Logo

American Heart Association

  55
  0


Final ID: MP35

Dual Burden of Cancer and Stroke: Long-term Cardiovascular Risk in Survivors of Post-cancer Stroke

Abstract Body (Do not enter title and authors here): Background:
Cancer survivors are at increased risk for cardiovascular disease (CVD), yet the long-term impact of new-onset stroke occurring after cancer diagnosis remains poorly characterized.

Objectives:
To investigate the incidence, predictors, and long-term cardiovascular outcomes associated with new-onset stroke after cancer diagnosis in a large prospective cohort.

Methods:
We analyzed data from 491,767 participants in the UK Biobank, with baseline assessment between 2006 and 2010 and follow-up through 2022. Participants with a prior history of stroke at recruitment were excluded. Stroke and cancer diagnoses were obtained via hospital records and cancer registries. Individuals were categorized into four groups: no cancer & no stroke, cancer & no stroke, no cancer & stroke, and cancer before stroke. The primary outcome was major adverse cardiac and cerebrovascular events (MACCE), including all-cause mortality, heart failure (HF), shock, and major bleeding. Cox proportional hazards models were used to estimate hazard ratios (HRs), adjusting for demographics, lifestyle factors, comorbidities, and cancer treatments.

Results:
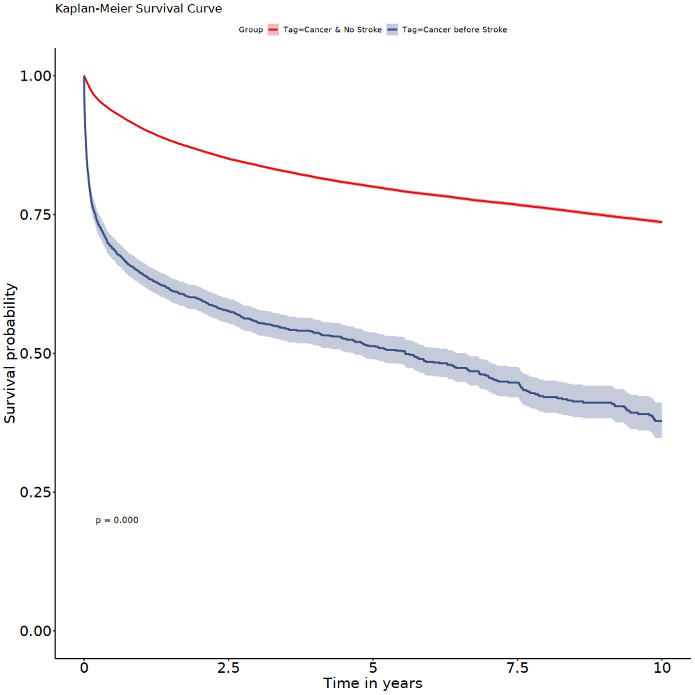
Among 68,764 cancer patients, 2,033 (3.0%) experienced stroke after cancer diagnosis. Compared to cancer patients without stroke, those with stroke had significantly higher MACCE incidence (68.5% vs. 31.3%), mortality (48.8% vs. 25.4%), HF (9.4% vs. 3.6%), and major bleeding (37.4% vs. 4.8%). Multivariate Cox regression analysis identified specific cancer type, including pancreatic, leukemia, skin melanoma and kidney/renal/pelvis, as well as baseline factors including sex, age at diagnosis of cancer, current smoker, frailty, baseline diabetes and hypertension, as significant independent risk factors for developing stroke among cancer patients.

Conclusions:
New-onset stroke following cancer diagnosis is associated with a markedly increased risk of cardiovascular morbidity and mortality in cancer survivors. Stroke may act as a sentinel event identifying a high-risk subgroup requiring intensified cardio-oncology surveillance. These findings highlight the need for integrated cardiovascular care pathways in cancer patients with stroke.
  • Zhu, Fang  ( Shanghai Chest Hospital Shanghai Jiao Tong University School of Medicine , Shanghai , China )
  • Hou, Xumin  ( Shanghai Chest Hospital Shanghai Jiao Tong University School of Medicine , Shanghai , China )
  • Zhang, Qian  ( Shanghai Chest Hospital Shanghai Jiao Tong University School of Medicine , Shanghai , China )
  • Cai, Wenjie  ( Johns Hopkins University Bloomberg School of Public Health , Baltimore , Maryland , United States )
  • Liu, Gang  ( Shanghai Chest Hospital Shanghai Jiao Tong University School of Medicine , Shanghai , China )
  • Li, Jiantao  ( Shanghai Chest Hospital Shanghai Jiao Tong University School of Medicine , Shanghai , China )
  • Chen, Hao  ( Shanghai Children's Medical Center , Shanghai , China )
  • Wu, Dongjin  ( Shanghai Chest Hospital Shanghai Jiao Tong University School of Medicine , Shanghai , China )
  • Luo, Qingquan  ( Shanghai Chest Hospital Shanghai Jiao Tong University School of Medicine , Shanghai , China )
  • Cheng, Xinghua  ( Shanghai Chest Hospital Shanghai Jiao Tong University School of Medicine , Shanghai , China )
  • Author Disclosures:
    Fang Zhu: No Answer | Xumin Hou: No Answer | Qian Zhang: DO NOT have relevant financial relationships | Wenjie Cai: No Answer | Gang Liu: No Answer | Jiantao Li: No Answer | Hao Chen: No Answer | Dongjin Wu: No Answer | Qingquan Luo: No Answer | Xinghua Cheng: No Answer
Meeting Info:

Scientific Sessions 2025

2025

New Orleans, Louisiana

Session Info:

Stroke, Comorbidities, and Care Gaps: Trends, Risks, and Treatments

Saturday, 11/08/2025 , 03:15PM - 04:05PM

Moderated Digital Poster Session

More abstracts on this topic:
A Potential Role for NKG2D, an NK cell receptor, in Accelerated CVD risk in African American Women Living in More Adverse Neighborhood Conditions: Data From the Step It Up Physical Activity Digital Health-Enabled, Community-Engaged Intervention

Baez Andrew, Andrews Marcus, Sandler Dana, Aquino Peterson Elizabeth, Sharda Sonal, Tolentino Katherine Joy, Lopez De Leon Shirley, Seo Jein Eleanor, Cintron Manuel, Pita Mario, Tarfa Hannatu, Baumer Yvonne, Reger Robert, Childs Richard, Powell-wiley Tiffany, Dave Ayushi, Saurabh Abhinav, Mendelsohnl Laurel, Chen Long, Igboko Muna, Wells Ayanna, Marah Marie

A Delayed Diagnosis of Anti-HMG-CoA Reductase Immune-Mediated Necrotizing Myopathy

Jadhav Reshma, Shekar Arush, Westenhaver Zack, Skandhan Amith

You have to be authorized to contact abstract author. Please, Login
Not Available