Logo

American Heart Association

  71
  0


Final ID: Su2044

Triglyceride glucose index-BRI is better predicting cardiovascular disease incidence than TyG related indices: Findings from two nationwide prospective cohort study

Abstract Body (Do not enter title and authors here): Background: Elevated triglyceride-glucose (TyG) related indices, such as TyG-body mass index, TyG-waist-to-height ratio, TyG-waist circumference was associated with higher risk of cardiovascular disease (CVD). Body roundness index (BRI) is superior to traditional anthropometric indices in predicting metabolic syndrome. However, the association between the TyG-BRI, as a new metabolic indicator, and CVD incidence and whether its predicting effect of CVD incidence is better than other TyG related indices remains unknown.
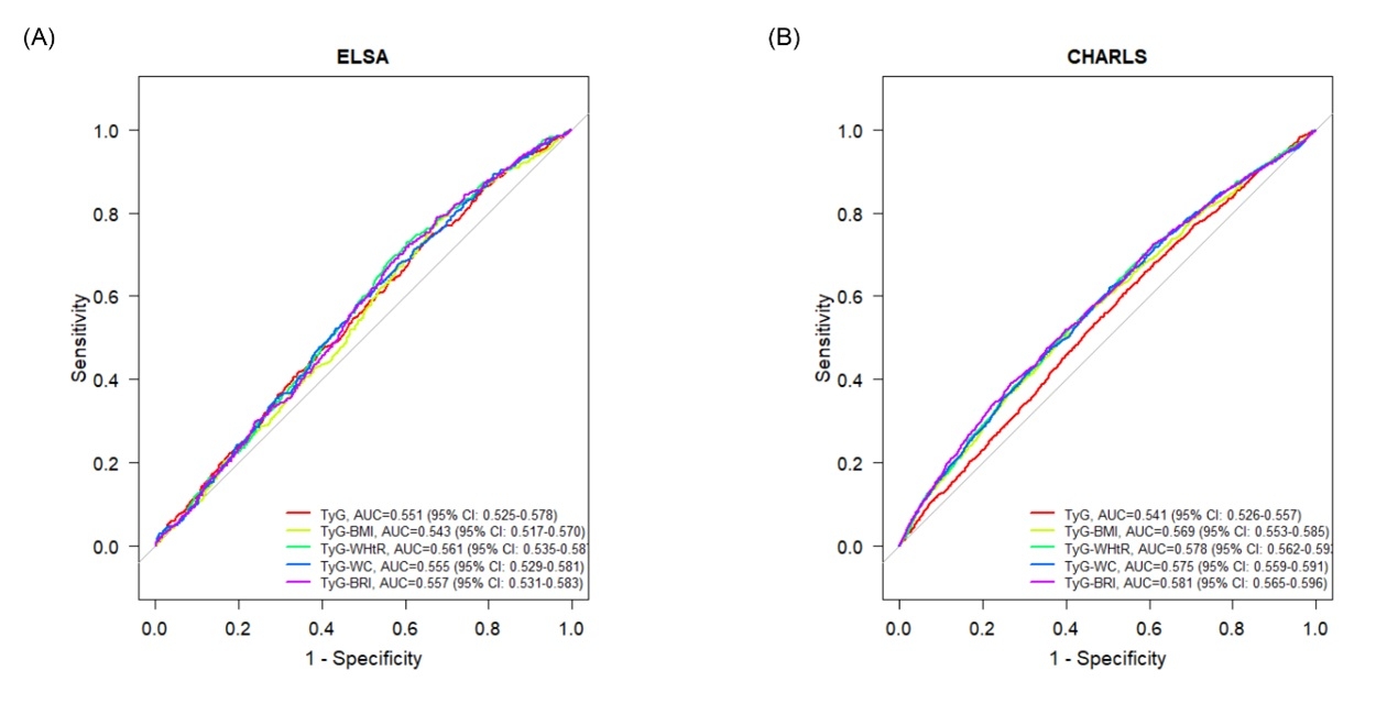
Method: The datasets analyzed in our study were derived from two nationally representative prospective cohort studies: English Longitudinal Study of Ageing (ELSA) and China Health and Retirement Longitudinal Study (CHARLS). TyG was calculated as ln [TG (mg/dL) × FBG (mg/dL)/2]; The TyG-BRI index is determined by TyG index * BRI index. The participants were classified into four groups (Q1, Q2, Q3, and Q4) by the quartiles of TyG-BRI index. We performed Cox proportional hazards models after adjusting for potential confounders to analyze the association between the TyG-BRI index and CVD incidence. Restricted cubic spline models (RCS) were used to explore the non-linear relationship between TyG-BRI and CVD incidence. Receiver operating characteristic (ROC) curve analysis to evaluate and compare the predictive performance of TyG-BRI and TyG-related indices for CVD assessment
Results: A total of 3,256 participants from ELSA (female: 54.0%, age more than 60: 63.7%) and 8,323 participants from CHARLS (female: 53.5%, age more than 60: 41.6%) were included in the analysis. The median follow-up periods were 12 years in the ELSA and 7 years in the CHARLS. After adjusting for potential confounding factors, the highest TyG-BRI group (Q4) had an increased risk of CVD compared with the Q1 group. (ELSA, HR 1.81, 95% CI 1.09–2.98; CHARLS, HR 1.57, 95% CI 1.32–1.87). An inverted U-shaped association was identified between TyG-BRI and CVD during the examination of nonlinear relationships (both P <0.05). TyG - BRI has a higher AUC of 0.557 (95% CI: 0.531 - 0.583) in ELSA and AUC of 0.581 (95% CI: 0.565 - 0.596) in CHARLS than other TyG-related indices in predicting CVD incidence.
Conclusions: Elevated TyG-BRI levels was associated with higher risk of incident CVD. TyG-BRI offers a new tool for early risk identification, and TyG-BRI had a better predictive ability than other TyG- related indices in predicting CVD incidence.
  • Li, Xicong  ( Kunming Medical University , Kunming , China )
  • Lu, Lifei  ( The First Affiliated Hospital of Guangzhou Medical University , Guangzhou , China )
  • Chen, Yubiao  ( The First Affiliated Hospital of Guangzhou Medical University , Guangzhou , China )
  • Liu, Baiyun  ( The First Affiliated Hospital of Guangzhou Medical University , Guangzhou , China )
  • Liu, Bei  ( 920th Hospital of Joint Logistics Support Force, PLA , Kunming , China )
  • Guo, Ruiwei  ( 922th Hospital of Joint Logistics Support Force, PLA , Hengyang , China )
  • Author Disclosures:
    Xicong Li: DO NOT have relevant financial relationships | Lifei Lu: No Answer | Yubiao Chen: No Answer | Baiyun Liu: No Answer | Bei Liu: No Answer | Ruiwei Guo: No Answer
Meeting Info:

Scientific Sessions 2025

2025

New Orleans, Louisiana

Session Info:

Emerging Metabolic Predictors of Cardiovascular Risk

Sunday, 11/09/2025 , 11:30AM - 12:30PM

Abstract Poster Board Session

More abstracts on this topic:
A human cardiomyocyte model of CD36 haploinsufficiency uncovers fatty acid oxidation deficits driving dilated cardiomyopathy

Al Sayed Zeina, Klattenhoff Carla, Aragam Krishna, Ellinor Patrick, Willcox Jon, Zheng Alice, Koledova Vera, Srivastava Salil, Yin Xiaofei, Chaffin Mark, Rigaud Vagner, Kovacs-bogdan Erika

Abundance Of Long-Chain Acylcarnitines As a Key Regulator Of Metabolic Reprogramming During Postnatal Cardiac Maturation In Mice

Ramasamy Saminathan, Shrestha Pratikshya, Muthu Sakthijothi, Tran Zinnia, Velayutham Murugesan, Sundararajan Venkatesh

You have to be authorized to contact abstract author. Please, Login
Not Available