Logo

American Heart Association

  120
  0


Final ID: MDP336

Is it useful to wash stored red blood cells in cardiopulmonary bypass priming fluid for neonatal cardiac surgery?

Abstract Body (Do not enter title and authors here): Background and Objectives: Neonatal cardiac surgery requires careful consideration of cardiopulmonary bypass (CPB) priming fluid composition due to small blood volume and immature physiology. This study investigated the impact of allogeneic stored red blood cells (RBCs) processed using an autotransfusion system in CPB priming fluid for neonates.
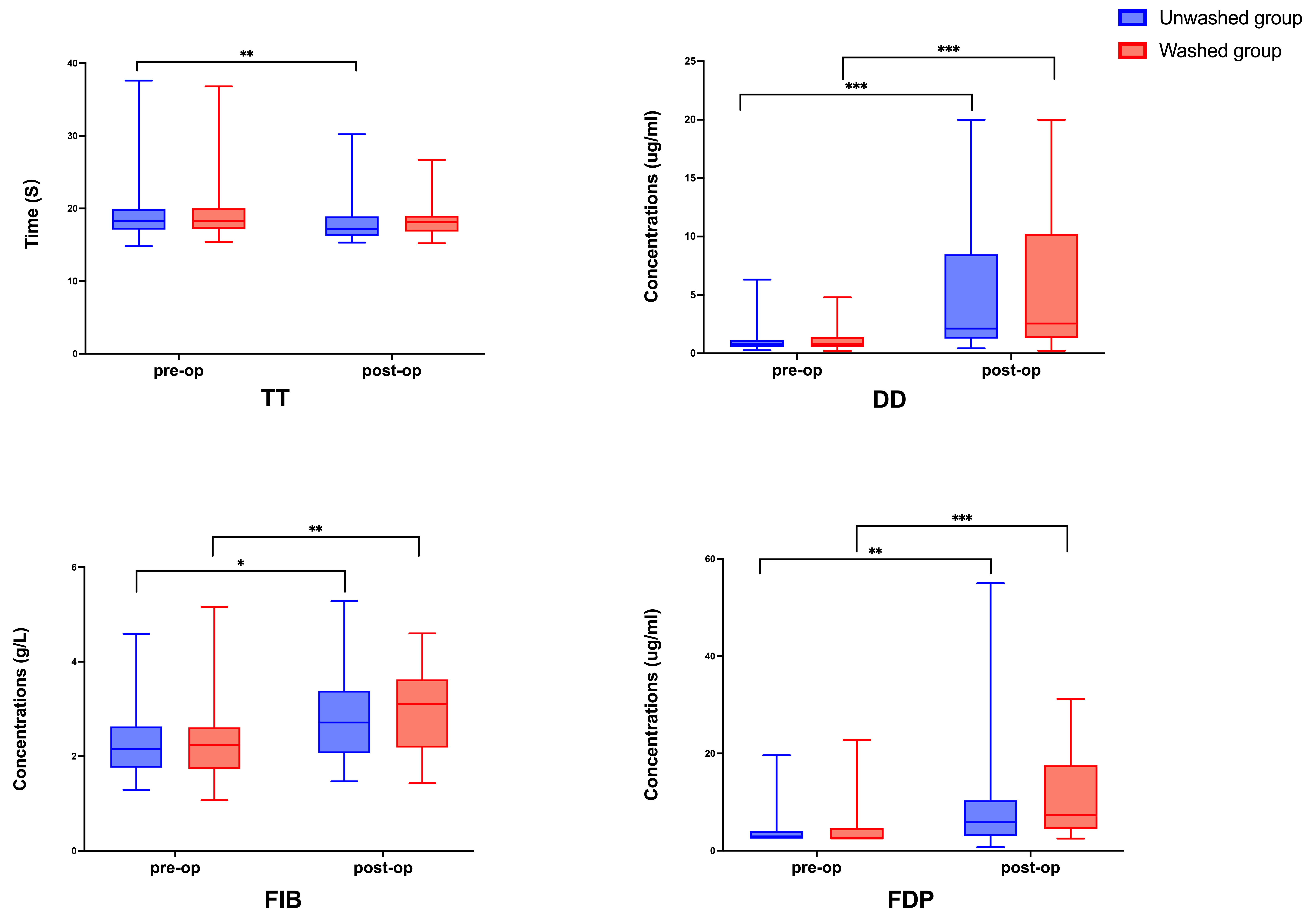
Materials and Methods: We compared perioperative parameters, inflammatory mediators, coagulation indicators, vasoactive-inotropic score (VIS), and clinical outcomes between neonates receiving unwashed (n=56) and washed (n=45) RBCs in CPB priming fluid. Regression models were used to assess the independent association between RBC washing and patient outcomes.
Results: The autotransfusion system improved stored RBC quality. The washed group showed higher peak hematocrit (P < 0.01) and hemoglobin levels (P = 0.04) during CPB, an increased oxygen delivery index during rewarming (P < 0.05), and lower postoperative lactate levels and VIS (P < 0.05).Inflammatory (IL-6, IL-8, IL-10) and coagulation parameters (DD, FIB, FDP) fluctuated compared to baseline but did not significantly differ between groups. The washed group had a lower incidence of hyperlactacidemia and delayed sternal closure at CPB weaning.
Conclusions: Adding washed allogeneic stored RBCs to neonatal CPB priming fluid reduced postoperative lactate elevation and VIS without early improvement in the inflammatory and coagulation systems.
  • Wang, He  ( Fuwai hospital,CAMS and PUMC , Beijing , China )
  • Liu, Jia  ( Fuwai hospital,CAMS and PUMC , Beijing , China )
  • Jin, Yu  ( Fuwai hospital,CAMS and PUMC , Beijing , China )
  • Liu, Jinping  ( Fuwai hospital,CAMS and PUMC , Beijing , China )
  • Author Disclosures:
    He Wang: DO NOT have relevant financial relationships | Jia Liu: DO NOT have relevant financial relationships | Yu Jin: No Answer | Jinping Liu: No Answer
Meeting Info:

Scientific Sessions 2024

2024

Chicago, Illinois

Session Info:

Pediatric Surgery, Cath, and EP

Saturday, 11/16/2024 , 12:50PM - 02:15PM

Moderated Digital Poster Session

More abstracts on this topic:
Association Between Computed Tomography Perfusion Parameters and Functional Independence in Acute Ischemic Stroke Post-Endovascular Therapy: A Secondary Analysis from the SELECT Study

Narangoli Adeeb, Sila Cathy, Opaskar Amanda, Xiong Wei, Degeorgia Michael, Duncan Kelsey, Ray Abhishek, Hu Yin, Sunshine Jeffrey, Bambakidis Nicholas, Sarraj Amrou, Yaghmoor Bassam, Pujara Deep, Alshaibi Faisal, Saidi Yazid, Shafiq Ameena, Albedaiwi Mohammed, Al Mostaneer Alhassin, Sundararajan Sophia

Association of Preeclampsia with Long-Term Coronary Microvascular Dysfunction Utilizing Cardiac Stress Magnetic Resonance Imaging

Roy Rukmini, Rana Sarosh, Lang Roberto, Patel Amit, Shahul Sajid, Patel Hena, Wang Haonan, Huang Sherry, Minga Iva, Wang Shuo, O'hara Meaghan, Tang Maxine, Slivnick Jeremy, Polonsky Tamar

You have to be authorized to contact abstract author. Please, Login
Not Available