Logo

American Heart Association

  57
  0


Final ID: MP201

Prognosis of right bundle branch block in heart failure patients: a reconstructed time-to-event meta-analysis

Abstract Body (Do not enter title and authors here): Background: The growing epidemiologic burden of heart failure (HF) poses a significant public health challenge. The development of conduction abnormalities influences HF outcomes, with left bundle branch block (LBBB) established as an independent mortality predictor. However, the impact of right bundle branch block (RBBB) on HF mortality is still controversial. The aim of this study is to compare survival in HF patients with and without RBBB.
Methods: A comprehensive search was conducted on PubMed, Scopus, Web of Science, and Cochrane Library from inception to 12 October 2024. Raw data coordinates were extracted from Kaplan–Meier curves and merged into one dataset to reconstruct individual patient data. Hazard ratios (HR) with 95% confidence intervals (CI) were estimated using the Cox regression model. Dichotomous outcomes were pooled as risk ratios (RR) with 95% confidence interval (CI) using a random-effects model.
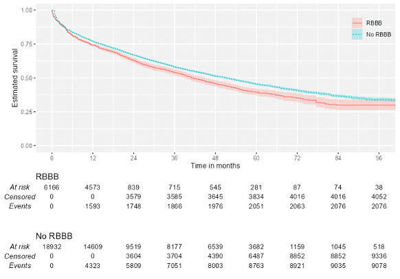
Results: 13 studies incorporating 25714 HF patients were included in our analysis. Patients with RBBB had a significantly lower median survival of 41.0 months (95% CI: 39.0 – 44.8) compared to 51.2 months (95% CI: 49.2 – 52.8) in patients without RBBB. Survival at 1,3, and 5 years in RBBB patients was 74.2%, 54.0%, and 39.4%, respectively, compared to 77.2%, 58.1%, and 45.4% in patients without RBBB. The HR for mortality was 0.87 (95% CI: 0.83 – 0.91, p < 0.001), indicating a 13% lower risk of death in patients without RBBB compared to those with RBBB. There was no significant difference in cardiovascular mortality between groups (RR: 1.34; 95% CI: 0.88 – 2.05; p = 0.17).
Conclusion: RBBB was associated with an increased risk of mortality in HF patients. These findings support the use of RBBB as a potential marker for risk stratification in HF. Further research with stricter inclusion criteria is warranted to better understand how the observed association is influenced by preserved versus reduced ejection fraction.
  • Almaadawy, Omar  ( MedStar Health , Baltimore , Maryland , United States )
  • Rustm, Mohamad  ( Gaziantep City Training and Research Hospital , Gaziantep , Turkey )
  • Hassan, Abdulahi  ( Ankara Yildirim Beyazit University , Ankara , Turkey )
  • Mansour, Ahmed  ( Faculty of Medicine Al-Azhar Cairo University , Cairo , Egypt )
  • Elbenawi, Hossam  ( Mayo Clinic , Rochester , Minnesota , United States )
  • Georges, Claudia  ( MedStar Health , Baltimore , Maryland , United States )
  • Ahmed, Mustafa  ( University of Florida , Gainesville , Florida , United States )
  • Mostafa, Naydeen  ( Faculty of Medicine, Ain Shams University , Cairo , Egypt )
  • Hamed, Belal  ( Faculty of Medicine Al-Azhar Cairo University , Cairo , Egypt )
  • Taha, Taha  ( Faculty of Medicine, Fayoum University , Fayoum , Egypt )
  • K. Abdelsattar, Nada  ( Faculty of Medicine, Fayoum University , Fayoum , Egypt )
  • Sarhan, Menna  ( Faculty of medicine Zagazig university , Zagazig , Egypt )
  • Soliman, Esraa  ( Faculty of medicine Zagazig university , Zagazig , Egypt )
  • Mohyeldin, Eman  ( Faculty Of Medicine, Menofia University , Menofia , Egypt )
  • Zreigh, Sofian  ( Ankara Yildirim Beyazit University , Ankara , Turkey )
  • Author Disclosures:
    Omar Almaadawy: DO NOT have relevant financial relationships | Mohamad Rustm: DO NOT have relevant financial relationships | ABDULAHI HASSAN: No Answer | Ahmed Mansour: No Answer | Hossam Elbenawi: DO NOT have relevant financial relationships | Claudia Georges: No Answer | Mustafa Ahmed: DO have relevant financial relationships ; Advisor:Evaheart:Active (exists now) | Naydeen Mostafa: No Answer | Belal Hamed: No Answer | Taha Taha: DO NOT have relevant financial relationships | Nada K. Abdelsattar: No Answer | Menna Sarhan: DO NOT have relevant financial relationships | Esraa Soliman: No Answer | Eman Mohyeldin: DO NOT have relevant financial relationships | Sofian Zreigh: DO NOT have relevant financial relationships
Meeting Info:

Scientific Sessions 2025

2025

New Orleans, Louisiana

Session Info:

Heart Failure and Cardiomyopathies: Disease Management

Saturday, 11/08/2025 , 03:15PM - 04:05PM

Moderated Digital Poster Session

More abstracts on this topic:
A Bridge from Sweet to Sour: A Case of Recurrent Myocardial Stunning in Diabetic Ketoacidosis

Satish Vikyath, Pargaonkar Sumant, Slipczuk Leandro, Schenone Aldo, Maliha Maisha, Chi Kuan Yu, Sunil Kumar Sriram, Borkowski Pawel, Vyas Rhea, Rodriguez Szaszdi David Jose Javier, Kharawala Amrin, Seo Jiyoung

A Case of Dilated Cardiomyopathy and Systemic Thromboembolism in a Young Patient on Testosterone Replacement Therapy

Sabri Muhammad, Ijaz Naila, Nadeem Ramsha, Checchio Lucy, Riaz Faiza

More abstracts from these authors:
GLP-1 Receptor Agonists and Mortality Outcomes in Patients with Left Ventricular Assist Devices: A Propensity-Matched Cohort Study from the TriNetX Global Network

Alkhatib Ahmad, Ahmed Mustafa, Jarrar Yaman, Nazzal Jamil, Al Shaikhli Mustafa, Abdallah Omar Mohammad, Abdulelah Ahmed, Eldawud Daoud, Almaadawy Omar, Alomari Laith

Aspirin vs Clopidogrel as a Monotherapy secondary prevention in Patients with Coronary Artery Disease: An updated Meta-Analysis

Almaadawy Omar, Georges Claudia, Elsalmouny Youmna, Al-azizi Karim, Elnady Mohamed, Almahdy Mohamed Ahmed, Elshimy Abdelrahman, Sarhan Menna, Hassan Abdul Rhman, Mohyeldin Eman, Mohamed Alshaimaa, Ali Nada

You have to be authorized to contact abstract author. Please, Login
Not Available