Logo

American Heart Association

  160
  0


Final ID: Su4036

Sickle Cell Disease is Associated with Increased Readmission Rates in Patients Admitted with Acute Coronary Syndromes

Abstract Body (Do not enter title and authors here): Introduction

Acute coronary syndrome (ACS) is a leading cause of cardiovascular (CV) death. Sickle cell disease (SCD) is the most common inherited blood disorder in the United States and is associated with coronary microvascular dysfunction and impaired myocardial perfusion reserve. However, data on post-ACS outcomes in patients with SCD are scarce.

Methods

Patients admitted with ACS from 2014-2020 with and without SCD were identified using the National Readmissions Database. In-hospital outcomes were death, major bleeding, stroke or arterial thromboembolism, and venous thromboembolism (VTE). Ninety-day readmission outcomes were CV-related, heart failure (HF) related, bleeding-related, and all-cause. Multivariable logistic or Cox proportional hazards were utilized with age, sex, chronic kidney disease, prior MI, prior stroke, prior VTE, pulmonary hypertension, STEMI, cardiogenic shock, revascularization, anemia, mechanical circulatory support use, hospital size and teaching status in addition to social factors as co-variables.

Results

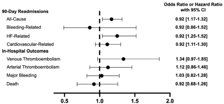
A total of 2,190,358 patients with ACS were included, of whom 1,471 (0.067%) had SCD. After multivariable adjustment, there was no difference in in-hospital mortality (OR 0.92; 95% CI 0.68-1.26) or major bleeding (OR 1.03; 95% CI 0.82-1.28) between patients with and without SCD. There was no significant difference in 90-day CV-related (HR 1.11; 95% CI 0.94-1.3) or bleeding-related (HR 0.86; 95% CI 0.49-1.52) readmissions between patients with and without SCD. However, SCD was associated with a higher rate of HF-related (HR 1.25; 95% CI, 1.04-1.52) and all-cause 90-day readmissions (HR 1.17; 95% CI, 1.04-1.32).

Conclusion

Among patients admitted with ACS, SCD was not associated with increased risk of in-hospital outcomes though there was an association of increased HF-related and all-cause 90-day readmissions with SCD. Further investigation is needed to better characterize and improve outcomes of patients with SCD and ACS.
  • Mahmud, Arif  ( NYU Langone Medical Center , Brooklyn , New York , United States )
  • Leiva, Orly  ( New York University Langone Health , New York , New York , United States )
  • Loftspring, Ethan  ( New York University , New York , New York , United States )
  • Osei, Miriam  ( Dana-Farber Cancer Institute , Boston , Massachusetts , United States )
  • Bangalore, Sripal  ( NYU Langone , New York , New York , United States )
  • Rao, Sunil  ( NYU Langone Health System , New York , North Carolina , United States )
  • Author Disclosures:
    Arif Mahmud: DO NOT have relevant financial relationships | Orly Leiva: DO NOT have relevant financial relationships | Ethan Loftspring: DO NOT have relevant financial relationships | Miriam Osei: No Answer | Sripal Bangalore: DO have relevant financial relationships ; Advisor:Abbott Vascular:Active (exists now) ; Consultant:Shockwave:Active (exists now) ; Consultant:Recor:Active (exists now) ; Consultant:Pfizer:Active (exists now) ; Consultant:Amgen:Active (exists now) ; Consultant:Argon:Active (exists now) ; Consultant:Imperial Health:Active (exists now) ; Consultant:Inari:Active (exists now) ; Consultant:Biotronik:Active (exists now) ; Advisor:Boston Scientific:Active (exists now) | Sunil Rao: DO NOT have relevant financial relationships
Meeting Info:

Scientific Sessions 2024

2024

Chicago, Illinois

Session Info:

The Intersection of Non-cardiac Pathologies and ACS

Sunday, 11/17/2024 , 03:15PM - 04:15PM

Abstract Poster Session

More abstracts on this topic:
Acculturation and Cardiovascular-Kidney-Metabolic Syndrome: a Study of Immigrant Adults From the National Health and Nutrition Examination Survey

Chakrabarti Amit, Le Austin, Elfassy Tali, Yang Eugene

Adverse Events Associated with Immune Checkpoint Inhibitors in a Real-World Hispanic Cohort: Analysis of Cardiovascular Outcomes

Duque Nicolas, Estrada Schweineberg Manuela, Guevara Laura, Uchima Maria Paula, Segovia Javier, Vargas Henry, Agudelo Claudia, Borda Andres, Camargo Carmenza, Quintero Guillermo, Sanchez Carlos, Tamayo Mateo, Cantor Rizo Erick, Wills Beatriz, Gomez Giraldo Zamira Fernanda, Velasquez Elena, Taub Dana, Pantoja Chica Andrea Stefanía, Martinez Avila Maria Cristina, Castro Juliana, Pardo Juliana

More abstracts from these authors:
You have to be authorized to contact abstract author. Please, Login
Not Available