Logo

American Heart Association

  131
  0


Final ID: MDP1142

Sex Differences in Everyday Mood States and its Association with Autonomic Physiology

Abstract Body (Do not enter title and authors here): Background: Although CHD incidence is low amongst young and middle-aged women, those who have premature MI are at a high risk of mortality. Greater psychosocial exposures and mental health comorbidities in women may play a role. We hypothesize that women age ≤ 60 years with recent MI have a higher burden of everyday negative psychological experiences, and that these are associated with greater real-time cardiac autonomic dysfunction compared with men.

Methods: We examined real-time mood and autonomic function in 239 participants aged ≤ 60 years with an MI within 8 months. We performed smartphone-based ecological momentary assessments of stressful events and negative mood states (anger, anxiety, distress, loneliness, and sadness) at 3 random points throughout the day for one week. Participants simultaneously wore a Holter monitor to measure autonomic function. Our primary exposure was the average negative mood intensity (rated 0 to 10) throughout the week, and our primary outcome was reduced deceleration capacity of heart rate (DC) during sedentary periods as a measure of lower vagal activity. Other measures of dysautonomia included lower high (HF) and low frequency (LF) heart rate variability (HRV). We used multivariable linear regression models to adjust for potential confounders.

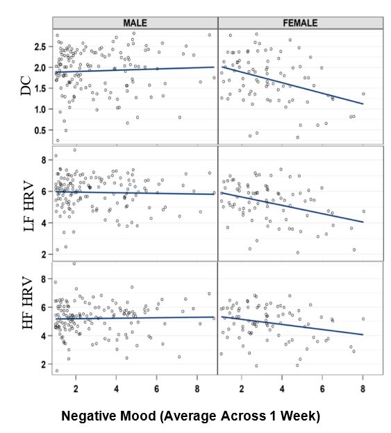
Results: The mean age was 52 years, 51% were black, and 36% were women; 76% of women reported at least one stressful event in the week of monitoring, vs. 64% of men (p=0.04). Women reported more negative mood than men by 0.39 units (p=0.02) on average. DC, averaged across the week, was 12% lower, LF HRV was 41% lower, and HF HRV was 34% lower in women than in men. As the weekly average of negative mood increased, the weekly average of DC declined in women only (Figure). After adjusting for age, current smoking, diabetes, and beta-blocker use, each 2-point increase in the negative mood score was associated with a 12% (95% CI: 6.12%-17.88%) lower DC in women only. Similar findings were observed for HF and LF HRV.

Conclusions: Young and middle-aged post-MI women reported more real-time negative psychological states, which were associated with worse autonomic function compared to men with early MI. Resting autonomic function was also lower in women. Negative mood in daily life has disproportionate impact on cardiac autonomic regulation among women. Psychophysiological mechanisms are important in the examination of sex-based disparities in CHD pathophysiology and outcome.
  • Shah, Amit  ( EMORY UNIVERSITY , Atlanta , Georgia , United States )
  • Lampert, Rachel  ( YALE SCH OF MEDICINE , New Haven , Connecticut , United States )
  • Raggi, Paolo  ( UNIVERSITY OF ALBERTA , Edmonton , Alberta , Canada )
  • Pearce, Brad  ( Emory University , Atlanta , United States Minor Outlying Islands )
  • Quyyumi, Arshed  ( EMORY UNIVERSITY , Atlanta , Georgia , United States )
  • Sameni, Reza  ( Emory University , Atlanta , United States Minor Outlying Islands )
  • Lewis, Tene  ( EMORY UNIVERSITY , Atlanta , Georgia , United States )
  • Sullivan, Samaah  ( UT Health Science Center Houston , Dallas , Texas , United States )
  • Bremner, J Douglas  ( Emory University , Atlanta , United States Minor Outlying Islands )
  • Clifford, Gari  ( Emory University , Atlanta , United States Minor Outlying Islands )
  • Vaccarino, Viola  ( Emory Univesity , Atlanta , Georgia , United States )
  • She, Hua  ( EMORY UNIVERSITY , Atlanta , Georgia , United States )
  • Elon, Lisa  ( Emory university , Atlanta , Georgia , United States )
  • Li, Qiao  ( Emory University , Atlanta , United States Minor Outlying Islands )
  • Roberts, Tatum  ( EMORY UNIVERSITY , Atlanta , Georgia , United States )
  • Stefanos, Lewam  ( EMORY UNIVERSITY , Atlanta , Georgia , United States )
  • Haddad, George  ( EMORY UNIVERSITY , Atlanta , Georgia , United States )
  • Gupta, Shishir  ( EMORY UNIVERSITY , Atlanta , Georgia , United States )
  • Tarlapally, Nitya  ( EMORY UNIVERSITY , Atlanta , Georgia , United States )
  • Author Disclosures:
    Amit Shah: DO NOT have relevant financial relationships | Rachel Lampert: DO NOT have relevant financial relationships | Paolo Raggi: DO NOT have relevant financial relationships | Brad Pearce: DO NOT have relevant financial relationships | Arshed Quyyumi: DO NOT have relevant financial relationships | Reza Sameni: DO NOT have relevant financial relationships | Tene Lewis: DO NOT have relevant financial relationships | Samaah Sullivan: No Answer | J Douglas Bremner: No Answer | Gari Clifford: DO NOT have relevant financial relationships | Viola Vaccarino: No Answer | Hua She: DO NOT have relevant financial relationships | lisa elon: No Answer | Qiao Li: No Answer | Tatum Roberts: DO NOT have relevant financial relationships | Lewam Stefanos: DO NOT have relevant financial relationships | George Haddad: No Answer | Shishir Gupta: No Answer | Nitya Tarlapally: No Answer
Meeting Info:

Scientific Sessions 2024

2024

Chicago, Illinois

Session Info:
More abstracts on this topic:
Cardiac projecting NPY2r expressing neurons in stellate ganglia remodel myocardium in cardiac injury-related settings

Sharma Sachin

Association Between Prescription Fill Rates and Adverse Outcomes within an mHealth Clinical Trial Designed to Improve Medication Adherence

Asmuth Mallette, Orlando Steven, Saseen Joseph, Blankenhorn Richard, Bull Sheana, Ho Michael, Hosokawa Patrick, Allen Larry, Peterson Pamela, Plomondon Mary, Caputo Sandy Lisa, Vaughn Shawni, Waughtal Joy, Marrs Joel

More abstracts from these authors:
Blunted Hemodynamic Reactivity to Acute Mental Stress in the Lab is Associated with Autonomic Inflexibility at Home

Shah Amit, Desai Shivang, Gold Matthew, Jain Vardhmaan, Yadalam Adithya, Razavi Alexander, Wiltshire Charis, Raggi Paolo, Pearce Brad, Quyyumi Arshed, Sameni Reza, She Hua, Bremner J Douglas, Clifford Gari, Vaccarino Viola, Elon Lisa, Roberts Tatum, Stefanos Lewam, Haddad George, Osei Jeffery, Suvada Kara, Okoh Alexis

Ambulatory QT Interval Prolongation and Reduced T-Amplitude Help Identify Veterans with Heart Disease

Shah Amit, Colon-motas Kay, De Leon Katalina, Murtala Abdulkareem, Osei Jeffery, Mourad Rama, Chang Sarah, Ko Yi-an, Zeng Zhaohua, Sheikh Shafa-at, Xu Ying, Koscova Zuzana, Kim Kain, Akoto Natalie, Santana Eric, Alexander Abigail, Suvada Kara, Roberts Tatum, Stefanos Lewam, Vaccarino Viola, Clifford Gari, Li Qiao, Sameni Reza, Bahrami Rad Ali, Karimi Sajjad, Lampert Rachel, Mathew Lejy, Alagar Nikila

You have to be authorized to contact abstract author. Please, Login
Not Available