Logo

American Heart Association

  68
  0


Final ID: MP2134

Echocardiographic AMYLI Score in Systemic Light-Chain Amyloidosis: Clinical Relevance and Risk Stratification

Abstract Body (Do not enter title and authors here): Background: While the AMYLoidosis Index (AMYLI) has been extensively utilized for screening cardiac amyloidosis (CA). However, the relationship between this parameter and amyloid burden, as well as its prognostic value, remains elusive. Therefore, this study aimed to investigate the association between the AMYLI Score and amyloid burden and its prognostic value in patients with CA.
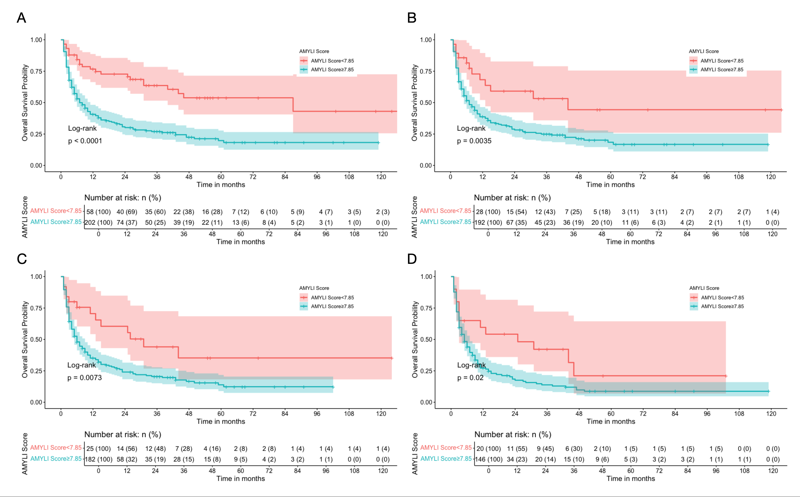
Methods: This single-center, prospective, observational study was conducted at West China Hospital, Sichuan University, from November 2011 to September 2023. A total of 307 newly-diagnosed biopsy-proven AL amyloidosis patients who underwent both echocardiography and cardiac magnetic resonance (CMR) imaging were enrolled. The AMYLI score was calculated via transthoracic echocardiography as the product of relative wall thickness (RWT) and E/e′. Lastly, parameters reflecting amyloid burden, such as late gadolinium enhancement, and extracellular volume (ECV), were calculated via CMR.
Results: The AMYLI score exhibited a moderately positive correlation with CMR parameters associated with amyloid burden (ECV; r = 0.57, P < 0.001). During a median follow-up of 42 (interquartile range: 35-49) months, 173 patients died. Meanwhile, an AMYLI score ≥ 7.85 demonstrated a strong predictive value for all-cause mortality [hazard ratio (HR) 2.80, 95% confidence interval (CI): 1.80-4.35, P < 0.001]. After adjusting for clinical (HR 2.01, 95% CI: 1.28-3,16, P = 0.001), biochemical (HR 1.64, 95% CI: 1.03-2.61, P = 0.026), echocardiographic (HR 1.99, 95% CI: 1.24-3.17, P = 0.002), CMR imaging-related (HR 1.92, 95% CI: 1.11-3.33, P = 0.014), and therapeutic (HR 1.79, 95% CI: 1.14-2.82, P = 0.007) factors, an AMYLI score ≥ 7.85 remained an independent prognostic factor. AMYLI score ≥ 7.85 added incremental prognostic value to conventional clinical and imaging risk factors.
Conclusions: The AMYLI score is a reliable indicator of amyloid burden in patients with CA and possesses independent prognostic value, offering an alternative and convenient echocardiography-based imaging marker for the risk stratification of CA patients.
  • Liang, Shichu  ( West China Hospital, Sichuan University , Chengdu , Sichuan , China )
  • Bi, Keying  ( West China Hospital, Sichuan University , Chengdu , Sichuan , China )
  • Wan, Ke  ( West China Hospital, Sichuan University , Chengdu , China )
  • Liu, Zhiyue  ( West China Hospital, Sichuan University , Chengdu , Sichuan , China )
  • Ghaithan, Saeed  ( West China Hospital, Sichuan University , Chengdu , Sichuan , China )
  • Sun, Jiayu  ( West China Hospital, Sichuan University , Chengdu , Sichuan , China )
  • Han, Yuchi  ( The Ohio State University , Columbus , Ohio , United States )
  • Huang, He  ( West China Hospital, Sichuan University , Chengdu , Sichuan , China )
  • Chen, Yucheng  ( West China Hospital, Sichuan University , Chengdu , Sichuan , China )
  • Author Disclosures:
    Shichu Liang: DO NOT have relevant financial relationships | Keying Bi: No Answer | Ke Wan: No Answer | Zhiyue Liu: No Answer | Saeed Ghaithan: No Answer | Jiayu Sun: No Answer | Yuchi Han: DO NOT have relevant financial relationships | He Huang: No Answer | Yucheng Chen: No Answer
Meeting Info:

Scientific Sessions 2025

2025

New Orleans, Louisiana

Session Info:

Echoes of Progress: Innovation, Automation and Disease Specific Insights

Monday, 11/10/2025 , 12:15PM - 01:30PM

Moderated Digital Poster Session

More abstracts on this topic:
Assessing the Role of Charlson Comorbidity Index in Predicting Mortality Among Patients Requiring Rapid Response Team within 24 Hours of Admission

Salamatbad Gidon, Palati Sai, Lin Kuan-yu, Leung Christian, Wang Cassie, Jassal Ajay, Li Shuojohn, Guntaka Saimanoj, Chang Joshua, Jnani Jack, Patel Pushpendra, Cyr Andrew, Weintraub Spencer, Griffin Matthew, Alvarez Villela Miguel, Pierce Matthew, Shknevskiy Shusterman Vlad, Bhatt Madhav, Suleman Saman, Nuvvula Sri, Lin Allan, Dahal Kripa, Elkhechen Nader

A Novel Echocardiography Risk Score Predicted Mortality In Patients With Heart Failure With Preserved Ejection Fraction.

Iwakura Katsuomi, Yoshio Yasumura, Hikoso Shungo, Okada Katsuki, Nakatani Daisaku, Sotomi Yohei, Sakata Yasushi, Tanaka Nobuaki, Okada Masato, Okamura Atsunori, Heitaro Watanabe, Seo Masahiro, Hayashi Takaharu, Yano Masamichi, Yamada Takahisa

More abstracts from these authors:
Atorvastatin and Pulse Wave Velocity in Anthracycline-based Chemotherapy

Juhasz Vencel, Han Yuchi, Ky Bonnie, Kwong Raymond, Januzzi James, Asnani Aarti, Mousavi Negareh, Redd Robert, Jerosch-herold Michael, Scherrer-crosbie Marielle, Neilan Tomas, Drobni Zsofia, Quinaglia Thiago, Gilman Hannah, Brendel Jan, Suero-abreu Giselle, Ghamari Azin, Heemelaar Julius, Neuberg Donna

Development and Validation of an Echocardiographic Nomogram for Identifying Cardiac Amyloidosis in Patients with Left Ventricular Hypertrophy

Liang Shichu, Liu Zhiyue, Chen Liping, Peng Ying, Huang He

You have to be authorized to contact abstract author. Please, Login
Not Available