Logo

American Heart Association

  71
  0


Final ID: MP2066

Guideline-Directed Medical Therapy and Clinical Outcomes in African American Women with Congestive Heart Failure from Low- to Medium-Income Backgrounds at a Safety Net Hospital

Abstract Body (Do not enter title and authors here): Background: Heart failure among African American women represents a significant public health challenge. The high prevalence of comorbidities often necessitates selective implementation of guideline-directed medical therapy (GDMT). This study examines which medication classes should be prioritized in this vulnerable population.
Methods: We conducted a retrospective study of 283 African American women with heart failure admitted to Cape Fear Valley Medical Center, a safety-net hospital serving low-income patients in North Carolina (2021-2022). We analyzed relationships between GDMT regimens and clinical outcomes.
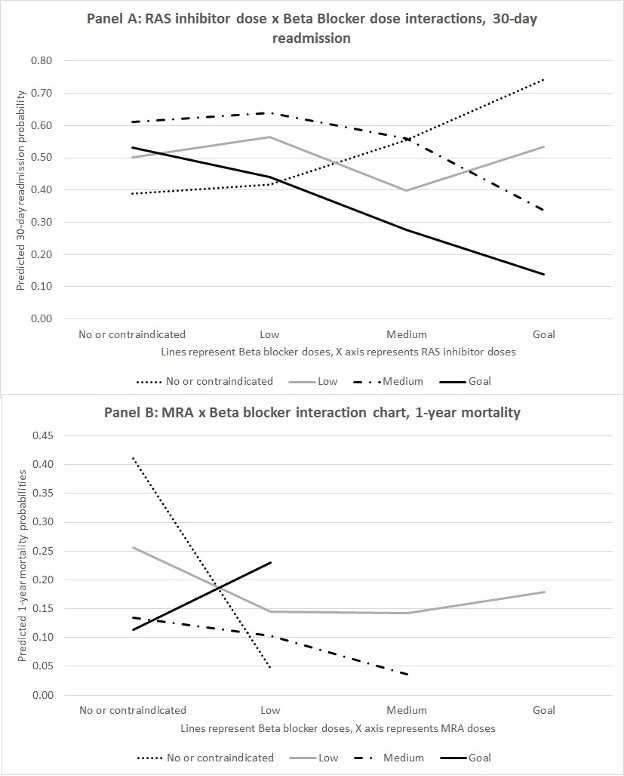
Results: Among patients, 50% experienced 30-day readmission, 57% 90-day readmission, and 23% died within 1 year. Medication utilization was suboptimal: 10% received goal doses of RAS inhibitors, 13% goal doses of beta blockers, 4% medium/goal doses of mineralocorticoid receptor antagonists (MRAs), and 11% SGLT2 inhibitors. Mean GDMT composite was 2.4±1.8, with only 8% achieving composite ≥5. Each one-point increase in GDMT composite reduced 30-day (OR=0.85, p=0.02) and 90-day readmission risk (OR=0.86, p=0.03). Higher GDMT composite was associated with decreased mortality in unadjusted analysis (OR=0.86, p=0.07). Concurrent optimization of RAS inhibitors and beta blockers reduced readmission risk (OR=0.70, p=0.04). Low-dose MRA lowered 30-day readmission (OR=0.27, p<0.01). Medium-dose beta blockers reduced 1-year mortality (OR=0.13, p=0.03), as did medium doses of MRA (OR<0.01, p<0.01).
Conclusions: Strategic prioritization of specific GDMT components improves outcomes in this population with multiple comorbidities. Each one-point increase in GDMT composite was associated with 15% reduced readmission risk. Beta blockers should be prioritized for mortality reduction, MRAs for both mortality and readmission reduction, and RAS inhibitors with beta blockers for reducing readmissions.
  • Rodriguez Mejia, Ricardo Antonio  ( Capefear Valey Medical Center , Fayetteville , North Carolina , United States )
  • Acker, Eric  ( Cape Fear Valley Health , Fayetteville , North Carolina , United States )
  • Abou-elmagd, Tark  ( Capefear Valey Medical Center , Fayetteville , North Carolina , United States )
  • Kammaripalle, Thirumala Keerthi Chandrika  ( cape fear valley medical center , Raeford , North Carolina , United States )
  • Rana, Humza  ( Capefear Valey Medical Center , Fayetteville , North Carolina , United States )
  • Author Disclosures:
    Ricardo Antonio Rodriguez Mejia : DO NOT have relevant financial relationships | Eric Acker: DO NOT have relevant financial relationships | Tark Abou-elmagd: DO NOT have relevant financial relationships | Thirumala Keerthi Chandrika Kammaripalle: DO NOT have relevant financial relationships | Humza Rana: No Answer
Meeting Info:

Scientific Sessions 2025

2025

New Orleans, Louisiana

Session Info:

Biological, Social, and Psychosocial Determinants of Cardiovascular Risk and Health Disparities

Monday, 11/10/2025 , 10:45AM - 11:55AM

Moderated Digital Poster Session

More abstracts on this topic:
A Simple One-Item Nursing Falls Assessment Predicts Outcomes For Patients With Stage D Heart Failure Undergoing Surgical Advanced Therapies

Salvador Vincent, Perez Jaime Abraham, Hudec Paige, Gorodeski Eiran, Oneill Thomas

A Machine Learning-Derived Socio-Environmental Risk Score More Accurately Predicts Cardiovascular Events and Better Addresses Health Inequities than Social Deprivation Index

Chen Zhuo, Nasir Khurram, Al-kindi Sadeer, Rajagopalan Sanjay, Ponnana Sai Rahul, Dazard Jean-eudes, Zhang Tong, Dong Weichuan, Okyere Robert, Sirasapalli Santosh, Deo Salil, Khraishah Haitham

More abstracts from these authors:
Impact of Type 2 Myocardial Infarction in Diabetic Ketoacidosis: Insights from a National Cohort

Momodu Ifeanyi, Pawar Shubhadarshini, Rodriguez Mejia Ricardo Antonio, Patil Nikita, Kammaripalle Thirumala Keerthi Chandrika, Rana Humza, Acker Eric, Mahankali Sridhar Arun Raghav

Efficacy of Beta-Blocker Therapy in Takotsubo Cardiomyopathy: A Systematic Review and Meta-Analysis

Rodriguez Mejia Ricardo Antonio, Dongol Merina, Gupta Ashish, Bahekar Amol, Singh Arminder

You have to be authorized to contact abstract author. Please, Login
Not Available