Logo

American Heart Association

  111
  0


Final ID: MDP1389

In hospital Outcomes of Acute Myocarditis in Adults with Systemic Inflammatory Disease: A Population-based Analysis in The United States

Abstract Body (Do not enter title and authors here): Systemic inflammatory diseases (SID) are associated with adverse cardiovascular (CV) events, due to derangement in innate immunity. Understanding the association with acute myocarditis (AMC) is crucial for preemptive management strategies and improving patient outcomes.
Methods:
We identified and compared adults (>18 years) with SID vs. non-SID patients hospitalized with AMC using the National In-patient sample database from 2016-2020. Six SID were selected based on HLA antigen distribution. The risks of all-cause mortality and major adverse cardiac and cerebrovascular events (CVA, cardiac arrest, acute heart failure (AHF), Ventricular arrhythmia, complete AV block, AMI, and PCI), and use of mechanical circulatory support (MCS) were assessed in adult AMC admissions with and without SID. SID were divided into 6 cohorts: SLE, RA, psoriasis (PS), IBD, Hashimoto thyroiditis (HT), and multiple sclerosis (MS) subgroups.
Results:
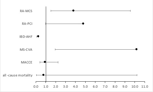
Overall adults AMC admissions were 26,475. The rate of AMC in non-SID was 96%. Mean age of non-SID were similar in 4 cohorts, but relatively older in RA subgroup (47.5 vs 61.5 years). We observed male predominance in the PS vs IBD groups (62% vs 51% vs 63%), but more females in the SLE, RA, HT, and MS cohort. We observed comparable mortality (aOR 1.425; CI 0.062-10.23 p=0.862) and MACE (aOR 0.943; CI 0.398-2.231 p=0.894) rates across all studied subgroups. The RA-AMC cohort had significantly higher odds of MCS use (aOR 3.8; CI 1.52- 9.55, p=0.004), after adjusting for significant confounders. The IBD-AMC cohort had significantly reduced odds of AHF (aOR 0.28; CI 0.076 - 0.99, p=0.04). However, the odds of AMI and VA were not statistically significant.(Table 1)
Conclusions:
The RA-AMC cohort are about 4 times more likely to require mechanical circulatory support during hospitalization for acute myocarditis, while IBD-AMC are less likely to have AHF. Prospective studies would be required to further examine the cardiovascular outcome in this cohort. Prospective studies would be required to further examine the cardovascular outcomes in this cohort.
  • Odugbemi, Olufemi  ( Lincoln Medical and Mental center , New york , New York , United States )
  • Author Disclosures:
    OLUFEMI ODUGBEMI: DO NOT have relevant financial relationships
Meeting Info:

Scientific Sessions 2024

2024

Chicago, Illinois

Session Info:

Burning Questions: Clinical Scenarios for Inflammatory Cardiomyopathies

Monday, 11/18/2024 , 11:10AM - 12:35PM

Moderated Digital Poster Session

More abstracts on this topic:
Analysis of C-reactive protein omics-measures associates methylation risk score with obstructive sleep apnea-related measures

Wang Ziqing, Hou Lifang, Ramos Alberto, Kaur Sonya, Durda Peter, Gonzalez Hector, Fornage Myriam, Redline Susan, Isasi Carmen, Sofer Tamar, Wallace Danielle, Spitzer Brian, Huang Tianyi, Taylor Kent, Rotter Jerome, Rich Stephen, Liu Peter, Daviglus Martha

Analysis of First Morning Urine Transcriptomes in Normotensive and Hypertensive Patients Identify Upregulated Inflammatory and Signaling Pathways Associated with Hypertension

Umanath Kausik, Ortiz Pablo, Sohaney Ryann, Atchison Douglas, Abraham Emmy, Meng Ze, She Ruicong, Adrianto Indra, Levin Albert, Wu Andrew

More abstracts from these authors:
Disparities in Healthcare Access and Treatment Outcomes for Patients with Chronic Limb-Threatening Ischemia

Odugbemi Olufemi, Nnadi Ekenedilichukwu, Oghosa Clinton Ibude, Joseph Steven, Agwuegbo Chibuike, Bob-manuel Tamunoinemi, Shamaki Garba Rimamskep

Adverse effect of Autoimmune Diseases on In-hospital Cardiac Arrest Mortality

Pius Ruth, Markson Favour, Antia Akanimo, Odugbemi Olufemi, Nwogwugwu Enyioma, Ong Kenneth

You have to be authorized to contact abstract author. Please, Login
Not Available