Logo

American Heart Association

  109
  0


Final ID: P3051

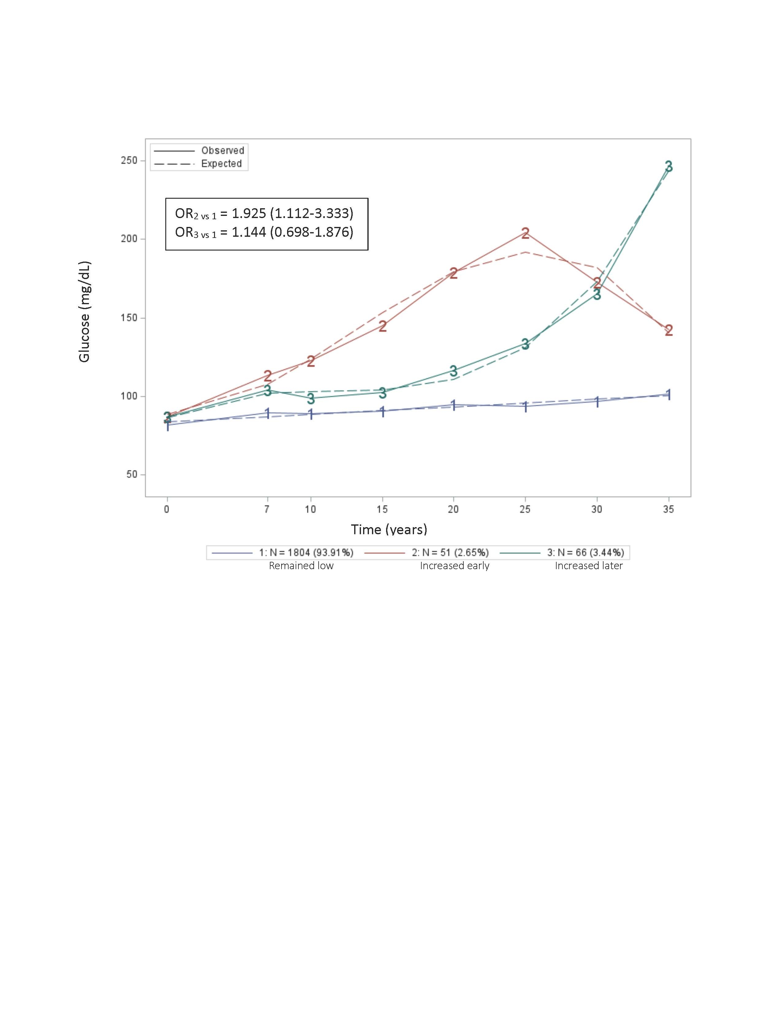
Longitudinal trends in glucose and hearing loss in midlife: The Coronary Artery Risk Development in Young Adults (CARDIA) Study

Abstract Body: Introduction: Hearing loss (HL) is a common condition that often goes undetected until the deficits are pronounced. Diabetes may affect the vasculature and neural system of the inner ear, damaging both the auditory nerve and the vestibular systems, leading to HL. Less is known about how hyperglycemia over prolonged periods of time from young adulthood is associated with HL in midlife.

Hypothesis: Young adults who experience early increases in fasting glucose levels will experience greater odds of future HL compared to those whose glucose levels either stay stable or increase later in life.

Methods: CARDIA participants had hearing assessed at the Year 35 exam (Y35, 2020-2022, ages 53-70 years) using an automated method for testing auditory sensitivity to obtain pure-tone air-conduction thresholds. HL was defined as a sound detection threshold >25 dB in the better ear at high frequencies (4000-8000 Hz). Fasting serum glucose was measured by standardized methods starting at baseline (1985-1986). Fasting glucose trajectories were created using PROC TRAJ (SAS) for 1921 participants with complete hearing and covariate data.

Results: Mean glucose at Y0 was 81.9 mg/dL and 107.7 mg/dL at Y35. The sample was 57.4% women and 44.1% Black; 61.3% had normal hearing, 21.6% had mild HL and more severe HL was rare. Three distinct trajectories were identified: glucose remained low; glucose increased early; and glucose increased later (Figure). Compared to the remained low group, those whose glucose increased in early adulthood had 93% higher odds of high frequency HL. Those whose glucose increased later in adulthood had 14% higher odds of HL that did not reach statistical significance. Odds ratios were unchanged after adjustment for age, race, sex, education, smoking, drinking, physical activity and obesity.

Conclusions: Prolonged exposure to elevated glucose was associated with mild high-frequency HL in midlife in a population-based cohort without severe HL, providing additional motivation to manage hyperglycemia.
  • Schreiner, Pamela  ( UNIV MINNESOTA , Minneapolis , Minnesota , United States )
  • Adams, Meredith  ( UNIV MINNESOTA , Minneapolis , Minnesota , United States )
  • Chow, Lisa  ( University of Minnesota , Minneapolis , Minnesota , United States )
  • Lloyd-jones, Donald  ( Northwestern University , Chicago , Illinois , United States )
  • Author Disclosures:
    Pamela Schreiner: DO NOT have relevant financial relationships | Meredith Adams: No Answer | Lisa Chow: DO have relevant financial relationships ; Research Funding (PI or named investigator):Dexcom:Active (exists now) | Donald Lloyd-Jones: DO NOT have relevant financial relationships
Meeting Info:
Session Info:

PS03.04 Diabetes

Saturday, 03/08/2025 , 05:00PM - 07:00PM

Poster Session

More abstracts on this topic:
Anticoagulation versus antiplatelet for secondary prevention in embolic stroke of undetermined source: The Cardiac Abnormalities in Stroke Prevention and Risk of Recurrence Study

Siegler James, Aboul-nour Hassan, De Havenon Adam, Culbertson Collin, Melkumova Emiliya, Jillella Dinesh, Dumitrascu Oana, Doolittle Charles, Yahnke Ian, Sathya Anvitha, Brown Samantha, Penckofer Mary, Kang Jieun, Bowman Anna, Brorson James, Shahrivari Mahan, Elangovan Cheran, Sloane Kelly, Alvi Muhammad, Krishnaiah Balaji, Kam Wayneho, Farooqui Mudassir, Badillo Goicoechea Elena, Nahab Fadi, Rojas-soto Diana, Sharma Richa, Thottempudi Neeharika, Nedelcu Simona, Smith Matthew, Herpich Franziska, Glover Patrick, Chahien Dalia, Sehgal Siddharth, Eklund Kelsey, Liebeskind David, Linares Guillermo, Daniel Jean-philippe, Al Kasab Sami, Singh Eesha, D'souza Marissa, Gaudio Elizabeth, Aziz Yasmin, Yaghi Shadi, Salehi Omran Setareh, Stretz Christoph, Thon Jesse, Lineback Christina, Khasiyev Farid, Kerrigan Deborah, Ali Hamid

Glycemia and Lipids Profiles Levels, Awareness and Control in the Adult Population: the Italian Health Examination Survey 2023-2024 - CUORE Project

Marcozzi Benedetta, Palmieri Luigi, Donfrancesco Chiara, Lo Noce Cinzia, Di Lonardo Anna, Vannucchi Serena, Dipol Teresa, Morello Maria, Bernardini Sergio, Galeone Daniela, Bellisario Paolo

More abstracts from these authors:
You have to be authorized to contact abstract author. Please, Login
Not Available