Logo

American Heart Association

  62
  0


Final ID: MP156

Lp(a) is Associated with Coronary Inflammation in People with HIV with Undetectable HIV RNA

Abstract Body (Do not enter title and authors here): Background
People with HIV (PWH) remain at elevated risk for cardiovascular disease despite control of traditional risk factors and effective antiretroviral therapy. Vascular inflammation is a proposed contributor to this residual risk. Perivascular fat attenuation index (FAI), derived from coronary computed tomography angiography (CCTA), is a validated imaging biomarker of coronary inflammation. Lipoprotein(a) [Lp(a)], elevated in PWH, carries oxidized phospholipids that may drive this residual risk. This study assessed the association of Lp(a) and statin use on coronary inflammation (FAI) in PWH with undetectable HIV RNA.

Research Questions
In PWH with undetectable HIV RNA, is Lp(a) associated with coronary inflammation (FAI)? Does statin use mitigate this association?

Methods
We evaluated 299 men with HIV (MWH) with undetectable HIV RNA (<50 copies/mL) from the Multicenter AIDS Cohort Study who underwent CCTA with FAI measurement. Lp(a) concentrations and other laboratory measures were obtained from the study visit closest to imaging. Associations were assessed using unadjusted and adjusted linear regression models with bootstrap 95% confidence intervals derived from 1000 replicates. Adjustments included age, race, statin use, BMI, diabetes, hypertension, and smoking history.

Results
The median age was 52 [47-57] years; 61.7% White individuals, and 29.7% Black individuals. The median Lp(a) was 26 [9-75] nmol/L and 34% were on statin therapy. 98% were receiving antiretroviral therapy (Table 1).
Among men with undetectable HIV, log[Lp(a)] was associated with LAD FAI in unadjusted (+3.21 HU; 95% CI: 1.60, 4.92; p=0.002) and adjusted models (+2.68 HU; 95% CI: 0.99, 4.48; p=0.008) (Table 2).
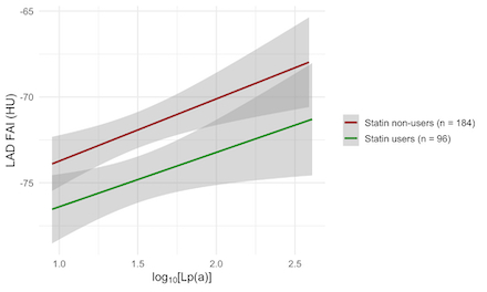
Statin use was associated with lower LAD FAI regardless of Lp(a) (-2.89 HU; 95% CI:-4.57, -1.11; p<0.001) and remained significant after further adjustment for age, race, and cardiovascular risk factors (-1.89 HU; 95% CI: -3.62, -0.30; p=0.024) (Figure 1).

Conclusion
These findings offer important insights regarding an inflammatory driver of residual cardiovascular risk in PWH. Coronary inflammation was present and associated with Lp(a), in individuals with undetectable HIV, independent of age, race, statin use, and cardiovascular risk factors. Statin use was associated with a lower LAD FAI regardless of Lp(a). These results highlight Lp(a) as a potential therapeutic target to reduce vascular inflammation and cardiovascular risk in PWH.
  • Nasrallah, Nadim  ( Johns Hopkins University School of Medicine , Baltimore , Maryland , United States )
  • Post, Wendy  ( Johns Hopkins University School of Medicine , Baltimore , Maryland , United States )
  • Antoniades, Charalambos  ( Radcliffe Department of Medicine, University of Oxford , Oxford , United Kingdom )
  • Leucker, Thorsten  ( Johns Hopkins University School of Medicine , Baltimore , Maryland , United States )
  • Harb, Tarek  ( Johns Hopkins University School of Medicine , Baltimore , Maryland , United States )
  • Atallah, Mark  ( Johns Hopkins University School of Medicine , Baltimore , Maryland , United States )
  • Gerstenblith, Gary  ( Johns Hopkins University School of Medicine , Baltimore , Maryland , United States )
  • Haberlen, Sabina  ( Johns Hopkins Bloomberg School of Public Health , Baltimore , Maryland , United States )
  • Kelesidis, Theodoros  ( David Geffen School of Medicine at the University of California , Los Angeles , California , United States )
  • Magnani, Jared  ( University of Pittsburgh , Pittsburgh , Pennsylvania , United States )
  • Stosor, Valentina  ( Feinberg School of Medicine, Northwestern University , Chicago , Illinois , United States )
  • Brown, Todd  ( Johns Hopkins University School of Medicine , Baltimore , Maryland , United States )
  • Author Disclosures:
    Nadim Nasrallah: DO NOT have relevant financial relationships | Wendy Post: DO NOT have relevant financial relationships | Charalambos Antoniades: No Answer | Thorsten Leucker: DO NOT have relevant financial relationships | Tarek Harb: DO NOT have relevant financial relationships | Mark Atallah: DO NOT have relevant financial relationships | Gary Gerstenblith: DO NOT have relevant financial relationships | Sabina Haberlen: No Answer | Theodoros Kelesidis: No Answer | Jared Magnani: DO NOT have relevant financial relationships | Valentina Stosor: DO NOT have relevant financial relationships | Todd Brown: No Answer
Meeting Info:

Scientific Sessions 2025

2025

New Orleans, Louisiana

Session Info:

Silent Signals: Detecting Risk Early Using Innovative Imaging and Biomarkers

Saturday, 11/08/2025 , 03:15PM - 04:25PM

Moderated Digital Poster Session

More abstracts on this topic:
Ceftriaxone To Prevent Pneumonia After Cardiac Arrest (PROTECT): A Pilot Randomized-Controlled Trial and Microbiome Assessment

Gagnon David, Pozzessere Nicholas, Callaway Clifton, Sawyer Douglas, Seder David B., Burkholder Kristin, Weissman Alexandra, Riker Richard, Ryzhov Sergey, May Teresa, Dekay Joanne, Knudsen Lacey, Moore Meagan

A Novel Approach to Manage Hypercholesterolemia: The Veterans Affairs Lipid Optimization Reimagined Quality Improvement (VALOR-QI) Program

Djousse Luc, Leesch Tharen, Pena David, Gaziano Michael, Ward Rachel, Wellman Helen, Yel Nedim, Santos Abigail, Delgrande Jen, Fink Abigail, Colson Kristin, Pan Eddie

More abstracts from these authors:
Changes in Lipoprotein(a) and Oxidized Phospholipids Are Associated with Myocardial Inflammation but Not Systemic Inflammatory Markers Following an Acute Myocardial Infarction

Atallah Mark, Nasrallah Nadim, Harb Tarek, Valenta Ines, Schindler Thomas, Wallace Amelia, Tsimikas Sotirios, Gerstenblith Gary, Leucker Thorsten

Lipoprotein(a) Levels and the Risk of Ventricular Arrhythmia: Insights from a Comprehensive Retrospective Cohort Study

Sani Maryam, Harb Tarek, Leucker Thorsten, Chrispin Jonathan

You have to be authorized to contact abstract author. Please, Login
Not Available