Logo

American Heart Association

  190
  0


Final ID: Su4139

Agreement of Doppler Flow Velocity Reserve With PET Flow Reserve in Angina Without Obstructive Coronaries

Abstract Body (Do not enter title and authors here): Background: Angina with no obstructive coronary arteries (ANOCA) is clinically challenging to diagnose and manage. The agreement between Doppler-derived coronary flow reserve (CFRDoppl) and PET-derived CFR (CFRPET) in patients with ANOCA remains unclear.
Aims: To evaluate the correlation between Doppler- and PET-derived CFR in patients with ANOCA.
Methods: We conducted a single-center, retrospective study of adult patients (age ≥18 years) with ANOCA who were referred for evaluation of possible microvascular ischemia with Doppler- and PET-derived CFR at the Mayo Clinic (Rochester, MN) between January 1, 2018, and May 1, 2024. Pearson correlation was used to quantify the association between Doppler- and PET-derived CFR. Agreement between Doppler- and PET-derived CFR was assessed by Bland-Altman analysis using a 2-way mixed effects model with measures of absolute agreement.
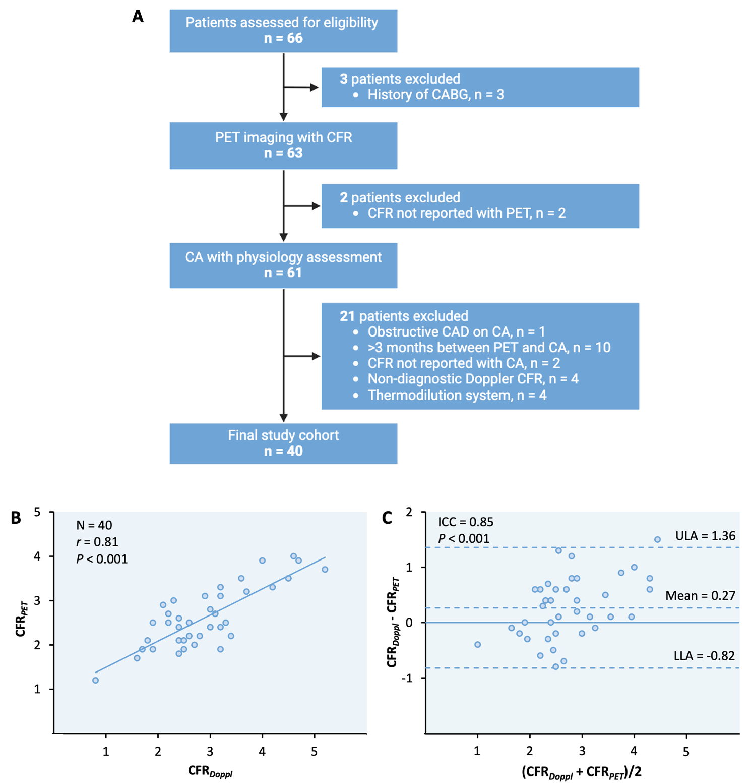
Results: A total of 66 patients were initially identified, of which 40 were included in the final analysis (66.7% female, median age 58 years [Q1-Q3: 45-66 years]). Median time between PET- and Doppler-derived CFR was 8 days (Q1-Q3: 1-31 days). Median CFRDoppl was 2.75 (IQR: 2.23-3.28) and median CFRPET was 2.50 (IQR: 2.10-3.10). Doppler-derived CFR displayed a wider range than PET-derived CFR (0.8-5.2 vs 1.2-4.0). A strong correlation was found between Doppler- and PET-derived CFR (r=0.81; p<0.001). The corresponding Bland-Altman plot showed an overall bias of 0.27±0.56 (intraclass coefficient=0.85; p<0.001).
Conclusions: While invasive coronary angiography with CFRDoppl is the gold-standard for the diagnostic evaluation of ANOCA, PET imaging with CFRPET offers an excellent first line non-invasive modality for diagnosis of coronary microvascular dysfunction.
  • Ismayl, Mahmoud  ( Mayo Clinic , Rochester , Minnesota , United States )
  • Raphael, Claire  ( Mayo Clinic , Rochester , Minnesota , United States )
  • Prasad, Abhiram  ( Mayo Clinic , Rochester , Minnesota , United States )
  • Chareonthaitawee, Panithaya  ( Mayo Clinic , Rochester , Minnesota , United States )
  • Bois, John  ( Mayo Clinic , Rochester , Minnesota , United States )
  • Author Disclosures:
    Mahmoud Ismayl: DO NOT have relevant financial relationships | Claire Raphael: DO have relevant financial relationships ; Speaker:Abbott Vascular:Past (completed) ; Advisor:Phillips:Past (completed) | Abhiram Prasad: DO NOT have relevant financial relationships | Panithaya Chareonthaitawee: DO have relevant financial relationships ; Consultant:Clario:Past (completed) ; Executive Role:American Society of Nuclear Cardiology:Active (exists now) ; Royalties/Patent Beneficiary:UpToDate:Active (exists now) ; Consultant:GE Healthcare:Expected (by end of conference) | John Bois: No Answer
Meeting Info:

Scientific Sessions 2024

2024

Chicago, Illinois

Session Info:

Imaging Challenges in Assessment in Macro- And Micro-Vasculature

Sunday, 11/17/2024 , 11:30AM - 12:30PM

Abstract Poster Session

More abstracts on this topic:
Association of Hypoperfusion Intensity Ratio, Cerebral Blood Volume Index, and the CRISP2 Collateral Score with Good Outcome for Patients Transferred for Thrombectomy

Asimos Andrew, Hines Andrew, Rhoten Jeremy, Karamchandani Rahul, Yang Hongmei, Strong Dale, Teli Katelynn, Clemente Jonathan, Defilipp Gary, Bernard Joe, Stetler William, Parish Jonathan

A Health Coach-Based Multi-Level Personalized Strategy Lowers LDL-Cholesterol and Enhances Lipid Control in Veterans with Atherosclerotic Cardiovascular Disease – The VA Lipid Optimization Reimagined Quality Improvement Project at VA New York Harbor Healthcare System

Chen Tina, Ingerman Diana, Haley Leah, Salovaara Priscilla, Nicholson Andrew, Illenberger Nicholas, Natarajan Sundar

More abstracts from these authors:
Coronary Microvascular Disease Modulates Long-Term Outcomes in Myocardial Infarction with Non-Obstructive Coronary Arteries

Carrington Justin, Nogami Kai, Prasad Abhiram, Gulati Rajiv, Lerman Amir, Raphael Claire

Comparison of Intra-coronary and Intra-aortic Pressure Recordings for Coronary Wave Intensity Analysis

Carrington Justin, Prasad Abhiram, Gulati Rajiv, Lerman Amir, Raphael Claire

You have to be authorized to contact abstract author. Please, Login
Not Available