Logo

American Heart Association

  87
  0


Final ID: MP1702

Impact of Mitral Valve Intervention and Frailty on Outcomes of Severe Mitral Regurgitation due to Severe Mitral Annular Calcification

Abstract Body (Do not enter title and authors here): Background:
Mitral annular calcification (MAC) is the degenerative deposition of calcium in the fibrous mitral annulus, and is increasingly associated with cardiovascular morbidity and mortality. It may lead to mitral stenosis or mitral regurgitation (MR), but outcomes of severe MR due to MAC remain poorly defined. This study evaluated the prognosis of patients with severe MR due to MAC and assessed the predictive value of comorbidities and frailty.
Methods:
We conducted a single-center retrospective cohort study. Patients with severe MAC were identified by echocardiographic review, and those with isolated severe MR were included. The primary outcome was all-cause mortality. Charlson Comorbidity Index (CCI), Society of Thoracic Surgeons (STS) score, and frailty score were recorded. Frailty was defined using a 3-point index: one point each for low hemoglobin, low albumin, and physical inactivity. Comprehensive echocardiographic data were collected.
Results:
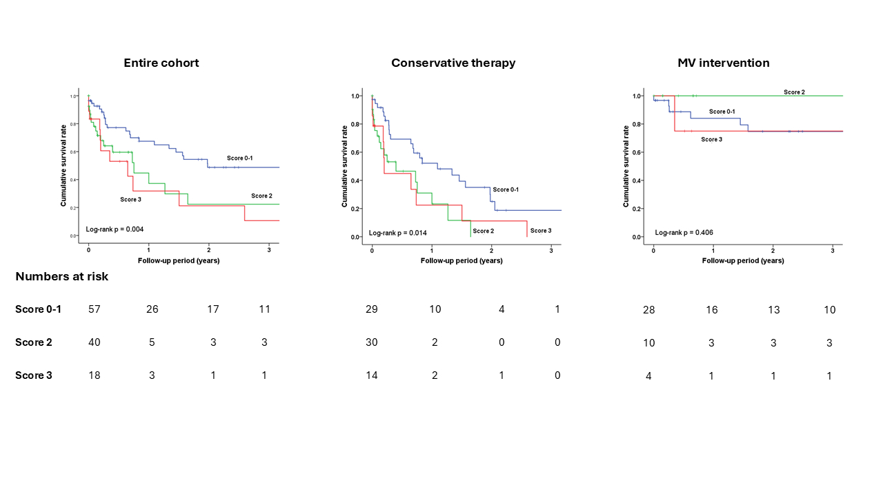
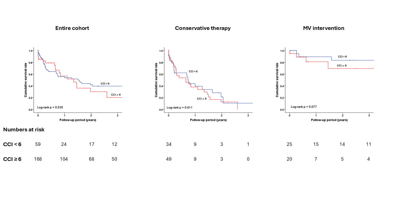
From 2010 to 2023, 10,061 patients had severe MAC. After exclusions, 128 with isolated severe MR were analyzed. Median follow-up was 134 days (IQR: 33–1,812). Median age was 81 years (IQR: 71–88), and 35% were male. Mean LVEF was 61% ± 13%; mitral valve area 1.9 ± 0.49 cm2; MR volume 60 ± 20.8 mL; RVSP 54 mmHg (IQR: 42–71). Mean CCI was 5.7 ± 2.0; frailty 1.46 ± 0.98; STS score 9.6% ± 7.1. A total of 45 patients (35.2%) underwent mitral valve (MV) intervention; 83 (64.8%) received conservative management. STS and frailty scores were higher in the medical group (STS: 11.4% vs. 6.2%, p < 0.001; frailty score: 1.63 vs. 1.17, p = 0.014). CCI trended higher in the medical group (5.9 vs. 5.2, p = 0.053). In the intervention group, 37 had MV replacement (34 with bioprosthetic), 5 had repair, and 3 had percutaneous mitral clip. Overall, 63 patients (49.2%) died. MV intervention was associated with lower mortality (p < 0.001), including after propensity matching. Frailty, but not CCI, predicted mortality (p = 0.004), especially in the medical group (p = 0.014), but not in the surgical group (p = 0.406). In the surgical group, lower STS scores were linked to better outcomes (p = 0.037). On multivariable analysis, frailty independently predicted mortality (HR: 1.472; 95% CI: 1.115–1.945), and MV intervention reduced mortality risk (HR: 0.168; 95% CI: 0.073–0.387).
Conclusion:
Frailty, but not CCI, independently predicted mortality. MV intervention improved survival in selected patients with severe MR due to MAC.
  • Al Zein, Mohammad  ( Cleveland Clinic , Cleveland , Ohio , United States )
  • Okushi, Yuichiro  ( Cleveland Clinic , Cleveland , Ohio , United States )
  • Unai, Shinya  ( Cleveland Clinic , Cleveland , Ohio , United States )
  • Pettersson, Gosta  ( CLEVELAND CLINIC FOUNDATION , Cleveland , Ohio , United States )
  • Elgharably, Haytham  ( Cleveland Clinic , Cleveland , Ohio , United States )
  • Gillinov, A  ( CLEVELAND CLINIC , Cleveland , Ohio , United States )
  • Grimm, Richard  ( CLEVELAND CLINIC , Chagrin Falls , Ohio , United States )
  • Xu, Bo  ( Cleveland Clinic , Cleveland , Ohio , United States )
  • Author Disclosures:
    Mohammad Al Zein: DO NOT have relevant financial relationships | Yuichiro Okushi: DO NOT have relevant financial relationships | Shinya Unai: DO have relevant financial relationships ; Consultant:Edwards:Active (exists now) ; Consultant:Artivion:Active (exists now) ; Consultant:Lifenet:Active (exists now) | Gosta Pettersson: No Answer | Haytham Elgharably: DO have relevant financial relationships ; Speaker:Edward's LifeSciences:Active (exists now) ; Speaker:Artivion:Active (exists now) ; Speaker:LifeNet Health:Active (exists now) | A Gillinov: DO have relevant financial relationships ; Consultant:Edwards Lifesciences, Medtronic, Abbott, AtriCure, Artivion, ClearFlow, Johnson and Johnson, Corcym, Baxter:Active (exists now) | Richard Grimm: DO NOT have relevant financial relationships | Bo Xu: DO have relevant financial relationships ; Speaker:Bristol Myers Squibb:Active (exists now)
Meeting Info:

Scientific Sessions 2025

2025

New Orleans, Louisiana

Session Info:

Mitral Valve Disease in Heart Failure and Atrial Fibrillation: A Hemodynamic Nexus

Sunday, 11/09/2025 , 03:15PM - 04:30PM

Moderated Digital Poster Session

More abstracts on this topic:
Acoramidis Reduces All-Cause Mortality (ACM) and Cardiovascular-Related Hospitalization (CVH): Initial Outcomes From the ATTRibute-CM Open-Label Extension (OLE) Study

Judge Daniel, Masri Ahmad, Obici Laura, Poulsen Steen, Sarswat Nitasha, Shah Keyur, Soman Prem, Cao Xiaofan, Wang Kevin, Pecoraro Maria, Tamby Jean-francois, Gillmore Julian, Katz Leonid, Fox Jonathan, Maurer Mathew, Alexander Kevin, Ambardekar Amrut, Cappelli Francesco, Fontana Marianna, Garcia-pavia Pablo, Grogan Martha, Hanna Mazen

Association of Structural Remodeling and Mitral Annular Disjunction with Significant Premature Ventricular Contraction Burden in Patients with Mitral Valve Prolapse: A Cardiac Magnetic Resonance Imaging Study

Calcagno Tess, Kwon Deborah, Wang Tom Kai Ming, Kalahasti Vidyasagar, Santangeli Pasquale, Wazni Oussama, Griffin Brian, Chen David, Nguyen Christopher, Sroubek Jakub

More abstracts from these authors:
Prognostic Impact of Right Ventricle-Pulmonary Artery Coupling in Patients with Severe Calcific Mitral Stenosis

Okushi Yuichiro, Unai Shinya, Pettersson Gosta, Elgharably Haytham, Gillinov A, Grimm Richard, Griffin Brian, Xu Bo

Impact of Left Atrial Strain on Outcomes of Severe Mitral Regurgitation due to Severe Mitral Annular Calcification

Al Zein Mohammad, Okushi Yuichiro, Unai Shinya, Pettersson Gosta, Elgharably Haytham, Gillinov A, Grimm Richard, Griffin Brian, Xu Bo

You have to be authorized to contact abstract author. Please, Login
Not Available