Logo

American Heart Association

  113
  0


Final ID: 4144964

Low-Dose IL-2 Lowers Arterial Inflammation and Trends Towards Lower MACE in patients with ACS: The results of the IVORY trial and IVORY FINALE study

Abstract Body (Do not enter title and authors here): Major adverse cardiovascular (CV) events (MACE) occur in a substantioal percentage of individuals following acute coronary syndromes (ACS), primarily driven by residual vascular inflammation. Anti-inflammatory drugs have improved CV outcomes but their use is limited by significant side-effects. Low-dose interleukin 2 (IL2) increases regulatory T (Treg) cells, which are powerful endogenous regulators of the immune response, and could provide a new, targeted anti-inflammatory strategy in high-risk ACS patients. In IVORY, we hypothesised that treatment with low-dose IL2 would reduce arterial inflammation measured by 18F-fluorodeoxyglucose (18F-FDG) positron emission tomography/computed tomography (PET/CT), compared to placebo. In IVORY FINALE we hypothesised that low dose IL2 could reduce MACE compared to placebo at follow up (up to 5 years.)

IVORY was a double-blind, placebo-controlled, Phase IIb trial randomising ACS patients with high-sensitivity CRP levels ≧ 2mg/L to receive either 1.5×106IU IL2 or placebo (1:1). Dosing consisted of a daily induction (5 days) and a weekly maintenance phase (7 weeks). 18F-FDG-PET/CT imaging of the ascending aorta and carotid arteries was performed before and after treatment. The primary outcome was the difference in the mean maximum target-to-background ratio (TBRmax) in the index vessel on follow-up imaging between the groups.

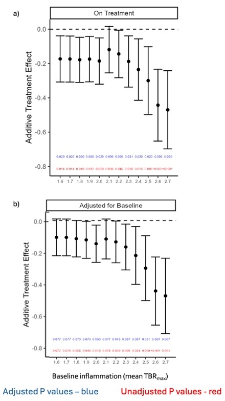
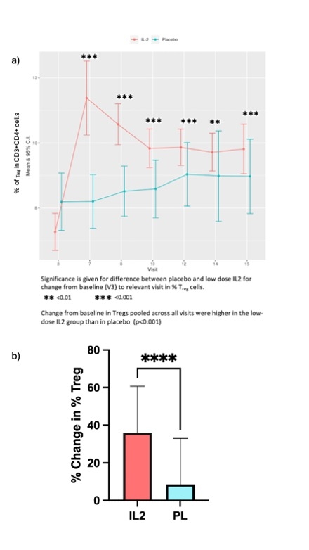
60 patients (IL2:placebo, n=31:29) completed the trial. Arterial inflammation in the index vessel was lower at the end of treatment in the IL2 group than in placebo (TBRmax = -0.171[-7.7%], 95% CI -0.308 to -0.034, p=0.015)[Fig1]. In more inflamed areas with a mean TBRmax ≧ 2 (active slices), the difference between the groups was greater (-0.185 [-8.3%], P=0.009, 95% CI -0.323 to -0.0478). Overall, the additive treatment effect of low-dose IL2 was greater at higher baseline inflammation [Fig 2]. Low-dose IL2 significantly increased circulating Tregs compared to placebo (p<0.001) [Fig 3]. There was no difference between the groups for changes in effector T cells. It was well-tolerated in ACS. At a median follow-up of 2.5 years, a trend towards lower MACE in the IL2 group (number of events [n]=0), compared to placebo (n= 7; 2 deaths, 2 non-fatal MIs, 3 unplanned revascularisations) was seen.

In summary, in high-risk ACS, immunomodulation with low-dose IL2 produces a safe and significant reduction in arterial inflammation, compared to placebo. Larger trials are needed to confirm its impact on CV outcomes.
  • Sriranjan, Rouchelle  ( University of Cambridge , Cambridge , United Kingdom )
  • Templin, Heike  ( Cambridge University Hospital NHS Trust , Cambridge , United Kingdom )
  • Brubert, Jacob  ( University of Cambridge , Cambridge , United Kingdom )
  • Krishnan, Unni  ( Cambridge University Hospital NHS Trust , Cambridge , United Kingdom )
  • O'brien, James  ( University of Cambridge , Cambridge , United Kingdom )
  • Rudd, James  ( UNIVERSITY OF CAMBRIDGE , Cambridge , United Kingdom )
  • Cheriyan, Joseph  ( Cambridge University Hospitals NHS , Cambridge , United Kingdom )
  • Mallat, Ziad  ( University of Cambridge , Cambridge , United Kingdom )
  • Zhao, Tian  ( University of Cambridge , Cambridge , United Kingdom )
  • Hoole, Stephen  ( Royal Papworth Hospital , Cambridge , United Kingdom )
  • Bond, Simon  ( Cambridge University Hospital NHS Trust , Cambridge , United Kingdom )
  • Tarkin, Jason  ( University of Cambridge , Cambridge , United Kingdom )
  • Hubsch, Annette  ( University of Cambridge , Cambridge , United Kingdom )
  • Helmy, Joanna  ( University of Cambridge , Cambridge , United Kingdom )
  • Bumanlag-amis, Elaine  ( University of Cambridge , Cambridge , United Kingdom )
  • Jalaludeen, Navazh  ( University of Cambridge , Cambridge , United Kingdom )
  • Author Disclosures:
    Rouchelle Sriranjan: DO NOT have relevant financial relationships | Heike Templin: DO NOT have relevant financial relationships | Jacob Brubert: DO NOT have relevant financial relationships | Unni Krishnan: No Answer | James O'Brien: DO NOT have relevant financial relationships | James Rudd: No Answer | Joseph Cheriyan: No Answer | Ziad Mallat: DO NOT have relevant financial relationships | Tian Zhao: DO NOT have relevant financial relationships | Stephen Hoole: DO NOT have relevant financial relationships | Simon Bond: No Answer | Jason Tarkin: No Answer | Annette hubsch: DO NOT have relevant financial relationships | Joanna Helmy: No Answer | Elaine Bumanlag-Amis: DO NOT have relevant financial relationships | Navazh Jalaludeen: DO NOT have relevant financial relationships
Meeting Info:

Scientific Sessions 2024

2024

Chicago, Illinois

Session Info:

Novel and Repurposed Agents for Lowering Risk in ACS

Sunday, 11/17/2024 , 03:30PM - 04:30PM

Abstract Oral Session

More abstracts on this topic:
A major uremic toxin indoxyl sulfate impairs macrophage efferocytosis and accelerates atherogenesis: a potential mechanism for cardiovascular risk in chronic kidney disease

Jha Prabhash, Kasai Taku, Vromman Amelie, Holden Rachel, Libby Peter, Tabas Ira, Singh Sasha, Aikawa Elena, Aikawa Masanori, Lupieri Adrien, Sonawane Abhijeet, Le Thanh-dat, Becker-greene Dakota, Chelvanambi Sarvesh, Turner Mandy, Nakamura Yuto, Passos Livia

A Novel Tool for Evaluating Endothelial Function: Plethysmographic Flow-mediated Vasodilation (pFMD)

Kishimoto Shinji, Itarashiki Tomomasa, Higashi Yukihito, Maruhashi Tatsuya, Kajikawa Masato, Mizobuchi Aya, Harada Takahiro, Yamaji Takayuki, Nakano Yukiko, Mohamad Yusoff Farina, Yada Tomohiko

More abstracts from these authors:
Correlations of attended and unattended office blood pressure measurements with Left Ventricular Mass in untreated hypertensives.

Iyeku Akinwale, Jalaludeen Navazh, Mukhtar Omar, Mceniery Carmel, Ojji Dike, Cheriyan Joseph, Wilkinson Ian

TGFβ Signaling in Thoracic Aortic Disease: Too Much or Too Little?

Macfarlane Elaine, Mallat Ziad

You have to be authorized to contact abstract author. Please, Login
Not Available