Logo

American Heart Association

  118
  0


Final ID: Mo4080

The Relationship Between Endothelial Function and Tissue Characterization After Drug-coated Balloon for De-novo Coronary Lesion

Abstract Body (Do not enter title and authors here): Background: The previous our study showed that vasomotion may be better preserved after drug-coated balloon (DCB) treatment than after stenting. However, there is no information available on the relationship between endothelial function and tissue characterization after DCB treatment.
Aims: The purpose of this study was to investigate the relationship between endothelial function and tissue characterization after DCB for de-novo coronary lesion.
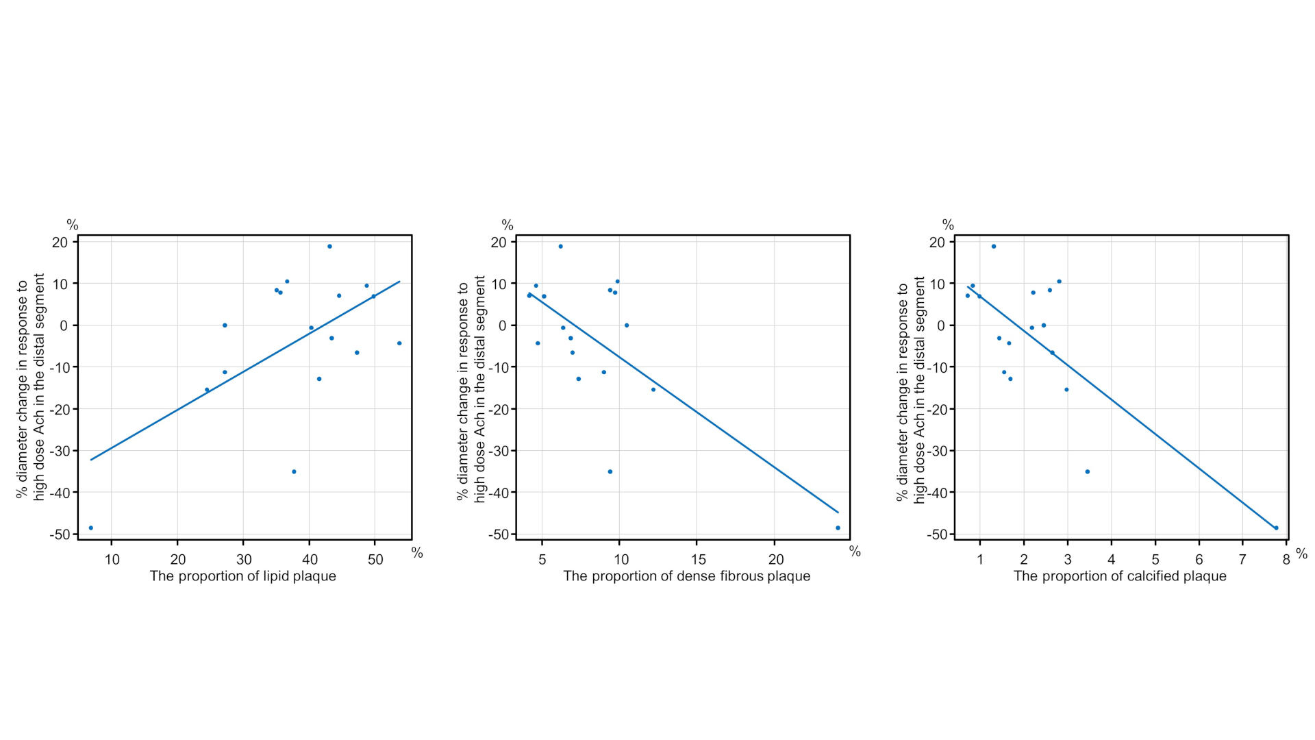
Methods: We prospectively studied 19 patients who underwent acetylcholine provocation test and intravascular imaging at 8-month after DCB treatment. To evaluate endothelial-dependent vasomotion, the mean lumen diameter of the distal segment, beginning 5 mm and ending 15 mm distal to the edge of the treated segment, was quantitatively measured by angiography during the acetylcholine provocation test. Tissue characterization was assessed with integrated backscatter intravascular ultrasound (IB-IVUS).
Results: There was a positive correlation between endothelial-dependent vasomotion and the proportion of lipid plaque in treated segments (r2=0.610, p=0.009). On the other hand, there were negative correlations between endothelial-dependent vasomotion and the proportion of dense fibrous or calcified plaque in treated segments (r2=-0.709, p=0.001, r2=-0.773, p<0.001).
Conclusion: Endothelial-dependent vasomotion was better preserved in lipid-rich lesions than in dense fibrous or calcified lesions, suggesting that endothelial function could be more impaired in lesions with advanced atherosclerosis after DCB treatment.
  • Kawai, Tsutomu  ( Osaka Genaral Medical Center , Osaka , Japan )
  • Yamada, Takahisa  ( Osaka General Medical Center , Osaka , Japan )
  • Fukunami, Masatake  ( Osaka General Medical Center , Osaka , Japan )
  • Asai, Mitsutoshi  ( Osaka General Medical Center , Osaka , Japan )
  • Morita, Takashi  ( Osaka General Medical Center , Osaka , Japan )
  • Kawasaki, Masato  ( Osaka General Medical Center , Osaka , Japan )
  • Kikuchi, Atsushi  ( Osaka General Medical Center , Osaka , Japan )
  • Kondo, Takumi  ( Osaka General Medical Center , Osaka , Japan )
  • Seo, Masahiro  ( Osaka General Medical Center , Osaka City , Japan )
  • Nakamura, Jun  ( Osaka General Medical Center , Osaka , Japan )
  • Fujita, Takeshi  ( Osaka General Medical Center , Osaka , Japan )
  • Author Disclosures:
    Tsutomu Kawai: DO NOT have relevant financial relationships | Takahisa Yamada: DO NOT have relevant financial relationships | Masatake Fukunami: DO NOT have relevant financial relationships | Mitsutoshi Asai: No Answer | Takashi Morita: No Answer | Masato Kawasaki: DO NOT have relevant financial relationships | Atsushi Kikuchi: DO NOT have relevant financial relationships | Takumi Kondo: DO NOT have relevant financial relationships | Masahiro Seo: DO NOT have relevant financial relationships | Jun Nakamura: No Answer | Takeshi Fujita: DO NOT have relevant financial relationships
Meeting Info:

Scientific Sessions 2024

2024

Chicago, Illinois

Session Info:

Deep Dive Into Drug-Coated Balloons

Monday, 11/18/2024 , 10:30AM - 11:30AM

Abstract Poster Session

More abstracts on this topic:
Acetylation of Mitochondrial Cyclophilin D Increases vascular Oxidative Stress, Induces Glycolitic Switch, Promotes Endothelial Dysfunction and Hypertension

Dikalov Sergey, Sack Michael, Dikalova Anna, Fehrenbach Daniel, Mayorov Vladimir, Panov Alexander, Ao Mingfang, Lantier Louise, Amarnath Venkataraman, Lopez Marcos, Billings Frederic

Angiographic and Clinical Outcomes with Drug-Coated Balloon Versus Drug-Eluting Stents for In-Stent Restenosis: A Meta-Analysis

Jain Hritvik, Passey Siddhant, Odat Ramez, Pervez Neha, Goyal Aman, Jain Jyoti, Patel Nandan, Yadav Ashish, Shah Janhvi, Jha Jagriti

More abstracts from these authors:
Short Term Effect of His bundle pacing on Myocardial Fatty Acid Metabolism, Perfusion and Function.

Fujita Takeshi, Nakamura Jun, Oshita Takuya, Kokubu Yuki, Fukuda Yuto, Furuta Yuzo, Yoshida Motoshi, Oyama Fumiya, Noda Kenji, Yagi Ryota, Fukunami Masatake, Kawasaki Masato, Yamada Takahisa, Asai Mitsutoshi, Morita Takashi, Kikuchi Atsushi, Kondo Takumi, Kawai Tsutomu, Seo Masahiro

Association Between the Hemoglobin-to-Red Cell Distribution Width Ratio and Mode of Death in Patients With Acute Decompensated Heart Failure: A Stratified Analysis by Ejection Fraction

Naito Susumu, Fujita Takeshi, Kokubu Yuki, Furuta Yuzo, Yoshida Motoshi, Sakai Katsuyoshi, Kurihara Hikaru, Yagi Ryota, Yamada Takahisa, Asai Mitsutoshi, Kawasaki Masato, Kikuchi Atsushi, Kondo Takumi, Kawai Tsutomu, Seo Masahiro, Nakamura Jun

You have to be authorized to contact abstract author. Please, Login
Not Available