Logo

American Heart Association

  84
  0


Final ID: 4358117

Hyperoxia During Cardiopulmonary Bypass in Neonatal Congenital Heart Surgery is Associated with Worse Clinical Outcomes: A Multi-Institutional Study

Abstract Body (Do not enter title and authors here): Background: Neonates undergoing cardiac surgery with cardiopulmonary bypass (CPB) may be exposed to supraphysiologic oxygen (O2) concentrations, termed hyperoxia, which has been associated with worse outcomes in single center studies. We aimed to describe variation in oxygen exposure during CPB within and across centers and determine if hyperoxia was associated with worse outcomes in a multicenter cohort of neonates undergoing cardiac surgery.
Methods: We performed a retrospective study across 29 centers enrolled in CoRe-PCICS: Collaborative Research from the Pediatric Cardiac Intensive Care Society. Neonates (< 30d) who underwent Society of Thoracic Surgery STAT category 2–5 surgery with CPB between 01/2021 and 12/2022 were included. Clinical outcomes of interest were operative mortality and the composite outcome of major adverse cardiovascular events (MACE), including: cardiac arrest, extracorporeal support, stroke, and operative mortality. Logistic regression was performed to determine association between median PaO2 during CPB and outcomes. Post-hoc subset analyses were performed on neonates with single ventricle (SV) anatomy.
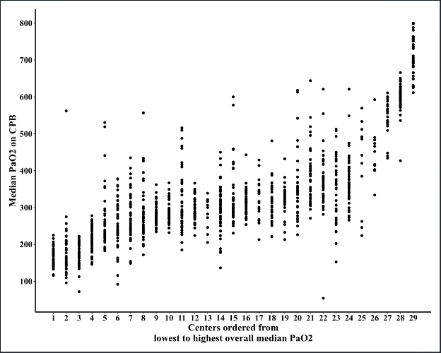
Results: We reviewed 1,175 neonates (median 48 per center), including 357 with SV anatomy. Variation in O2 exposure during CPB is shown in Figure 1. There were 54 mortalities (5%) (Figure 2) and 203 MACE (17%) in total and 35 mortalities (10%) and 111 MACE (31%) in patients with SV anatomy. We observed no mortalities in neonates with median PaO2 < 200mmHg (n=161). Analysis identified a median PaO2 cut point of 221 mmHg as having modest predictive value for mortality (96% sensitivity, 19% specificity, Youden’s index score 0.16). In multivariate regression, hyperoxia (median PaO2 > 221mmHg) was associated with mortality and MACE, controlling for birth weight, ventricular anatomy, non-cardiac anomalies, and CPB duration, however, not associated when also controlling for center. In a similar model among neonates with SV anatomy, hyperoxia was associated with mortality (p=0.022) and MACE (p=0.008) (Table 1).
Conclusions: In a multicenter study of neonates who underwent cardiac surgery, variation of O2 exposure during CPB was apparent within and across centers and supraphysiologic PaO2 values were common. Hyperoxia was associated with worse morbidity and mortality, particularly in neonates with SV anatomy. These findings underscore the need for a trial to determine if conservative oxygen titration during CPB leads to improved outcomes.
  • Beshish, Asaad  ( EMORY UNIVERSITY , Atlanta , Georgia , United States )
  • Kwiatkowski, David  ( LUCILE PACKARD STANFORD , Palo Alto , California , United States )
  • Sznycer-taub, Nathaniel  ( UNIVERSITY MICHIGAN , Ann Arbor , Michigan , United States )
  • Costello, John  ( Medical Univ. of South Carolina , Charleston , South Carolina , United States )
  • Jergel, Andrew  ( Emory University , Atlanta , Georgia , United States )
  • Gillespie, Scott  ( EMORY UNIVERSITY , Atlanta , Georgia , United States )
  • Cashen, Katherine  ( Duke University School of Medicine , Durham , North Carolina , United States )
  • Asfari, Ahmed  ( University of Alabama at Birmingham , Birmingham , Alabama , United States )
  • Batsis, Maria  ( LUCILE PACKARD STANFORD , Palo Alto , California , United States )
  • Buckley, Jason  ( Medical Univ. of South Carolina , Charleston , South Carolina , United States )
  • Chlebowski, Meghan  ( Cincinnati Children's Hospital , Cincinnati , Ohio , United States )
  • Flores, Saul  ( Texas Children's Hospital , Houston , Texas , United States )
  • Goldshtrom, Nimrod  ( Columbia University Irving Medical , New York , New York , United States )
  • Migally, Karl  ( Northwestern, Lurie Childrens , Chicago , Illinois , United States )
  • Mills, Kimberly  ( Boston Children's Hospital , Boston , Massachusetts , United States )
  • Radman, Monique  ( Seattle Children's Hospital , Seattle , Washington , United States )
  • Reddy, Chetana  ( St. Louis University School of Medicine , St. Louis , Missouri , United States )
  • Shutes, Brittany  ( Nationwide Children’s Hospital and the Ohio State University College of Medicine , Columbus , Ohio , United States )
  • Riley, Christine  ( Children's National Hospital , Silver Spring , Maryland , United States )
  • Suguna Narasimhulu, Sukumar  ( Shands Hospital for Children , Gainesville , Florida , United States )
  • Mueller, Dana  ( Rady Children's , San Diego , California , United States )
  • Amula, Venugopal  ( University of Utah , SLC , Utah , United States )
  • Venkitachalam, Raji  ( Medical College of Wisconsin , Milwaukee , Wisconsin , United States )
  • Joy, Brian  ( University of Minnesota Medical School , Minneapolis , Minnesota , United States )
  • Karki, Karan  ( UTHSC , Memphis , Tennessee , United States )
  • Leopold, Scott  ( University of Wisconsin Schol of Medicine and Public Health , Madison , Wisconsin , United States )
  • Schramm, Jennifer  ( Johns Hopkins University , Baltimore , Maryland , United States )
  • Capone, Christine  ( Zucker School of Medicine at Hofstra/Northwell , New Hyde Park , New York , United States )
  • Aydin, Scott  ( Icahn School of Medicine at Mount Sinai , New York , New York , United States )
  • Bakar, Adnan  ( Albany Medical College , Albany , New York , United States )
  • Leong, Kieran  ( University of North Carolina School of Medicine , Chapel Hill , North Carolina , United States )
  • Kulikowska, Agnieszka  ( University of Illinois College of Medicine at Peoria/Children’s Hospital of Illinois , Peoria , Illinois , United States )
  • Mastropietro, Christopher  ( Indiana University School of Medicine , Indianapolis , Illinois , United States )
  • Author Disclosures:
    Asaad Beshish: DO NOT have relevant financial relationships | Jason Buckley: DO NOT have relevant financial relationships | Meghan Chlebowski: No Answer | Saul Flores: DO NOT have relevant financial relationships | Nimrod Goldshtrom: DO NOT have relevant financial relationships | Karl Migally: No Answer | Kimberly Mills: No Answer | Monique Radman: DO NOT have relevant financial relationships | Chetana Reddy: No Answer | Brittany Shutes: No Answer | Christine Riley: DO NOT have relevant financial relationships | David Kwiatkowski: DO have relevant financial relationships ; Consultant:Chiesi USA:Active (exists now) | Sukumar Suguna Narasimhulu: No Answer | Dana Mueller: DO NOT have relevant financial relationships | Venugopal Amula: DO NOT have relevant financial relationships | Raji Venkitachalam: No Answer | Brian Joy: DO NOT have relevant financial relationships | Karan Karki: DO NOT have relevant financial relationships | Scott Leopold: DO NOT have relevant financial relationships | Jennifer Schramm: DO NOT have relevant financial relationships | Christine Capone: DO NOT have relevant financial relationships | Scott Aydin: No Answer | Nathaniel Sznycer-Taub: DO NOT have relevant financial relationships | Adnan Bakar: DO NOT have relevant financial relationships | Kieran Leong: No Answer | Agnieszka Kulikowska: No Answer | Christopher Mastropietro: DO NOT have relevant financial relationships | John Costello: DO NOT have relevant financial relationships | Andrew Jergel: No Answer | Scott Gillespie: DO NOT have relevant financial relationships | Katherine Cashen: No Answer | Ahmed Asfari: No Answer | Maria Batsis: DO NOT have relevant financial relationships
Meeting Info:

Scientific Sessions 2025

2025

New Orleans, Louisiana

Session Info:

Young Hearts Early Career Investigator Award Competition

Saturday, 11/08/2025 , 03:15PM - 04:30PM

Abstract Oral Session

More abstracts on this topic:
Acoramidis Reduces All-Cause Mortality (ACM) and Cardiovascular-Related Hospitalization (CVH): Initial Outcomes From the ATTRibute-CM Open-Label Extension (OLE) Study

Judge Daniel, Masri Ahmad, Obici Laura, Poulsen Steen, Sarswat Nitasha, Shah Keyur, Soman Prem, Cao Xiaofan, Wang Kevin, Pecoraro Maria, Tamby Jean-francois, Gillmore Julian, Katz Leonid, Fox Jonathan, Maurer Mathew, Alexander Kevin, Ambardekar Amrut, Cappelli Francesco, Fontana Marianna, Garcia-pavia Pablo, Grogan Martha, Hanna Mazen

Efficacy of Restrictive versus Liberal Oxygenation in Patients undergoing Coronary Artery Bypass Grafting or Aortic Valve Replacement – a randomized clinical trial

Wiberg Sebastian, Boesgaard Soeren, Hassager Christian, Kober Lars, Nilsson Jens Christian, Moeller Christian Holdflod, Kjaergaard Jesper, Mikkelsen Astrid, Møller-sørensen Peter Hasse, Olsen Peter Skov, Høfsten Dan, Ravn Jesper, Ravn Hanne Berg

More abstracts from these authors:
Shock Teams and Protocols

Costello John, Kanwar Manreet, Gutsche Jacob

Fontan-Related Lymphatic Complications are Associated with Extracardiac Outcomes and Morbidity

Boyd Riley, Laternser Christina, Patel Shivani, Migally Karl, Patel Sheetal

You have to be authorized to contact abstract author. Please, Login
Not Available