Logo

American Heart Association

  29
  0


Final ID: MP1993

Phenotypic Conversion in a Rare Hypertrophic Cardiomyopathy Phenocopy: Longitudinal Observations Among Adolescent Patients with PRKAG2 Syndrome

Abstract Body (Do not enter title and authors here): Introduction/Background:
PRKAG2 Syndrome is an ultra-rare non-sarcomeric hypertrophic cardiomyopathy phenocopy associated with excessive myocardial glycogen deposition, ventricular pre-excitation, atrial tachyarrhythmias, and cardiac conduction system disease. Phenotypic conversion in this disease—the progression from phenotype negative to phenotype positive—is poorly understood.

Research Question:
What are the patterns, timing, and predictors of phenotypic conversion in patients with PRKAG2 Syndrome?

Methods:
We retrospectively analyzed six adolescents with the pathogenic R302Q variant in PRKAG2. Serial clinical, electrocardiographic (ECG), and echocardiographic data were reviewed over an average of 11.7 years. Phenotypic conversion was defined as the emergence of new symptoms, ECG changes, cardiac events, cardiac structural or functional features.

Results:
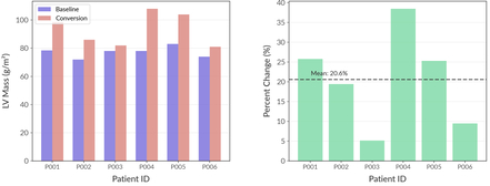
All six patients, from three unrelated families, had a parent with PRKAG2 syndrome. The average age at molecular diagnosis was 9.3 years. Baseline features included mean PR interval 126 ms, mean QRS duration 90 ms, mean maximum LV wall thickness (MLVWT) 8.2 mm, mean LV mass index (LVMI) 77.2 g/m2, mean LVEF 64.3%, and mean Global longitudinal strain (GLS)-19.8%. At baseline, all patients were NYHA I with normal rhythm, conduction, cardiac structure, and function. Mean phenotypic conversion age was 14.7 years (12–17), occurring 5.3 years (4–7) after molecular diagnosis. Electrophysiologic changes included PR interval shortening (mean change -11.3 ms,p=0.031) and QRS duration widening (mean change +13.3 ms, p=0.043). New-onset right bundle branch block (RBBB) was observed in 2 patients and left anterior hemiblock (LAHB) in 1 patient. Echocardiography revealed significant increases in MLVWT (mean +5.0mm,p=0.031) and LVMI (mean +16.0g/m2,p=0.031). Mean LVMI increased by 3.2 g/m2/year. Average GLS worsened (mean –3.3%,p=0.031);LVEF showed a non-significant drop(mean change–3.0%).

At 13-year median follow-up, P004 and P005 developed NYHA II symptoms; P004 required a pacemaker at age 25 for complete heart block. The remaining four patients remained asymptomatic throughout the follow-up period.

Conclusions:
PRKAG2 Syndrome is a dynamic disorder with a high rate of phenotypic conversion, involving electrocardiographic and echocardiographic abnormalities. These findings underscore the need for longitudinal surveillance and early intervention strategies tailored to the unique trajectory of PRKAG2 cardiomyopathy.
  • Ahamed, Hisham  ( Amrita Institute of Medical Science , Kochi , Kerala , India )
  • Hari, Aparna  ( Amrita Institute of Medical Science , Kochi , Kerala , India )
  • Rajeshkannan, Ramiah  ( Amrita Institute of Medical Science , Kochi , Kerala , India )
  • Mathew, Navin  ( Amrita Institute of Medical Science , Kochi , Kerala , India )
  • Menon, Jaideep  ( Amrita Institute of Medical Science , Kochi , Kerala , India )
  • Author Disclosures:
    Hisham Ahamed: DO NOT have relevant financial relationships Ramiah Rajeshkannan: No Answer | Navin Mathew: DO NOT have relevant financial relationships | Jaideep Menon: DO NOT have relevant financial relationships
Meeting Info:

Scientific Sessions 2025

2025

New Orleans, Louisiana

Session Info:

Cardiology Topics: Mix Tape

Monday, 11/10/2025 , 01:45PM - 02:35PM

Moderated Digital Poster Session

More abstracts on this topic:
A-band titin-truncating variant promotes the development of arrhythmia-induced cardiomyopathy in a novel genetically-engineered porcine model

Lee Kwonjae, Del Rio Carlos, Mcnally Elizabeth, Pfenniger Anna, Bhatnagar Ashita, Glinton Kristofor, Burrell Amy, Ober Rebecca, Mcluckie Alicia, Bishop Brian, Rogers Christopher, Geist Gail

Artificial Intelligence-based screening for Hypertrophic Cardiomyopathy from Single-lead Electrocardiograms: A Multinational Development and Validation Study

Croon Philip, Aminorroaya Arya, Pedroso Aline, Dhingra Lovedeep, Khera Rohan

You have to be authorized to contact abstract author. Please, Login
Not Available