Logo

American Heart Association

  175
  0


Final ID: EPI3

Adverse Childhood Experiences (ACEs) and Cardiovascular Health: Future of Families and Child Wellbeing Study (FFCWS) __PRESENT

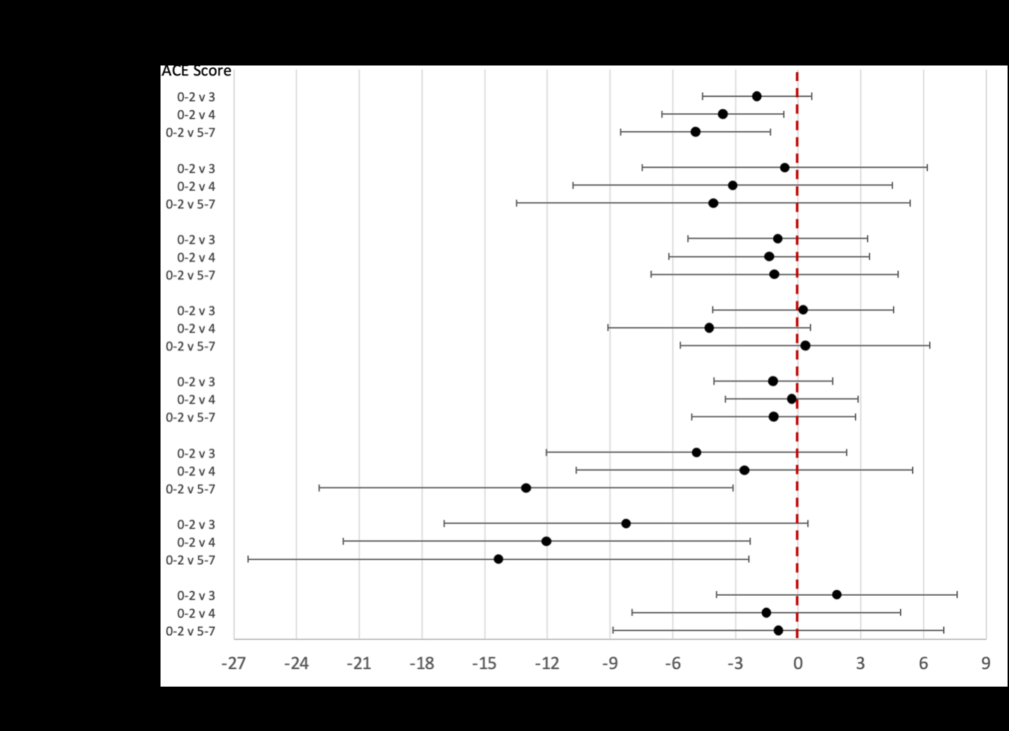
Abstract Body (Do not enter title and authors here): Introduction: Adverse childhood experiences (ACEs), usually measured retrospectively, are associated with long-term health. We examined associations of prospectively assessed ACEs with young-adult (YA) cardiovascular health (CVH). Methods: We included 1155 YAs with complete ACE assessments from baseline Y0 (birth), Y1, Y3, Y5, Y9, and who completed a CVH exam at Y22 in the FFCWS. An adversity score (AS) (range: 0-7) represented the number of ACE categories experienced by age 9 out of 7 ACE categories – emotional abuse and neglect; physical abuse and neglect; parental incarceration, parental substance use, and interpersonal violence. CVH was estimated using the Life’s Essential 8 (LE8) score (range: 0-100 points) overall and for each component, excluding sleep due to data unavailability. Linear regression models were adjusted for age and sex. Results: By age 9, 38% of YAs had experiences from 0-2 ACEs, 30% experienced 3, 21% experienced 4, and 11% experienced 5-7. People with higher ACE score were more likely to self-identify as Black compared to White, Hispanic, or other. In addition, higher AS correlated with lower BMI and higher nicotine use. Compared to individuals with a 0-2 AS, an AS of 4 was associated with a 3.6-point (CI: -6.5 to -0.7) lower (less favorable) LE8 score and an AS of 5-7 was associated with a 4.9-point (CI: -8.5 to -1.3) lower LE8 score. Among individual LE8 components, smoking and physical activity scores varied significantly by ACE score. Compared with an AS of 0-2, a score of 5-7 was associated with a 13.0-point (CI: -22.9 to -3.1) lower smoking score. For physical activity an AS of 4 and 5-7 were associated with a 12.1-point (CI: -21.8 to -2.3) and a 14.4-point (CI: -26.3 to -2.4) lower PA score, respectively. Conclusions: Higher level of childhood adversity at young ages were prospectively associated with lower LE8 scores and worse CVH in young adulthood. Understanding the prospective associations between childhood adversity and CVH can help identify higher risk populations and guide treatment recommendations.


  • Pedamallu, Havisha  ( Northwestern , Chicago , Illinois , United States )
  • Van Horn, Linda  ( Northwestern , Chicago , Illinois , United States )
  • Stein, James  ( Northwestern , Chicago , Illinois , United States )
  • Korcarz, Claudia  ( University of Wisconsin , Madison , Wisconsin , United States )
  • Hansen, Kristin  ( University of Wisconsin , Madison , Wisconsin , United States )
  • Mitchell, Colter  ( University of Michigan , Ann Arbor , Michigan , United States )
  • Heard-garris, Nia  ( Northwestern , Chicago , Illinois , United States )
  • Lloyd-jones, Donald  ( Northwestern , Chicago , Illinois , United States )
  • Allen, Norrina  ( Northwestern , Chicago , Illinois , United States )
  • Gauen, Abigail  ( Northwestern , Chicago , Illinois , United States )
  • Ning, Hongyan  ( Northwestern , Chicago , Illinois , United States )
  • Wilkins, John  ( Northwestern , Chicago , Illinois , United States )
  • Goldman, Noreen  ( Princeton , Princeton , New Jersey , United States )
  • Notterman, Daniel  ( Princeton , Princeton , New Jersey , United States )
  • Hou, Lifang  ( Northwestern , Chicago , Illinois , United States )
  • Zheng, Yinan  ( Northwestern , Chicago , Illinois , United States )
  • Marma, Amanda  ( Northwestern , Chicago , Illinois , United States )
  • Author Disclosures:
    Havisha Pedamallu: DO NOT have relevant financial relationships | Linda Van Horn: DO NOT have relevant financial relationships | James Stein: No Answer | Claudia Korcarz: DO NOT have relevant financial relationships | Kristin Hansen: DO NOT have relevant financial relationships | Colter Mitchell: No Answer | Nia Heard-Garris: DO NOT have relevant financial relationships | Donald Lloyd-Jones: DO NOT have relevant financial relationships | Norrina Allen: DO NOT have relevant financial relationships | Abigail Gauen: DO NOT have relevant financial relationships | Hongyan Ning: DO NOT have relevant financial relationships | John Wilkins: DO NOT have relevant financial relationships | Noreen Goldman: DO NOT have relevant financial relationships | Daniel Notterman: DO NOT have relevant financial relationships | Lifang Hou: No Answer | Yinan Zheng: DO NOT have relevant financial relationships | Amanda Marma: No Answer
Meeting Info:

Scientific Sessions 2024

2024

Chicago, Illinois

Session Info:

Best of AHA Specialty Conferences: EPI/Lifestyle 2024

Monday, 11/18/2024 , 10:30AM - 11:30AM

Best of Specialty Conferences

More abstracts on this topic:
Contribution of Early-Life Obesity to Cavernosal and Pudendal Artery Dysfunction in Young Adult Rats Mediated by Secretin GPCRs and Senescence Pathways: Functional and Transcriptomic Insights

Tomazini Goncalves Tiago, Mccarthy Cam, Carneiro Fernando, Ceravolo Graziela, Webb R Clinton, Priviero Fernanda, Zhang Tianxin, Dos Passos Rinaldo, Vieira Dos Santos Cintia, Moura Kawane, Townsend Jr Paul, Wilson Emily, Dos Anjos Moraes Raiana, Wenceslau Camilla

Assessing Trends in Disability-Adjusted Life Years (DALYs) and Age-Adjusted Mortality Rates (AAMR) of Ischemic Heart Disease: A Comparative Analysis of the United States and Global Burden of Disease

Buhadur Ali Muhammad Khan, Shahzaib Muhammad, Qureshi Muhammad Ahmad, Ammar Ur Rahman Mohammad, Munir Luqman, Khalid Amna, Hayat Malik Saad, Shoaib Muhammad Mukarram

More abstracts from these authors:
Epigenetics of Shared and Unique Pathways Associated with Atherogenic Lipoprotein Particle Content and Number Across the Early Adult Life Course

Wilkins John, Qu Yishu, Allen Norrina, Ning Hongyan, Hou Lifang, Lloyd-jones Donald, Sniderman Allan, Joyce Brian, Zheng Yinan

Association of Social Determinants of Health (SDOH) with Incident Hypertension and Mediation by Epigenetic Age: The Coronary Artery Risk Development in Young Adults (CARDIA) Study

Szeto Mindy, Lloyd-jones Donald, Ning Hongyan, Pedamallu Havisha, Zheng Yinan, Schneper Lisa, Reges Orna, Hou Lifang, Allen Norrina, Notterman Daniel

You have to be authorized to contact abstract author. Please, Login
Not Available