Logo

American Heart Association

  64
  0


Final ID: 4367722

Mitochondrial Transplantation During Ongoing Ischemia May Preserve Neuronal Viability

Abstract Body (Do not enter title and authors here): Introduction: Cardiac and aortic surgery carries a relatively high risk of perioperative stroke. Thrombolysis and thrombectomy are often not feasible in the perioperative setting for these patients. While restoring cerebral blood flow is critical, it can trigger reperfusion injury. Ischemia-reperfusion (IR) injury disrupts mitochondrial function and can lead to neuronal cell death. Post-ischemic mitochondrial transplantation (MTx) has shown neuroprotection in preclinical studies, but its efficacy during ischemia remains unclear. Additionally, nicorandil (NIC), a mitochondrial KATP channel opener, can improve metabolic tolerance during IR injury.
Hypothesis/Aims: This study aimed to evaluate whether MTx during ongoing ischemia preserves neuronal viability and mitochondrial function in an in vitro oxygen-glucose deprivation (OGD) model, and whether NIC co-treatment provides a synergistic effect.
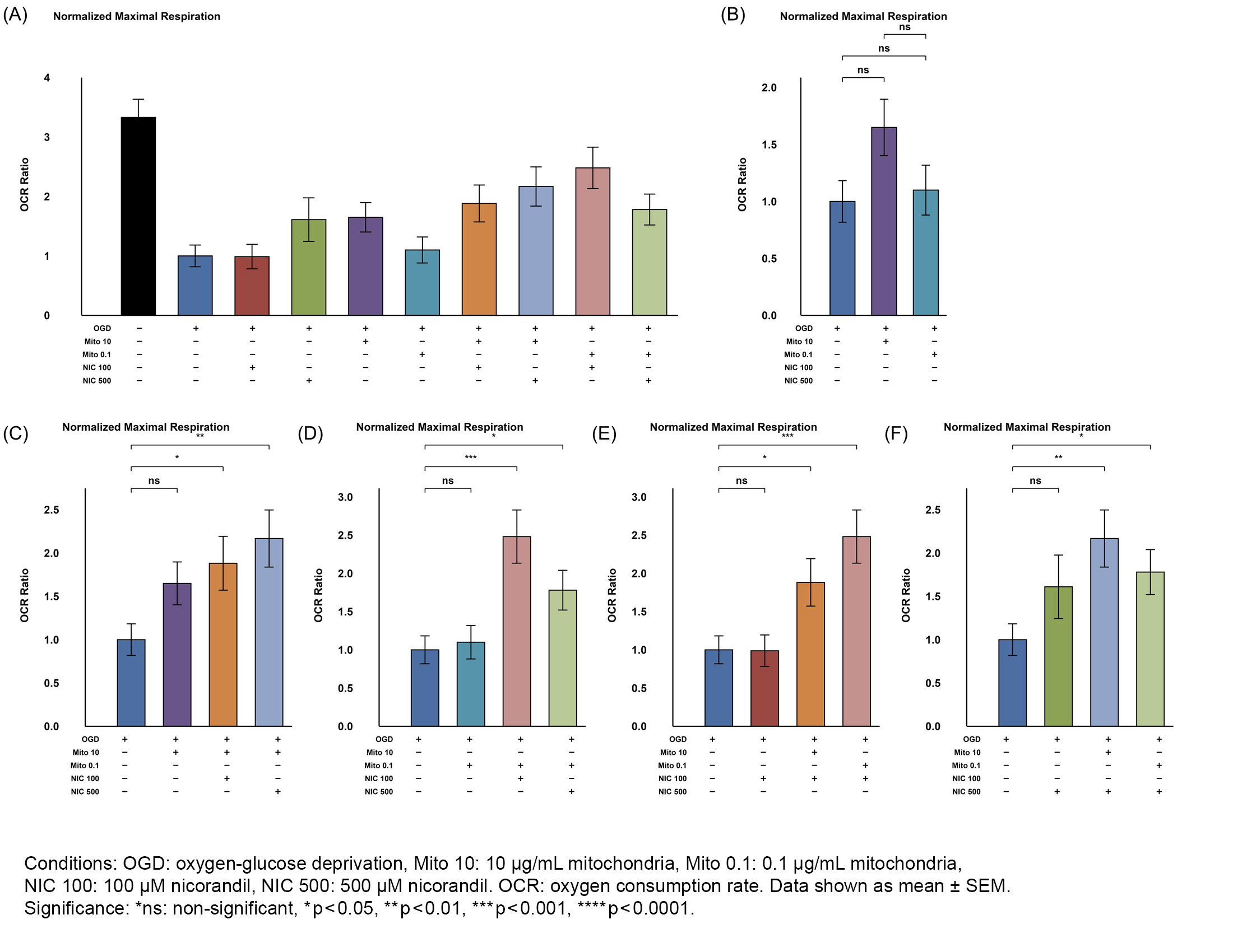
Methods: The study included two main groups: normoxic control and OGD; each had 9 subgroups: no treatment, 10 or 0.1µg/mL mitochondria (Mito), 100 or 500µM NIC, and their combinations. HT-22 neuronal cells were subjected to OGD for 10h, with Mito and/or NIC added 4h after initiation. Controls remained under normoxia. After OGD, all subgroups returned to normoxia for 17h. Mitochondria were isolated from mouse skeletal muscle. Cell viability, proliferation, and mitochondrial function were analyzed using MTS, CyQUANT, and Seahorse assays.
Results: Both Mito doses improved cell viability and proliferation in OGD-injured cells; 0.1µg/mL Mito significantly increased viability (MTS, p=0.001), while 10µg/mL showed borderline viability preservation (MTS, p=0.084) but significantly increased proliferation (CyQUANT, p<0.001). 10µg/mL Mito significantly preserved ATP production (p=0.020) and marginally improved maximal respiration (p=0.057); 0.1µg/mL did not. Both Mito doses with NIC further enhanced ATP production and basal/maximal respiration. Co-treatment with Mito and NIC shifted metabolism toward glycolysis compared to Mito alone, with reduced OCR/ECAR (p=0.007 for 10µg/mL; p=0.042 for 0.1µg/mL).
Conclusions: Skeletal muscle-derived MTx effectively preserved mitochondrial function and viability of HT-22 cells when given during ongoing OGD, suggesting a potentially new therapeutic window prior to reperfusion. NIC co-treatment further improved metabolic tolerance, indicating a possible synergistic effect. Overall, MTx has neuroprotective potential for stroke in aortic surgery.
  • Wu, Bo Chang  ( University of Colorado Anschutz Medical Campus , Aurora , Colorado , United States )
  • Cheng, Linling  ( University of Colorado Anschutz Medical Campus , Aurora , Colorado , United States )
  • Turner, Mary  ( University of Colorado Anschutz Medical Campus , Aurora , Colorado , United States )
  • Ramaswamy, Praveen  ( University of Colorado Anschutz Medical Campus , Aurora , Colorado , United States )
  • Bolding, Chase  ( University of Colorado Anschutz Medical Campus , Aurora , Colorado , United States )
  • Aftab, Muhammad  ( University of Colorado Anschutz Medical Campus , Aurora , Colorado , United States )
  • Garcia, Anastacia  ( University of Colorado Anschutz Medical Campus , Aurora , Colorado , United States )
  • Reece, Brett  ( University of Colorado Anschutz Medical Campus , Aurora , Colorado , United States )
  • Author Disclosures:
    Bo Chang Wu: DO NOT have relevant financial relationships | Linling Cheng: DO NOT have relevant financial relationships | Mary Turner: DO NOT have relevant financial relationships | Praveen Ramaswamy: No Answer | Chase Bolding: DO NOT have relevant financial relationships | Muhammad Aftab: No Answer | Anastacia Garcia: DO NOT have relevant financial relationships | Brett Reece: DO have relevant financial relationships ; Consultant:artivion:Active (exists now) ; Consultant:terumo:Active (exists now) ; Consultant:gore:Active (exists now)
Meeting Info:

Scientific Sessions 2025

2025

New Orleans, Louisiana

Session Info:

CVSA Early Career and Vivien Thomas Early Career Investigator Award Competitions

Saturday, 11/08/2025 , 09:45AM - 10:50AM

Abstract Oral Session

More abstracts on this topic:
Aspirin Resistance Rates in Pediatric Moyamoya Patients: Monitoring Efficacy and Therapeutic Dosing to Reduce Stroke Risk

Rangwala Shivani, Lehman Laura, Oushy Soliman, Judge Jennifer, Isibor Christopher, Meadows Julie, Orbach Darren, Smith Edward, See Alfred Pokmeng, Vanderpluym Christina

A First-in-Class Humanized Antibody Fragment Targeting Platelet Glycoprotein Ibα: A Comprehensive Preclinical Study of CA1001 for the Treatment of Acute Ischemic Stroke

Xu Xiaohong, Preeti Preeti, Yu Ruoying, Shaykhalishahi Hamed, Zhang Cheng, Shen Chuanbin, Li Bei, Tang Naping, Chang Yan, Xiang Qian, Cui Yimin, Lei Xi, Ni Heyu, Zhu Guangheng, Liu Zhenze, Hu Xudong, Slavkovic Sladjana, Neves Miguel, Ma Wenjing, Xie Huifang

More abstracts from these authors:
Lactosylceramides Impair Cardiac Myocyte Function in HLHS

Ramaswamy Praveen, Turner Mary, Pietra Ashley, Garcia Anastacia

Immune and Inflammatory Dysregulation Across the Single Ventricle Spectrum: A New Frontier for Therapeutic Innovation & Intervention

Garcia Anastacia, Turner Mary, Pietra Ashley, Ramaswamy Praveen, Velasquez Cristina, Karimpour-fard Anis

You have to be authorized to contact abstract author. Please, Login
Not Available