Logo

American Heart Association

  115
  0


Final ID: MDP1203

Circulating Follistatin-like 3 and Risk Prediction of Hypertensive Emergency in Patients with Suspected Preeclampsia

Abstract Body (Do not enter title and authors here): Background: Hypertensive emergency in pregnancy, defined as systolic BP ≥160 and/or diastolic BP ≥110, is a serious complication of hypertensive disorders of pregnancy (HDP). Rapid, aggressive treatment of severe HTN decreases severe Maternal morbidity by 50%. However, few clinical indicators or biomarkers predict the development of severe HTN in pregnancy. Follistatin-like 3 (FSTL3), has been implicated in the development of preeclampsia. We hypothesized that elevated levels of FSTL3 in women for suspected preeclampsia evaluation would predict the development of a hypertensive emergency in pregnancy within two weeks.

Methods: This cohort study included patients with singleton pregnancies who presented in obstetric triage at the University of Chicago between July 2021 and July 2023 for suspected preeclampsia evaluation. We measured plasma levels of FSTL3 at presentation and examined for an association between FSTL3 and subsequent development of a hypertensive emergency within 2 weeks. We excluded women who presented with severe preeclampsia or HTN emergencies on presentation to triage. Logistic regression models with receiver-operating characteristic (ROC) analysis were used to determine the clinical utility of FSTL3 in predicting HTN emergencies.

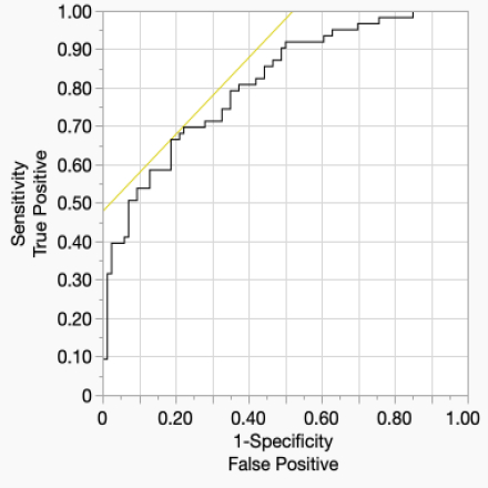
Results: Our study included 208 patients, of which 79 (37.98%) developed severe preeclampsia. The median age was 30 years old (IQR 25.5, 34.5); the median BMI was 36.47 (IQR 30.79, 42.40), and the majority were African American (72.60%). The median FSTL3 at presentation was significantly elevated in participants who experienced HTN emergency compared with those who did not, respectively (Median, IQR) (46.47ng/ml, IQR (33.51–66.10)] versus 31.59ng/ml IQR, 27.35, 43.35], P<0.0001). This association was significant after adjustment for maternal age, race, smoking, HDP, and BMI (P=0.03). Figure 1 outlines ROC analysis for specificity and sensitivity of FSTL3 in predicting HTN emergency within 2 weeks with the area under the curve =0.83.

Conclusion: In women with suspected preeclampsia, circulating FSTL3 predicts a hypertensive emergency occurring within two weeks of triage presentation. This test may be helpful in risk stratification and management in women with HDP.
  • Azzi, Marly  ( University of Chicago , Chicago , Illinois , United States )
  • Potchileev, Sanela  ( University of Chicago , Chicago , Illinois , United States )
  • Dreixler, John  ( University of Chicago , Chicago , Illinois , United States )
  • Mueller, Ariel  ( University of Chicago , Chicago , Illinois , United States )
  • Rana, Sarosh  ( University of Chicago , Chicago , Illinois , United States )
  • Shahul, Sajid  ( University of Chicago , Chicago , Illinois , United States )
  • Author Disclosures:
    Marly Azzi: DO NOT have relevant financial relationships | Sanela Potchileev: DO NOT have relevant financial relationships | John Dreixler: No Answer | Ariel Mueller: No Answer | Sarosh Rana: No Answer | Sajid Shahul: No Answer
Meeting Info:

Scientific Sessions 2024

2024

Chicago, Illinois

Session Info:

Emerging Insights into Hypertension in Pregnancy and the Postpartum Period

Sunday, 11/17/2024 , 03:15PM - 04:30PM

Moderated Digital Poster Session

More abstracts on this topic:
2 Dimensional Echocardiography versus 3 Dimentional Echocardiography to Assess Right Ventricular Function in Pulmonary Hypertension: A Systematic Review

Chaudhry Waleed Razzaq, Hajj Fatima, Bathula Satyamedha, Meghji Mohammed Askari, Pasupuleti Hemalatha, Kiyani Madiha, Shah Syeda Simrah, Neelakantan Ramaswamy Sanathanan, Mirzaeidizaji Nakisa, St. Jacques Jahnoy, Khan Khalil Ullah, Veluchamy Elakkiya, Jesse Joshanna

A cerebrovascular longitudinal atlas: different rates of morphological change in aneurysm patients associated with hypertension and diabetes

Chien Aichi, Salamon Noriko, Vinuela Fernando, Szeder Viktor, Colby Geoffrey, Jahan Reza, Boyle Noel, Villablanca Juan, Duckwiler Gary

More abstracts from these authors:
Circulating Follistatin-like 3 and its Association with Postpartum Cardiac Dysfunction and Severe Maternal Morbidity

Azzi Marly, Potchileev Sanela, Dreixler John, Mueller Ariel, Rana Sarosh, Shahul Sajid

Institutional Demographics and Outcomes of Admitted Patients with Hypertensive Disorders of Pregnancy

Azzi Marly, Potchileev Sanela, Burns Luke, Mueller Ariel, Rana Sarosh

You have to be authorized to contact abstract author. Please, Login
Not Available