Logo

American Heart Association

  159
  0


Final ID: MDP1710

Impact of Snowfall on Emergency Medical System and In-hospital Mortality in Patients with Acute Coronary Syndrome

Abstract Body (Do not enter title and authors here): Background: Acute coronary syndrome (ACS) requires rapid transportation by the emergency medical system (EMS) and emergent percutaneous coronary intervention (PCI). In snowy areas, traffic conditions due to snowfall may delay EMS transport times and increase short term mortality of ACS. However, there is a paucity of data showing how snowfall affects the EMS and clinical outcomes in patients with ACS. We sought to investigate the impact of snowfall on the EMS transport time and in-hospital mortality in patients with ACS.
Methods: We examined 2,387 consecutive ACS patients who were transported via EMS to 29 acute cardiac care facilities in Sapporo city (fifth largest in Japan) between April 2013 and March 2023. The patients were divided into two groups according to hospital arrival at snowy or non-snowy day.
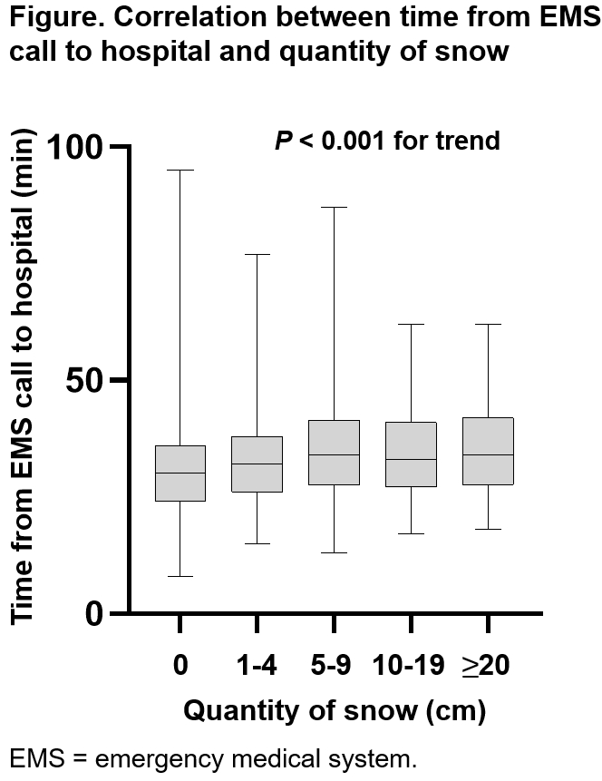
Results: The median age was 68 years, 1,754 (74.6%) patients were male, and 34.9%, 70.1%, and 69.2% had diabetes mellitus, hypertension, and dyslipidemia, respectively. There were no significant differences in gender, Killip classification, blood pressure, heart rate, or laboratory findings between the groups. Patients in snowy day group had longer time from EMS call to hospital arrival than those in non-snowy day group (33 [26–40] vs 29 [24–36] min, P <0.001). Quantity of snowfall was associated with a delayed time from EMS call to hospital (Figure). The proportion of emergent PCI and door-to-balloon time were similar between the groups. In-hospital death occurred in 125 patients (5.3%). The proportion of in-hospital death was higher in snowy day group compared to non-snowy day group (4.6% vs. 7.3%, P = 0.011). The snowfall was independently associated with a higher incidence of in-hospital death (Table).
Conclusions: The snowfall was significantly associated with prolonged transfer time in EMS and higher in-hospital mortality in patients with ACS. These findings are relevant for developing traffic obstacles prevention strategies and ensuring timely treatment.
  • Mori, Yuki  ( Hokkaido University , Sapporo, Hokkaido , Japan )
  • Nagai, Toshiyuki  ( Hokkaido University , Sapporo , Japan )
  • Takenaka, Sakae  ( Hokkaido University , Sapporo , Japan )
  • Saiin, Kohei  ( Hokkaido University , Sapporo, Hokkaido , Japan )
  • Takahashi, Akinori  ( Hokkaido University , Sapporo , Japan )
  • Mizuguchi, Yoshifumi  ( Hokkaido University , Sapporo, Hokkaido , Japan )
  • Konishi, Takao  ( Hokkaido Unversity , Sapporo , Japan )
  • Yamazaki, Seiji  ( Sapporo Higashi Tokushukai Hospital , Sapporo, Hokkaido , Japan )
  • Kamigaki, Mitsunori  ( KKR Sapporo Medical Center , Sapporo, Hokkaido , Japan )
  • Hotta, Daisuke  ( Hokkaido Cardiovascular Hospital , Sapporo, Hokkaido , Japan )
  • Kawahatsu, Kandoh  ( Sapporo Keijinkai Hospital , Sapporo, Hokkaido , Japan )
  • Fujita, Tsutomu  ( Sapporo Cardiovascular Center , Sapporo, Hokkaido , Japan )
  • Yamashita, Takehiro  ( Sapporo Kojinkai Memorial Hospital , Sapporo, Hokkaido , Japan )
  • Anzai, Toshihisa  ( Hokkaido University , Sapporo , Japan )
  • Makino, Takao  ( Sapporo City General Hospital , Sapporo, Hokkaido , Japan )
  • Author Disclosures:
    Yuki Mori: DO NOT have relevant financial relationships | Daisuke Hotta: No Answer | Kandoh Kawahatsu: DO NOT have relevant financial relationships | Tsutomu Fujita: DO NOT have relevant financial relationships | Takehiro Yamashita: DO NOT have relevant financial relationships | Toshihisa Anzai: DO NOT have relevant financial relationships | Takao Makino: No Answer | Toshiyuki Nagai: DO have relevant financial relationships ; Speaker:Bayer Yakuhin, Ltd:Past (completed) ; Research Funding (PI or named investigator):Mitsubishi Tanabe Pharma:Past (completed) ; Speaker:Viatris Japan, Inc:Past (completed) ; Speaker:Boehringer Ingelheim Japan, Inc:Past (completed) ; Speaker:Kyowa Kirin Co., Ltd:Past (completed) | Sakae Takenaka: DO NOT have relevant financial relationships | Kohei Saiin: No Answer | Akinori Takahashi: DO NOT have relevant financial relationships | Yoshifumi Mizuguchi: No Answer | Takao Konishi: DO NOT have relevant financial relationships | Seiji Yamazaki: No Answer | Mitsunori Kamigaki: No Answer
Meeting Info:

Scientific Sessions 2024

2024

Chicago, Illinois

Session Info:

Prevention of Injury and Improvement in Outcomes in the ACS Population

Monday, 11/18/2024 , 12:50PM - 02:15PM

Moderated Digital Poster Session

More abstracts on this topic:
A “numerical autopsy” of out-of-hospital cardiac arrest: reclassifying unknown etiologies from five years of nationwide health data

Cezard Pierre, Laurenceau Thomas, Meli Ugo, Lebled Julien, Menant Emma, Chocron Richard, Jouven Xavier

A Quarter Century of Cardiovascular Risk: National Mortality Trends in Hypertension and Arrhythmias Among U.S. Adults Aged 55 and Older

Ahmad Husnain, Khan Muhammad, Sharif Aleena, Hossain Mohammad, Eltawansy Sherif, Faizan Muhammad, Ali Muhammad Faizan, Ahmed Ashraf, Abdul Malik Mohammad Hamza Bin, Pahwani Ritesh, Patel Rahul, Mehdi Hassan

More abstracts from these authors:
Prognostic Value of Spleen Stiffness Assessed by Magnetic Resonance Elastography in Patients with Heart Failure

Takahashi Akinori, Konishi Takao, Sato Takuma, Kamiya Kiwamu, Anzai Toshihisa, Nagai Toshiyuki, Tada Atsushi, Kato Yoshiya, Tsuneta Satonori, Mori Yuki, Hamaya Takeshi, Naito Seiichiro, Takenaka Sakae

Differences on Periprocedural Blood Flow Dynamics between Self- and Balloon-expandable Valves in Patients with Small Aortic Annulus Undergoing Transcatheter Aortic Replacement

Hamaya Takeshi, Takenaka Sakae, Ishizaka Suguru, Sato Takuma, Konishi Takao, Anzai Toshihisa, Nagai Toshiyuki, Kamiya Kiwamu, Tsuneta Satonori, Komoriyama Hirokazu, Takahashi Yuki, Takahashi Akinori, Mori Yuki, Naito Seiichiro

You have to be authorized to contact abstract author. Please, Login
Not Available