Logo

American Heart Association

  118
  0


Final ID: Sa3148

Characterization of Cardiac, Autonomic, and Exercise Physiology in Patients with Long COVID

Abstract Body (Do not enter title and authors here):
INTRODUCTION: Mechanisms contributing to the post-acute sequelae of SARS-CoV-2 (PASC, aka Long COVID) and associated functional limitations are unclear.

RESEARCH QUESTION: Determine cardiovascular, autonomic and exercise physiology among patients with Long COVID.
METHODS: Twenty-one Long COVID patients (16 females, 41±12yrs) underwent cardiovascular assessment during head-up tilt at supine, 30o and 60o, a 10-minute upright standing orthostatic challenge and cardiopulmonary exercise testing (CPET). Baroreceptor sensitivity was determined with Valsalva maneuver. Heart rate (HR) and blood pressure (BP) were monitored continuously. Plasma norepinephrine (NE) was monitored during tilt.

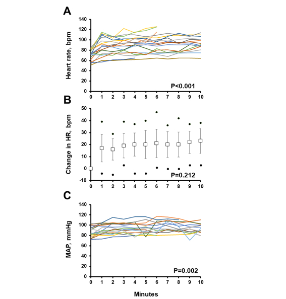
RESULTS: During tilt, HR increased with transition from supine to 30o and 60o (72±12 v. 80±14 v. 90±15bpm, P<0.001). Plasma NE increased (2519±896 v. 3407±1085 v. 4025 ±1153pg/mL, P<0.001) and MAP was maintained (92±10 v. 94±10 v. 97±10mmHg, P=0.103). HR increased during Phase IIA of the Valsalva in response to a reduction in systolic blood pressure with group-averaged baroreceptor sensitivity of 8.2±6.0ms/mmHg (Figure 1). During the 10-minute stand, HR increased and BP was maintained (Figure 2). CPET data are presented in Table 1 demonstrating reduced peak oxygen uptake of 19.5±6.7ml/kg/min (74±18% predicted).

CONCLUSIONS: Patients with Long COVID demonstrate preserved autonomic function, with appropriate increase in catecholamines and preservation of blood pressure in response to orthostatic challenge. HR and BP increased appropriately during exercise for the level of work achieved, but overall functional capacity was reduced. Further research is needed to identify novel treatment strategies to improve outcomes.
  • Suckow, Emmett  ( University of Colorado Anschutz School of Medicine , Aurora , Colorado , United States )
  • Mcdonnell, Barry  ( Cardiff Metropolitan University , Cardiff , United Kingdom )
  • Stöhr, Eric  ( University of Hannover , Hannover , Germany )
  • Cornwell, William  ( University of Colorado Anschutz School of Medicine , Aurora , Colorado , United States )
  • Pierce, Kate  ( University of Colorado Anschutz School of Medicine , Aurora , Colorado , United States )
  • Wulff, Kyla  ( University of Colorado Anschutz School of Medicine , Aurora , Colorado , United States )
  • Arent, Chelsea  ( University of Colorado Anschutz School of Medicine , Aurora , Colorado , United States )
  • Kreye, Shelanna  ( University of Colorado Anschutz School of Medicine , Aurora , Colorado , United States )
  • Rosenberg, Michael  ( University of Colorado Anschutz School of Medicine , Aurora , Colorado , United States )
  • Sabin, Katie  ( University of Colorado Anschutz School of Medicine , Aurora , Colorado , United States )
  • Parker, Hugh  ( University of Colorado Anschutz School of Medicine , Aurora , Colorado , United States )
  • Forbes, Lindsay  ( University of Colorado Anschutz School of Medicine , Aurora , Colorado , United States )
  • Author Disclosures:
    Emmett Suckow: DO NOT have relevant financial relationships | Barry McDonnell: No Answer | Eric Stöhr: DO NOT have relevant financial relationships | William Cornwell: DO NOT have relevant financial relationships | Kate Pierce: DO NOT have relevant financial relationships | kyla wulff: DO NOT have relevant financial relationships | Chelsea Arent: DO NOT have relevant financial relationships | Shelanna Kreye: DO NOT have relevant financial relationships | Michael Rosenberg: DO NOT have relevant financial relationships | Katie Sabin: No Answer | Hugh Parker: No Answer | Lindsay Forbes: DO NOT have relevant financial relationships
Meeting Info:

Scientific Sessions 2024

2024

Chicago, Illinois

Session Info:

Exercise Physiology, Performance, and Participation

Saturday, 11/16/2024 , 02:00PM - 03:00PM

Abstract Poster Session

More abstracts on this topic:
Association Between Meeting Physical Activity Time-Intensity Guidelines and Calf Muscle Oxygen Saturation in Patients with Symptomatic Peripheral Artery Disease

Gardner Andrew, Montgomery Polly, Wang Ming, Xu Xifei

Cardiac magnetic resonance imaging findings and their association with exercise performance – data from the Single Ventricle Reconstruction Trial longitudinal follow-up

Detterich Jon, Prospero Carol, Cartoski Mark, Binka Edem, Vaiyani Danish, Lang Sean, Trachtenberg Felicia, Newburger Jane, Goldberg Caren, Taylor Michael, Dorfman Adam, Slesnick Timothy, Shah Amee, Nutting Arni, Seed Mike, Campbell Michael, Goot Ben, Prakash Ashwin

More abstracts from these authors:
You have to be authorized to contact abstract author. Please, Login
Not Available