Logo

American Heart Association

  31
  0


Final ID: MP2796

CYP2C19-Guided Therapy Antiplatelet Therapy Influences Outcomes After Percutaneous Coronary Intervention in Black Patients

Abstract Body (Do not enter title and authors here): Introduction: Cytochrome P450 2C19 (CYP2C19) loss-of-function (LOF) genotypes reduce clopidogrel, but not prasugrel or ticagrelor, effectiveness following percutaneous coronary intervention (PCI). Accumulating evidence has demonstrated the clinical benefit of using CYP2C19 genotype to guide selection of P2Y12 inhibitor therapy after PCI. However, these studies have primarily included patients of European and East Asian ancestry. Therefore, there is a paucity of data on the impact of CYP2C19-guided antiplatelet therapy on clinical outcomes in Black patients.
Aim: We aimed to assess the impact of CYP2C19-guided P2Y12 inhibitor selection on risk for major atherothrombotic events (MAE) among self-reported Black patients within one-year post-PCI.
Methods: Black adults across five institutions who underwent PCI and clinical CYP2C19 genotyping for LOF alleles and were prescribed clopidogrel or an alternative P2Y12 inhibitor (prasugrel, ticagrelor) were included. The ultimate prescribing decision was at the prescriber’s discretion. Atherothrombotic events were manually abstracted from the electronic health record and adjudicated. The primary outcome, MAE (composite of all-cause mortality, myocardial infarction, ischemic stroke, stent thrombosis, or unstable angina requiring revascularization), was compared between patients treated with alternative P2Y12 inhibitors (irrespective of CYP2C19 status) versus LOF allele carriers treated with clopidogrel, and separately versus non-LOF carriers treated with clopidogrel, using multivariable Cox regression.
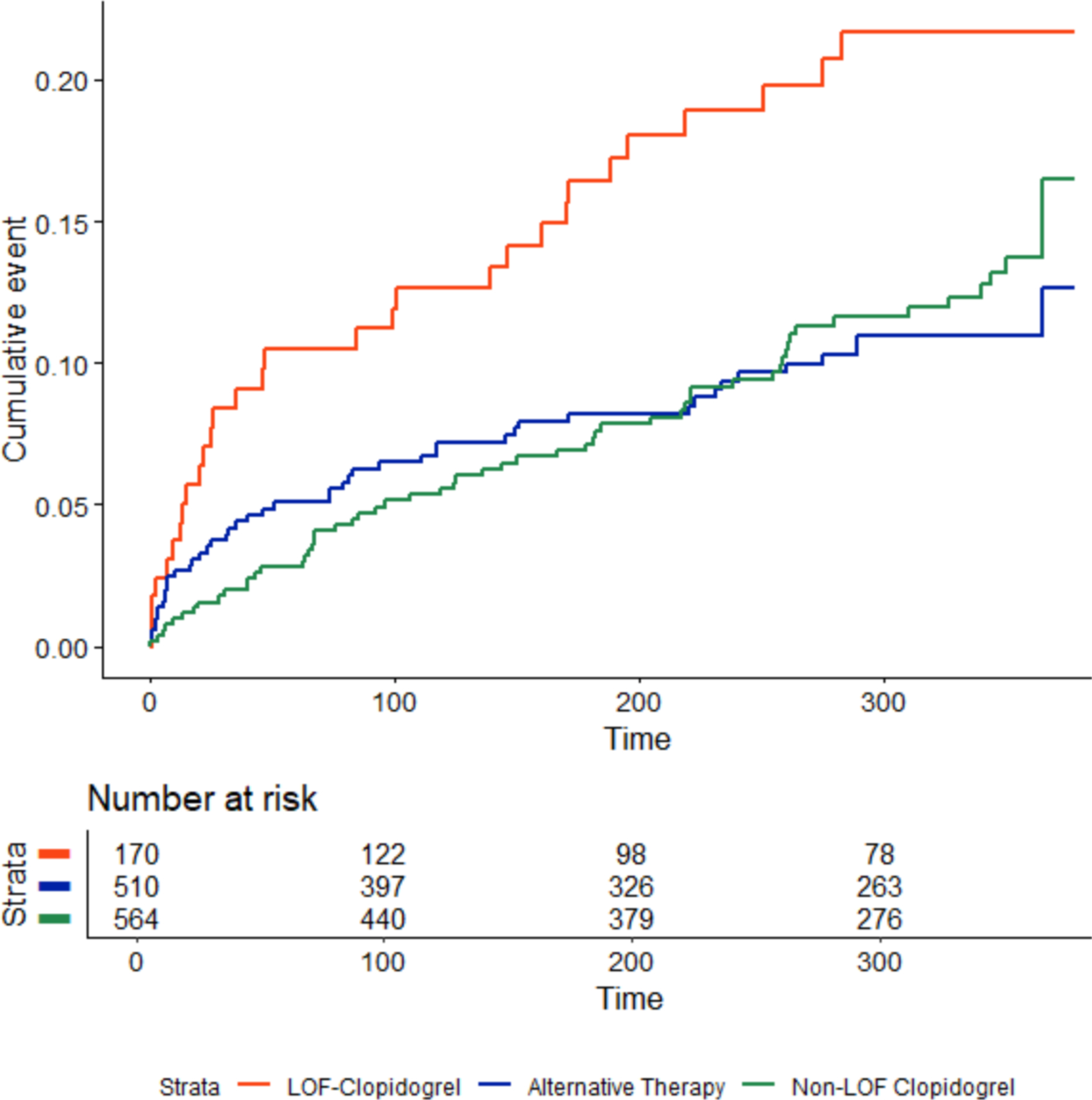
Results: The study population consisted of 1,244 Black patients (mean age 61±12 years; 44% women; 70% with acute coronary syndrome), with 734 patients prescribed clopidogrel (170 LOF-carriers, 564 non-LOF-carriers) and 510 prescribed an alternative inhibitor. MAE rates were higher in the LOF-clopidogrel vs alternative inhibitor group (29.1 vs. 13.9 events per 100 PY; unadjusted HR: 0.49 [95%CI: 0.31-0.77], p=<0.01; adjusted HR: 0.54 [95%CI: 0.32-0.91], p=0.02). MAE rates did not differ between the non-LOF-clopidogrel and alternative inhibitor groups (15.4 vs. 13.9 events per 100PY; unadjusted HR: 0.99 [95% CI:0.61-1.32], p=0.57; adjusted HR: 0.99 [95% CI:0.65-1.50], p=0.97).
Conclusion: These data suggest that clopidogrel is as effective as alternative P2Y12 inhibitors in post-PCI Black patients without a CYP2C19 LOF allele, while alternative therapy improves outcomes in LOF allele carriers.
  • Malave Rivera, Jean  ( University of Florida , Gainesville , Florida , United States )
  • Angiolillo, Dominick  ( University of Florida , Jacksonville , Florida , United States )
  • Lee, Craig  ( UNC-CHAPEL HILL , Chapel Hill , North Carolina , United States )
  • Cavallari, Larisa  ( UNIVERSITY OF FLORIDA , Gainesville , Florida , United States )
  • Thomas, Cameron  ( University of Florida , Gainesville , Florida , United States )
  • Rossi, Joseph  ( University of North Carolina , Chapel Hill , United States Minor Outlying Islands )
  • Franchi, Francesco  ( UNIVERSITY OF FLORIDA JACKSONVILLE , Jacksonville , Florida , United States )
  • Keeley, Ellen  ( University of Florida , Gainesville , Florida , United States )
  • Mcdonough, Caitrin  ( UNIVERSITY OF FLORIDA , Gainesville , Florida , United States )
  • Beitelshees, Amber  ( University of Maryland , Baltimore , Maryland , United States )
  • Duarte, Julio  ( UNIVERSITY OF FLORDIA , Gainesville , Florida , United States )
  • Stouffer, George  ( UNIVERSITY NORTH CAROLINA , Chapel Hill , North Carolina , United States )
  • Author Disclosures:
    Jean Malave Rivera: DO NOT have relevant financial relationships | Dominick Angiolillo: DO have relevant financial relationships ; Consultant:Abbott, Amgen, Anthos, AstraZeneca, Bayer, Biosensors, Boehringer Ingelheim, Bristol-Myers Squibb, Chiesi, CSL Behring, Daiichi-Sankyo, Eli Lilly, Faraday, Haemonetics, Janssen, Merck, Novartis, Novo Nordisk, PhaseBio, PLx Pharma, Pfizer, and Sanofi:Active (exists now) | Craig Lee: DO NOT have relevant financial relationships | Larisa Cavallari: DO have relevant financial relationships ; Research Funding (PI or named investigator):Werfen:Active (exists now) | Cameron Thomas: No Answer | Joseph Rossi: No Answer | Francesco Franchi: DO have relevant financial relationships ; Consultant:Werfen:Active (exists now) ; Research Funding (PI or named investigator):PlX Pharma:Past (completed) | Ellen Keeley: DO NOT have relevant financial relationships | Caitrin McDonough: DO NOT have relevant financial relationships | Amber Beitelshees: No Answer | Julio Duarte: DO NOT have relevant financial relationships | George Stouffer: DO NOT have relevant financial relationships
Meeting Info:

Scientific Sessions 2025

2025

New Orleans, Louisiana

Session Info:

Multi-Omic Insights into Coronary Artery Disease 2

Monday, 11/10/2025 , 01:45PM - 02:45PM

Moderated Digital Poster Session

More abstracts on this topic:
APOL1 Risk Variants and Risk of Incident Atrial Fibrillation in Systolic Blood Pressure Intervention Trial (SPRINT)

Ahmad Muhammad, Kazibwe Richard, Mostafa Mohamed, Naeem Rimsha, Singh Sanjay, Bansal Nisha, Soliman Elsayed

Anticoagulation versus Antiplatelets Across Subgroups of Embolic Stroke of Undetermined Source: A Meta-Analysis of Seven Randomized Controlled Trials

Ghannam Malik, Elkind Mitchell, Tirschwell David, Poli Sven, Kamel Hooman, Yaghi Shadi, Al-qudah Abdullah, Alshaer Qasem, Kronmal Richard, Ntaios George, Longstreth W, Furie Karen, Saver Jeffrey, Kasner Scott

More abstracts from these authors:
Development and Validation of Machine Learning-based Ischemic Outcome Prediction Using Clinical and Genetic Data in Patients with Percutaneous Coronary Intervention

Grant Caroline, Rossi Joe, Stouffer George, Klee Eric, Gulati Rajiv, Lerman Amir, Rihal Charanjit, Farkouh Michael, Athreya Arjun, Pereira Naveen, Kowlgi Gurukripa, Lennon Ryan, Cavallari Larisa, Lee Craig, Beitelshees Amber, Angiolillo Dominick, Franchi Francesco, Duarte Julio

Translational Analysis of Multi-Omics Informed Candidate Genes Identifies Potential Treatment Targets in Heart Failure with Preserved Ejection Fraction

Flohr Rylie, Kuehl Victoria, Lteif Christelle, Gawronski Brian, Cavallari Larisa, Duarte Julio

You have to be authorized to contact abstract author. Please, Login
Not Available