Logo

American Heart Association

  34
  0


Final ID: Mo2109

Development and Validation of a Simplified Martin/Hopkins Low-Density Lipoprotein Cholesterol Equation Using Machine Learning

Abstract Body (Do not enter title and authors here): Introduction/Background: The Martin-Hopkins equation is widely validated and used to estimate low-density lipoprotein cholesterol (LDL-C). However, some laboratories find implementation challenging and a machine learning-based approach may help overcome this by simplifying implementation to a single equation.
Research Question/Hypothesis: This study aims to develop a machine-learning based equation for estimating LDL-C using multivariate adaptive regression spline (MARS) and compare its performance to the Friedewald (LDL-CF), Sampson-NIH (LDL-CS), and original Martin-Hopkins (LDL-CMH) equations.
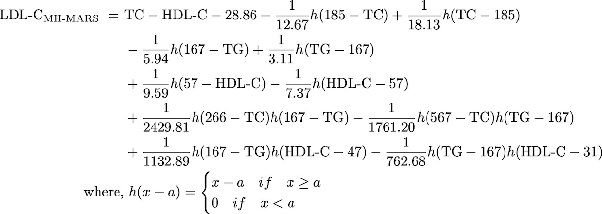
Methods/Approach: We used data from the Very Large Database of Lipids (VLDbL), which includes lipid measurements collected using VAP ultracentrifugation between October 1, 2015, and June 30, 2019. The study included 4,939,528 patients with complete lipid panel data, who were randomly assigned to a training set (n=3,292,889) and a test set (n=1,646,639). A MARS model was developed to estimate LDL-C (Figure 1). The accuracy of LDL-C estimation was assessed using bias, root mean squared error (RMSE), and concordance with guideline-based categories between estimated and ultracentrifugation-measured LDL-C values.
Results/Data: The new equation (LDL-CMH-MARS) showed a very low median bias (-0.14 mg/dL, IQR: -2.11–1.78), comparable to LDL-CMH (0.26 mg/dL, IQR: -1.62–2.37). The median bias was higher for LDL-CS (1.72 mg/dL, IQR: -1.29–4.14) and LDL-CF (-0.20 mg/dL, IQR: -4.40–2.60). The median difference between the MARS and original Martin-Hopkins equations was -0.51 mg/dL (IQR: -1.24–0.04), further suggesting comparability between the two methods. RMSE was lowest for LDL-CMH-MARS (4.68) and LDL-CMH (4.90), followed by LDL-CS (5.79) and LDL-CF (7.25). The proportion of patients correctly classified to clinical categories was nearly identical for LDL-CMH-MARS (89.69%) and LDL-CMH (89.60%), but lower for LDL-CS (86.28%) and LDL-CF (83.10%) (Figure 2). LDL-CS and LDL-CF underestimated LDL-C in 39% and 60% when classifying LDL-C <70 mg/dL in patients with triglyceride concentrations of 200–399 mg/dL, whereas this improved to <18% with both LDL-CMH-MARS and LDL-CMH (Figure 3).
Conclusions: The new machine learning-based LDL-C equation provides comparable results to the original Martin-Hopkins method while simplifying implementation to a single equation. The implementation of LDL-CMH-MARS would be straightforward with a single line of code in laboratory information systems.
  • Park, Jihwan  ( Johns Hopkins Bloomberg School of Public Health , Baltimore , Maryland , United States )
  • Fan, Leon  ( Johns Hopkins School of Medicine , Baltimore , Maryland , United States )
  • Marzinke, Mark  ( Johns Hopkins School of Medicine , Baltimore , Maryland , United States )
  • Sokoll, Lori  ( Johns Hopkins School of Medicine , Baltimore , Maryland , United States )
  • Muthukumar, Alagarraju  ( UT Southwestern Medical Center , Dallas , Texas , United States )
  • Martin, Seth  ( Johns Hopkins School of Medicine , Baltimore , Maryland , United States )
  • Author Disclosures:
    Jihwan Park: DO NOT have relevant financial relationships | Leon Fan: No Answer | Mark Marzinke: No Answer | Lori Sokoll: DO NOT have relevant financial relationships | Alagarraju Muthukumar: DO NOT have relevant financial relationships | Seth Martin: DO have relevant financial relationships ; Consultant:Amgen, Arrowhead Pharmaceuticals, AstraZeneca, Care Access, Chroma, Bristol Myers Squibb, Heartflow, Kaneka, Merck, NewAmsterdam Pharma, Novartis, Novo Nordisk, Premier, Sanofi, Verve Therapeutics, :Past (completed) ; Ownership Interest:Corrie Health, Prevent Medical:Active (exists now) ; Other (please indicate in the box next to the company name):American Heart Association (Immediate Past Chair, EPI Statistics Committee):Active (exists now) ; Other (please indicate in the box next to the company name):National Lipid Association (SELA President):Active (exists now) ; Other (please indicate in the box next to the company name):Editorial Board Member (AJPC, EJPC, JCL):Active (exists now) ; Research Funding (PI or named investigator):National Institutes of Health, Patient-Centered Outcomes Research Institute, American Heart Association, American College of Cardiology:Active (exists now) ; Employee:Johns Hopkins School of Medicine :Active (exists now) ; Other (please indicate in the box next to the company name):National Institutes of Health Data Safety and Monitoring Board:Active (exists now)
Meeting Info:

Scientific Sessions 2025

2025

New Orleans, Louisiana

Session Info:

Lipid Management Today: Living Up to the Promise?

Monday, 11/10/2025 , 01:00PM - 02:00PM

Abstract Poster Board Session

More abstracts on this topic:
A Novel CRISPR based Epigenetic Silencer Potently, Durably, and Safely Reduces LDLc in Non-Human Primates at Therapeutically Relevant Doses

Duncan-lewis Christopher, Narsineni Lokesh, Karmarkar Maitreyee, Li Yuexuan, Krupa Oleh, Bucher Simon, Sharma Neel, Chang Han, Schulwach Keith, Ripley-phipps Sterling, Tran Vanessa, Fernandes Jason, Goh Natalie, Deiter Fred, Reimer Kirsten, Mrak Anna, Eggers Michelle, Sze Christie, Mirotsou Maria, Oresic Bender Kristina, Bardai Farah, Denny Sarah, Charles Emeric, Khakoo Aarif, Oakes Benjamin, Keller Steven, Alcantara-lee Raniel, Santamaria Carlos, Bale Shyam Sundhar, Kozy Heather, Corbo Lana

Apolipoprotein A1 infusion in patients with Acute Myocardial Infarction: A Systematic Review and Meta-analysis of randomized trials

Prata Alonzo, Gioli-pereira Luciana, Fukunaga Christian, Katsuyama Eric, Coan Ana Carolina, Scardini Pedro Gabriel, Petri Santos Pinheiro Rafael, Falco Neto Wilson, Fernandes Julia, Andrade Naieli

More abstracts from these authors:
From Evidence to Action: Bridging Gaps in Lipid Management Using Digital Technology & Telehealth

Martin Seth

Not All LDLs are Created Equal: Discordance Between Calculated LDL-C Estimates and Incident ASCVD in the Multi-Ethnic Study of Atherosclerosis

Canga Sophia, Quispe Renato, Muthukumar Alagarraju, Joshi Parag, Macpherson Nicholas, Vasquez Nestor, Khera Amit, Rohatgi Anand, Martin Seth, Jones Steven, Ayers Colby, Navar Ann Marie

You have to be authorized to contact abstract author. Please, Login
Not Available