Logo

American Heart Association

  69
  0


Final ID: MP1508

The Impact of Inflammatory Cumulative Burden on the Risk of Metabolic Dysfunction-Associated Steatotic Liver Disease

Abstract Body (Do not enter title and authors here): Background:
Metabolic dysfunction-associated steatotic liver disease (MASLD) has been a significant global public health challenge, with chronic inflammation playing a central role in its pathogenesis. The cumulative impact of long-term low-grade inflammation, defined as inflammatory cumulative burden, on MASLD risk remains unknown.
Methods:
This prospective cohort study analyzed 2,126 adults without baseline MASLD from the Tongzhou cohort study (ClinicalTrials.gov Identifier: NCT05156580), who underwent annual health examinations from 2016 to 2019 at Yongshun Community Health Center in Beijing, China. Integrated inflammatory cumulative burden was quantified using a composite score (range: 5–20) derived from five traditional inflammatory biomarkers: platelet count, neutrophil count, lymphocyte count, monocyte count, and C-reactive protein (CRP). Multivariable Cox proportional hazards regression assessed associations between the both integrated and individual inflammatory cumulative burden and MASLD risk. Restricted cubic spline (RCS) analyses evaluated dose-response relationships, and subgroup analyses tested interactions by sex, age, and body mass index (BMI).
Results:
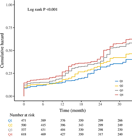
During a median follow-up of 27 months, higher inflammatory burden scores were associated with increased cumulative MASLD risk. Each 1-standard deviation (SD) increase in the integrated score elevated MASLD risk by 16% (adjusted HR, 1.16; 95% CI, 1.08–1.23; P < 0.001), with the highest quartile (Q4) exhibiting a 39% higher risk than the lowest (Q1) (adjusted HR, 1.39; 95% CI, 1.16–1.68; P < 0.001). RCS analysis confirmed a linear positive trend between the integrated score and MASLD risk (P for overall trend < 0.001; P for nonlinearity = 0.343). The cumulative burden of individual inflammatory markers was positively correlated with the MASLD risk. Subgroup analyses revealed no significant interactions by sex, age, or BMI (all P for interaction > 0.05).
Conclusion:
Inflammatory cumulative burden represents a risk factor for MASLD onset. Higher integrated and individual inflammatory cumulative burden is independently associated with increased MASLD risk. These findings enhance our understanding of MASLD pathogenesis and offer guidance for early identification, prevention, and intervention, highlighting the need to reduce chronic inflammation in prevention strategies.
  • Zhao, Yu  ( Capital Medical University Affiliated Beijing Friendship Hospital , Beijing , Beijing , China )
  • Chen, Weihua  ( Capital Medical University Affiliated Beijing Friendship Hospital , Beijing , Beijing , China )
  • Li, Weilan  ( Capital Medical University Affiliated Beijing Friendship Hospital , Beijing , Beijing , China )
  • Li, Zeya  ( Capital Medical University Affiliated Beijing Friendship Hospital , Beijing , Beijing , China )
  • Du, Dongjie  ( Capital Medical University Affiliated Beijing Friendship Hospital , Beijing , Beijing , China )
  • Du, Yao  ( Capital Medical University Affiliated Beijing Friendship Hospital , Beijing , Beijing , China )
  • Huang, Rongchong  ( Capital Medical University Affiliated Beijing Friendship Hospital , Beijing , Beijing , China )
  • Author Disclosures:
    Yu Zhao: No Answer | Weihua Chen: No Answer | Weilan Li: No Answer | Zeya Li: No Answer | Dongjie Du: No Answer | Yao Du: No Answer | Rongchong Huang: DO NOT have relevant financial relationships
Meeting Info:

Scientific Sessions 2025

2025

New Orleans, Louisiana

Session Info:

Prevention Potpourri: Trends, Risks, and Therapies in CVD Prevention

Sunday, 11/09/2025 , 03:15PM - 04:25PM

Moderated Digital Poster Session

More abstracts on this topic:
A Mast Cell-Specific Receptor Mediates Post-Stroke Brain Inflammation Via a Dural-Brain Axis

Kothari Ruchita, Caplan Justin, Gonzalez L. Fernando, Jackson Christopher, Bettegowda Chetan, Huang Judy, Koehler Raymond, Tamargo Rafael, Xu Risheng, Dong Xinzhong, Abdulrahim Mostafa, Oh Hyun Jong, Capuzzi Daniel, Nair Sumil, Zhang Yaowu, Limjunyawong Nathachit, Saini Sarbjit, Kim Jennifer

A Metabolomic Study of Cardiac Dysfunction in Hyperglycemia

Yoshida Yilin, Qi Qibin, Cheng Susan, Kaplan Robert, Rodriguez Carlos, Shah Amil, Yu Bing, Nguyen Ngoc Quynh, Moon Eun Hye, Casey Rebholz, Skali Hicham, Arthur Victoria, Echouffo Justin, Ballantyne Christie, Selvin Elizabeth

You have to be authorized to contact abstract author. Please, Login
Not Available