Logo

American Heart Association

  38
  0


Final ID: MP1329

Optimal LDL targets for overall survival in the heart transplant population

Abstract Body (Do not enter title and authors here): Background:
High LDL cholesterol increases the risk of atherosclerotic cardiovascular disease and death in the general population. There is emerging evidence that low LDL levels (<70mg/dL) may be associated with higher all-cause mortality in the heart transplant population. Although the International Society for Heart and Lung Transplantation (ISHLT) recommends an LDL level below 100 for most transplant patients, there are currently no guidelines for targeted LDL levels in this population.

Hypothesis:
This study aims to determine optimal LDL levels at 1-year post-transplantation that are associated with reduced all-cause mortality.

Methods:
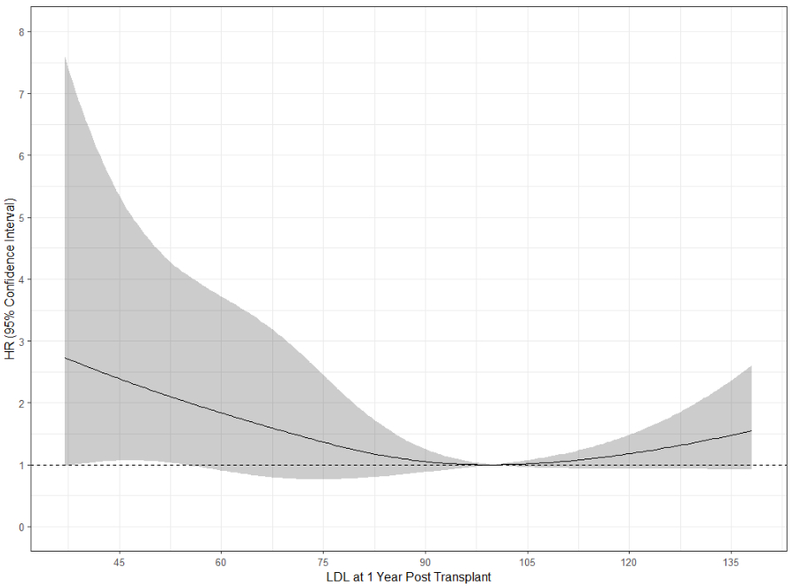
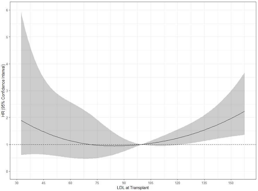
This is a single-center retrospective study of adult post-heart transplantation patients. The Tufts Heart Transplant Repository was used to collect data to the time of last follow up or death. Patients were excluded if they did not have a one-year post-transplantation follow up visit with LDL measurement, drawn within 90 days before and after the anniversary of their transplantation date. We performed a Cox proportional hazard model with a primary endpoint of all-cause mortality with LDL as both a binary (<100mg/dL or >100mg/dL) and a continuous variable. Additionally, restricted cubic spline curves were used to model the relationship between LDL and all-cause mortality at the time of transplantation and at one-year post-transplantation.

Results:
This study included 237 patients. Mean LDL at one year was 82mg/dL, and 75% of patients had LDL <100mg/dL at one year. There was no difference in all-cause mortality in patients with LDL <100mg/dL compared to those with LDL >100mg/dL (p=0.553) at one-year post-transplantation. There was no association between LDL and all-cause mortality with LDL as a continuous variable (p=0.507). The cubic spline model of LDL at one-year post-transplantation revealed a U-shaped curve, with a non-statistically significant increase in mortality risk with LDL <71mg/dL and >130mg/dL. A cubic spline of LDL at the time of transplantation revealed a similar curve with inflections at 71mg/dL and 150mg/dL.

Conclusion:
This observational cohort study shows no mortality benefit to maintaining LDL <100mg/dL, and no statistically significant relationship between LDL one-year post-transplantation and all-cause mortality. It does suggest a trend toward better outcomes with LDL between 70 and 130mg/dL. Further study is needed to better define the LDL targets in this population.
  • Gadela, Namrata  ( Tufts Medical Center , Boston , Massachusetts , United States )
  • Steinhauer, Rachael  ( Tufts Medical Center , Baltimore , Maryland , United States )
  • Koethe, Benjamin  ( Tufts Medical Center , Boston , Massachusetts , United States )
  • Rajapreyar, Indranee  ( Tufts Medical Center , Boston , Massachusetts , United States )
  • Vest, Amanda  ( Cleveland Clinic Ohio , Cleveland , Ohio , United States )
  • Downey, Brian  ( Tufts Medical Center , Boston , Massachusetts , United States )
  • Author Disclosures:
    Namrata Gadela: DO NOT have relevant financial relationships | Rachael Steinhauer: DO NOT have relevant financial relationships | Benjamin Koethe: DO NOT have relevant financial relationships | Indranee Rajapreyar: No Answer | Amanda Vest: DO have relevant financial relationships ; Research Funding (PI or named investigator):CareDx:Past (completed) | Brian Downey: No Answer
Meeting Info:

Scientific Sessions 2025

2025

New Orleans, Louisiana

Session Info:

Heart Transplant Highlights: Challenges, Triumphs, and New Horizons

Sunday, 11/09/2025 , 09:15AM - 10:25AM

Moderated Digital Poster Session

More abstracts on this topic:
A Cardiac Targeting Peptide Linked to miRNA106a Targets and Suppresses Genes Known to Cause Heart Failure: Reversing Heart Failure at the Source

Lu Ming, Deng Claire, Taskintuna Kaan, Ahern Gerard, Yurko Ray, Islam Kazi, Zahid Maliha, Gallicano Ian

A Case of Dilated Cardiomyopathy and Systemic Thromboembolism in a Young Patient on Testosterone Replacement Therapy

Sabri Muhammad, Ijaz Naila, Nadeem Ramsha, Checchio Lucy, Riaz Faiza

More abstracts from these authors:
Discussant: ENDEAVOR

Lala Anuradha, Vest Amanda

Therapeutic Innovations

Kittleson Michelle, Vest Amanda

You have to be authorized to contact abstract author. Please, Login
Not Available