Logo

American Heart Association

  148
  0


Final ID: Su2087

Outcomes of catheter ablation in cardiac sarcoidosis patients with ventricular tachycardia

Abstract Body (Do not enter title and authors here): Background: Ventricular tachycardia (VT) in patients with cardiac sarcoidosis (CS) can lead to sudden cardiac death. The role of ventricular tachycardia ablation (VTA) in CS has been investigated in a few small, single-center, and some larger observational studies, but the evidence remains scarce.
Hypothesis: We hypothesize that patients with CS have worse cardiovascular outcomes.
Aims: This study aimed to investigate the clinical outcomes of VTA in patients with CS admitted with a diagnosis of VT.
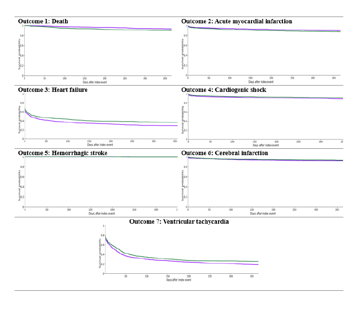
Methods: A retrospective analysis was conducted using TrinetX database: US collaborative network from 2010-2024. Patients undergoing ablation for VT with and without CS were identified. Two groups were created for propensity score analysis matching on history of hypertension, diabetes, obesity, peripheral vascular diseases, heart failure, ischemic heart diseases, atrial fibrillation, and chronic kidney disease. The primary outcome was incidence of death, cardiogenic shock, heart failure, acute myocardial infarction, hemorrhagic stroke, ischemic stroke, and ventricular tachycardia within one year from the date of the index procedure.
Results: Results: Out of 15,958 patients who underwent catheter ablation for VT, 776 patients had CS. The mean age of patients with VT and CS who underwent ablation was 58.6 (SD:11.3), compared to 61.1 (SD:15) in patients with VT without CS. In the propensity-matched analysis, there was no significant difference in one-year mortality (hazard ratio (HR) 0.65; 95% CI [0.45, 0.94], χ2 = 3.05, p = 0.08), heart failure (HR 1.18; 95% CI [1.04, 1.33], χ2 = 1.5, p = 0.2), cardiogenic shock (HR 1.33; 95% CI [0.95, 1.89], χ2 = 0.005, p = 0.94), acute myocardial infarction (HR 0.81; 95% CI [0.5, 1.11], p = 0.67), hemorrhagic stroke (HR 0.89; 95% CI [0.18, 4.41], p = 0.42), ischemic stroke (HR 1.18; 95% CI [0.80, 1.7], p = 0.79) or ventricular tachycardia (HR 1.17; 95% CI [1.04, 1.31], p = 0.19)
Conclusion: This analysis shows there is no significant difference in major complications in patients with cardiac sarcoidosis undergoing catheter ablation for ventricular tachycardia compared to patients without cardiac sarcoidosis.
  • Al Taii, Haider  ( UTMB , Galveston , Texas , United States )
  • Saxena, Ritika  ( UTMB , Galveston , Texas , United States )
  • Gaalema, Diann  ( University of Texas-Medical Branch , Galveston , Texas , United States )
  • Narayanan, Chockalingam  ( UTMB , Galveston , Texas , United States )
  • Morcos, Ramez  ( Geisinger heart institute , Wilkes Barr e , Pennsylvania , United States )
  • Sabayon, Muhie Dean  ( University of Texas Medical Branch , Bellaire , Texas , United States )
  • Jneid, Hani  ( UTMB , Galveston , Texas , United States )
  • Author Disclosures:
    haider al taii: DO NOT have relevant financial relationships | Ritika Saxena: DO NOT have relevant financial relationships | Diann Gaalema: DO NOT have relevant financial relationships | Chockalingam Narayanan: DO NOT have relevant financial relationships | Ramez Morcos: No Answer | Muhie Dean Sabayon: DO have relevant financial relationships ; Advisor:Boston Scientific:Past (completed) ; Advisor:Biosense Webster:Past (completed) | Hani Jneid: DO NOT have relevant financial relationships
Meeting Info:

Scientific Sessions 2024

2024

Chicago, Illinois

Session Info:

Inflamed, Infiltrated, Inherited and Arrhythmic

Sunday, 11/17/2024 , 11:30AM - 12:30PM

Abstract Poster Session

More abstracts on this topic:
Ablation versus Anti-arrhythmic Drug Therapy for Ventricular Tachycardia in Patients with Ischemic Heart Disease: A Systematic Review and Meta-analysis of Randomized Controlled Trials

Khan Ubaid, Chaudhry Kashif, Amin Ahmed Mazen, A. Ibrahim Ahmed, Imran Muhammad, Rakab Mohamed, Iltaf Arej, M. Albarakat Majd, Ranabhat Chet, Brilliant Justin

A novel ECG algorithm using stepwise approach for accurate localization of premature ventricular contraction and ventricular tachycardia: SMART-PVC/VT

Khalaph Moneeb, Lucas Philipp, Sciacca Vanessa, Beyer Sebastian, Moersdorf Maximilian, Sohns Christian, Guckel Denise, Sommer Philipp, Trajkovska Nadica, Deneke Thomas, Didenko Maxim, El Hamriti Mustapha, Imnadze Guram, Fink Thomas, Braun Martin, Bergau Leonard

More abstracts from these authors:
Sex Differences in Onset of New Cognitive or Psychological Complaints Following Acute Coronary Syndrome in Older Adults

Priyadarshni Shivani, Saxena Ritika, Jneid Hani, Gaalema Diann

Associations Between In Vitro Fertilization and Cardiovascular Outcomes in the United States

Thakker Ravi, Saxena Ritika, Harmouch Wissam, Albaeni Aiham, Khalife Wissam, Gulati Martha, El Haddad Danielle, Gaalema Diann, Jneid Hani

You have to be authorized to contact abstract author. Please, Login
Not Available