Logo

American Heart Association

  138
  0


Final ID: MDP399

Analysis risk factors of long-term adverse outcomes and construction of nomogram based on fractional flow reserve for coronary artery disease patients with an intermediate stenosis

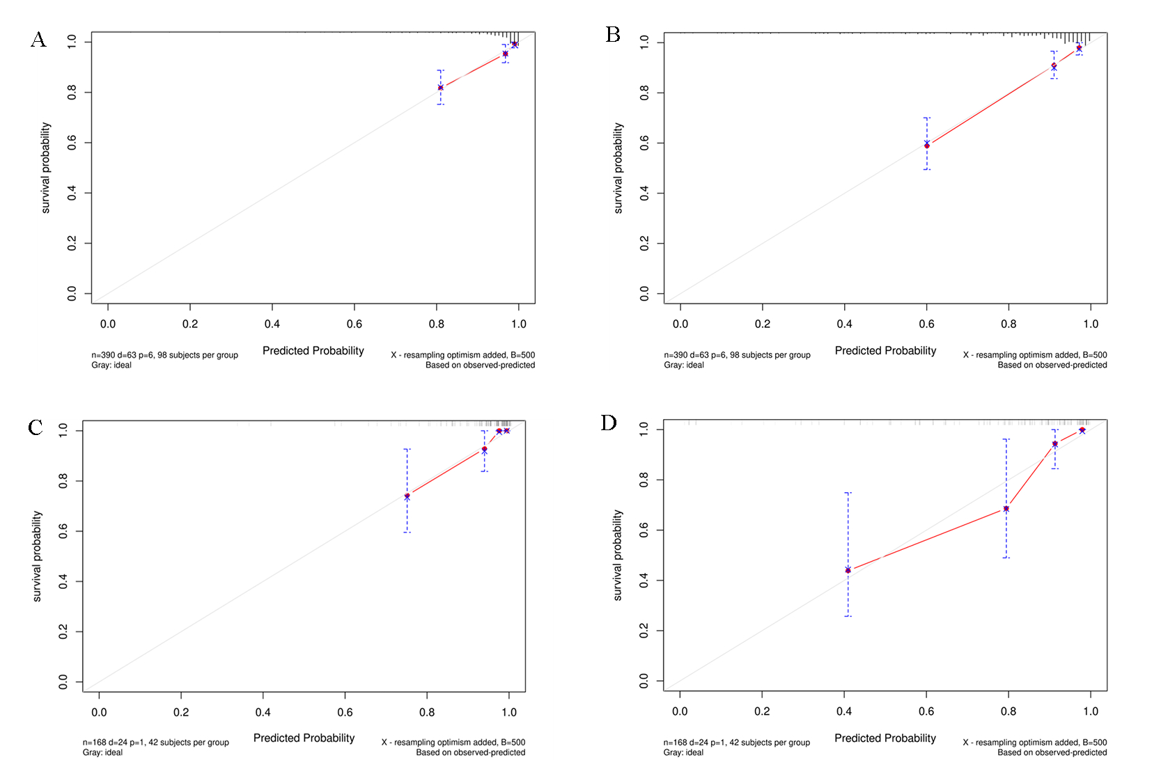
Abstract Body (Do not enter title and authors here): Background: The role of fractional flow reserve (FFR) in intermediate lesions has been widely demonstrated and recommended by guidelines. However, the long-term outcomes in patient with an intermediate stenosis received FFR have not yet been investigated comprehensively. Methods: We retrospective included 558 patients underwent both coronary artery angiography (CAG) and FFR. All patients were randomly divided into a training set containing 390 individuals and a validation set of 168 individuals at a ratio of 7:3. Valuable predictors were screened for constructing nomogram by statistical and clinical significance. The prediction efficiency of nomogram was evaluated by multiple methods, including C-index, area under the curve (AUC), calibration curves and decision-curve analysis (DCA). Results: During a median follow-up of 6.2 years, 87 (15.59%) adverse events were documented. The nomogram consists of age, smoking, hypertension, diabetes mellitus (DM), hyperuricemia, and FFR≤0.8 six factors. The C-index in the training and validation sets were 0.807 and 0.832. The AUC of 3-year, 5-year, 7-year receiver operating characteristic (ROC) curves of training set were 0.697, 0.823, 0.854, and of validation set were 0.845, 0.824, 0.856. The calibration curves and DCAs illustrated the ability of the nomogram to predict long-term adverse outcomes and its net benefits in clinical practice. Conclusions: Age, DM, and hyperuricemia were independently associated with longterm adverse outcomes, and the constructed nomogram based on FFR may be used as a visible tool to predict long-term adverse outcomes for coronary artery disease (CAD) patients with an intermediate stenosis.
  • Li, Fan Qi  ( The Second Xiangya Hospital of Central South University , Changsha City , China )
  • Liu, Qiming  ( The Second Xiangya Hospital , CHANGSHA , China )
  • Xiao, Yichao  ( Second Xiangya Hospital of Central South University , CHANGSHA , China )
  • Author Disclosures:
    Fan Qi Li: DO NOT have relevant financial relationships | Qiming Liu: DO NOT have relevant financial relationships | Yichao Xiao: DO NOT have relevant financial relationships
Meeting Info:

Scientific Sessions 2024

2024

Chicago, Illinois

Session Info:

Risk Factors Re-Defined: Fresh Approaches to Assessment and Management

Saturday, 11/16/2024 , 12:50PM - 02:15PM

Moderated Digital Poster Session

More abstracts on this topic:
30-day and one-year outcomes of patients with severe aortic stenosis after TAVI using Myval : A Meta-analysis

Hasabo Elfatih A., Sultan Sherif, Soliman Osama, A. Aboali Amira, Hemmeda Lina, Salah Alaa, Alrawa Salma S., Elgadi Ammar, Abdalmotalib Malaz, Yasir H Eissa Abdullatif, Mahmmoud Fadelallah Eljack Mohammed

J-shaped Association of Serum Hypoxia-inducible Factor 1α Levels With Incident Heart Failure in Patients With Stable Coronary Artery Disease: The ANOX Study

Iguchi Moritake, Takenaka Takashi, Morita Yukiko, Nakamura Toshihiro, Fujimoto Kazuteru, Matsubara Hiromi, Kato Toru, Unoki Takashi, Takagi Daisuke, Wada Kyohma, Wada Miyaka, Suzuki Masahiro, Nakayama Takumi, Takahashi Shinomi, Yamakage Hajime, Masunaga Nobutoyo, Ishii Mitsuru, Kotani Kazuhiko, Abe Mitsuru, Akao Masaharu, Hasegawa Koji, Wada Hiromichi, Matsuda Morihiro, Ajiro Yoichi, Shinozaki Tsuyoshi, Sakagami Satoru, Yonezawa Kazuya, Shimizu Masatoshi, Funada Junichi

You have to be authorized to contact abstract author. Please, Login
Not Available