Logo

American Heart Association

  175
  0


Final ID: Su3069

A Machine Learning Readmission Risk Prediction Model for Cardiac Disease

Abstract Body (Do not enter title and authors here): Introduction
Circulatory disease ranks ninth highest amongst all-cause US readmissions, and despite an increase in quality improvement initiatives, emergency department visits have increased. Diagnosis specific cardiac machine learning readmission risk prediction models have been created, and at least one general readmission risk model has demonstrated a 25% relative readmission rate reduction in a focused setting.

Hypothesis/Aims
The objective of this study was to create a high performing 30-day hospital readmission/emergency department (ED) visit or death risk prediction model. We hypothesized that the model would perform equitably and with high accuracy.

Methods
The model was derived from a cohort of acute, cardiac inpatient admissions during 2010-2023 within ten integrated Midwestern hospitals. Encounters in which patients died or were discharged to hospice were excluded. A total of 1,498 clinical and non-clinical predictors were included in three machine learning models. Primary composite outcome was 30-day hospital readmission/ED visit or death.

Results
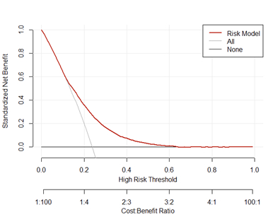
The primary outcome rate was 23.8% and ED visit rate was 7.7% amongst 73,926 encounters spanning 49,144 patients. Heart failure, dysrhythmias, and acute myocardial infarction were the most common readmission diagnoses. XGBoost had the overall highest performance (AUROC of 0.691 and PR-AUC of 0.4158). At a precision of 0.5, XGBoost demonstrated a net benefit relative to current practice. Top predictors include the LACE index and total hospitalized days in the past year. The DeLong test yielded a significant difference in model performance between men and women.

Conclusions
We successfully built a 30-day cardiac readmission/ED visit or death risk prediction model that demonstrated a net benefit relative to current practice. The difference in model performance could be driven by gender gaps in cardiac disease recognition, presentation, and treatment. Future directions include external model validation.
  • Bailey, Angela  ( University of Minnesota , Minneapolis , Minnesota , United States )
  • Wang, Wei  ( University of Minnesota , Minneapolis , Minnesota , United States )
  • Shannon, Clarence  ( University of Minnesota , Minneapolis , Minnesota , United States )
  • Huling, Jared  ( University of Minnesota , Minneapolis , Minnesota , United States )
  • Tignanelli, Christopher  ( University of Minnesota , Minneapolis , Minnesota , United States )
  • Author Disclosures:
    Angela Bailey: DO NOT have relevant financial relationships | Wei Wang: No Answer | Clarence Shannon: No Answer | Jared Huling: No Answer | Christopher Tignanelli: No Answer
Meeting Info:

Scientific Sessions 2024

2024

Chicago, Illinois

Session Info:

Seeing Beyond the Beat: Innovations in Cardiovascular Imaging and Risk Evaluation

Sunday, 11/17/2024 , 03:15PM - 04:15PM

Abstract Poster Session

More abstracts on this topic:
A Novel Cardioprotective Mechanism in Myocardial Reperfusion Injury: Dual Neutrophil Modulation and ROS/HOCl Scavenging by an Atypical Chemokine

Zwissler Leon, Bernhagen Juergen, Cabrera-fuentes Hector Alejandro, Hernandez Resendiz Sauri, Yap En Ping, Schindler Lisa, Zhang Zhishen, Dickerhof Nina, Hampton Mark, Liehn Elisa, Hausenloy Derek

Cross Sex Steroid Therapy and Cardiac Function in a Rodent Model of Gender Affirming Hormone Therapy in the Male Rat.

Crudup Breland, Mallette Jordan, Nabors Harley, Willis Alex, Cockrell Kathy, Da Alexandre, Yanes Cardozo Licy, Alexander Barbara

You have to be authorized to contact abstract author. Please, Login
Not Available