Logo

American Heart Association

  159
  0


Final ID: 4146947

Obese adolescents supported with VADs have inferior post-transplant outcomes

Abstract Body (Do not enter title and authors here): Background: The prevalence of both obesity and the use of left ventricular assist devices (LVAD) is increasing in pediatrics, but what impact obesity has on post-heart transplant (HT) outcomes when using an LVAD as a bridge to transplant (BTT) is unknown.

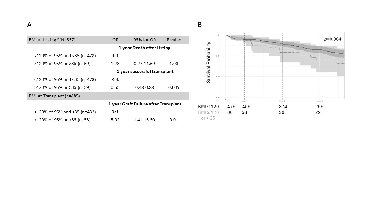
Methods: Retrospective cohort study of patients 12-18 years old in the UNOS database with a durable LVAD and listed for heart transplant (HT) between 7/1/2004-12/31/2021. Demographic and clinical variables were assessed. Patients were classified as overweight (BMI85-<95% percentile), Class I obesity (BMI95-<120% of the 95th %), and Class II/III obesity (120% of the 95th% or BMI35) at time of listing and transplant. The primary outcome was 1-year post-HT survival; additional outcomes included post-HT length of stay (LOS), rejection, and waitlist removal. A multivariable analysis was performed to identify the independent association of morbid obesity with 1-year post HT survival.

Results: Of 539 adolescent BTT patients, 41% had a BMI 85th percentile at time of listing: 76 were overweight, 84 were Class I, and 60 were Class II/III. Class II/III patients, compared to overweight, demonstrated a decrease in BMI between listing and transplant (△BMI -0.2, IQR -2.6–0.5 vs 0.0, IQR -0.5–2.6, p= 0.003) with similar improvement in functional status (27% vs 32-36%, p=0.37) and equivalent post-HT LOS (17 vs 15-17 days, p =0.09). However, these patients were more frequently inactivated (13% vs 4-7%, p=0.04). In adjusted analysis, the highest BMI cohort had lower likelihood of reaching HT (OR 0.65, 95% CI 0.48-0.88) and increased 1-year post-HT graft failure (OR 4.47, 95% CI 1.22-14.78) (Fig. 1A). The 5-year mortality of these patients was nearly twice that of other adolescents (29% vs 18%, p=0.06) (Fig. 1B).

Conclusions: Class II/III obese adolescent VAD patients have an increased risk of waitlist inactivation and 1-year graft failure. Use of VADs and HT in obese adolescents may be reasonable (71% 5-year survival) if the team, patient, and family are aware of the higher risk profile. Given the socioeconomic contributions to obesity in children, further studies examining if obesity can be a modifiable risk factor in VAD and HT is critical.
  • Berger, Justin  ( Children's Hospital of Philadelphia , Merion Station , Pennsylvania , United States )
  • Mejia, Erika  ( Lurie Children's , Chicago , Illinois , United States )
  • Sanderlin, Rachel  ( Children's Hospital of Philadelphia , Philadelphia , Pennsylvania , United States )
  • Zhang, Xuemei  ( Children's Hospital of Philadelphia , Cherry Hill , New Jersey , United States )
  • Mavroudis, Constantine  ( Children's Hospital of Philadelphia , Merion Station , Pennsylvania , United States )
  • O'connor, Matthew  ( CHILDRENS HOSPITAL OF PHILADELPHIA , Philadelphia , Pennsylvania , United States )
  • Dewitt, Aaron  ( Children's Hospital of Philadelphia , Philadelphia , Pennsylvania , United States )
  • Ahmed, Humera  ( Children's Hospital of Philadelphia , Merion Station , Pennsylvania , United States )
  • Rossano, Joseph  ( Children's Hospital of Philadelphia , Philadelphia , Pennsylvania , United States )
  • Wittlieb-weber, Carol  ( Children's Hospital of Philadelphia , Philadelphia , Pennsylvania , United States )
  • Edwards, Jonathan  ( Childrens Hospital of Philadelphia , Philadelphia , Pennsylvania , United States )
  • Lin, Kimberly  ( Childrens Hospital of Philadelphia , Swarthmore , Pennsylvania , United States )
  • Joong, Anna  ( Children's Hospital of Philadelphia , Merion Station , Pennsylvania , United States )
  • Maeda, Katsuhide  ( CHILDRENS HOSPITAL OF PHILADELPHIA , Philadelphia , Pennsylvania , United States )
  • Edelson, Jonathan  ( CHILDRENS HOSPITAL OF PHILADELPHIA , Philadelphia , Pennsylvania , United States )
  • Author Disclosures:
    Justin Berger: DO NOT have relevant financial relationships | Carol Wittlieb-Weber: DO NOT have relevant financial relationships | Jonathan Edwards: DO NOT have relevant financial relationships | Kimberly Lin: DO NOT have relevant financial relationships | Anna Joong: DO NOT have relevant financial relationships | Katsuhide Maeda: No Answer | Jonathan Edelson: DO have relevant financial relationships ; Consultant:Abbott Technology:Past (completed) ; Advisor:Abiomed:Past (completed) | Erika Mejia: DO NOT have relevant financial relationships | Rachel Sanderlin: DO NOT have relevant financial relationships | Xuemei zhang: No Answer | Constantine Mavroudis: No Answer | Matthew O'Connor: No Answer | Aaron DeWitt: DO NOT have relevant financial relationships | Humera Ahmed: No Answer | Joseph Rossano: DO have relevant financial relationships ; Consultant:Bristol Myers Squibb:Active (exists now) ; Consultant:Bayer:Active (exists now) ; Consultant:American Regent:Active (exists now) ; Consultant:AskBio:Active (exists now) ; Consultant:Merck:Active (exists now)
Meeting Info:

Scientific Sessions 2024

2024

Chicago, Illinois

Session Info:

Epidemiology and Population Health

Sunday, 11/17/2024 , 08:00AM - 09:15AM

Abstract Oral Session

More abstracts on this topic:
Adverse Childhood Experiences (ACEs) and Cardiovascular Health: Future of Families and Child Wellbeing Study (FFCWS)

__PRESENT

Pedamallu Havisha, Van Horn Linda, Stein James, Korcarz Claudia, Hansen Kristin, Mitchell Colter, Heard-garris Nia, Lloyd-jones Donald, Allen Norrina, Gauen Abigail, Ning Hongyan, Wilkins John, Goldman Noreen, Notterman Daniel, Hou Lifang, Zheng Yinan, Marma Amanda

A Multicenter Friedreich Ataxia Registry Identifies Posterior Wall Thickness as a Predictor of Major Adverse Cardiac Events

Lin Kimberly, Johnson Jonathan, Mccormack Shana, Lynch David, Tate Barbara, Feng Yixuan, Huang Jing, Mercer-rosa Laura, Dedio Anna, Mcsweeney Kara, Fournier Anne, Yoon Grace, Payne Ronald, Cripe Linda, Patel Aarti, Niaz Talha

More abstracts from these authors:
Outcomes of Myocardial Recovery in Pediatric Patients Supported with Ventricular Assist Devices: A Multi-Center Analysis of the UNOS Registry

Wooster Luke, Montgomery Catherine, Rossano Joseph, Edelson Jonathan, O'connor Matthew, Zhang Xuemei, Ahmed Humera, Edwards Jonathan, Lin Kimberly, Wittlieb-weber Carol, Devlin Paul, Gardner Monique

Greater Neighborhood Resources Predict Reduced In-Hospital Mortality for Children with Heart Failure

Markiewitz Nathan, Rossano Joseph, Edelson Jonathan, O'connor Matthew, Liu Hongyan, Penney Christopher, Ludomirsky Avital, Ahmed Humera, Edwards Jonathan, Lin Kimberly, Wittlieb-weber Carol

You have to be authorized to contact abstract author. Please, Login
Not Available