, Werho David, Wilson Hunter, Owens Sonal, Yu Sunkyung, Lowery Ray, Axelrod David, Batsis Maria, Brown David, Chau Ariya, Diab Karim

More abstracts from these authors:
Delay Discounting in First-Year Medical Students: Associations with Cardiovascular and Psychoemotional Profiles

Cespedes Jaime, Sanchez-sanchez Elizabeth, Camacho Carvajal Tatiana, Guerrero Sara, Guardo Maya Santiago, Maldonado-cañón Kevin, Lopez-guzman Silvia

Associations Between Cardiovascular Health, Stress, and Emotional Intelligence in First-Year Medical Students; Cross-Sectional Study

Cespedes Jaime, Ladino-marin Erika, Sanchez-sanchez Juan, Guerrero-leon Sara, Arango-holguin Catalina, Zambrano-ferreira Melissa, Trompetero-gonzalez Andrea, Ramos-caballero Diana, Lopez-guzman Silvia

You have to be authorized to contact abstract author. Please, Login
Not Available